2015 , 17 (12): 1536-1544 https://doi.org/10.3724/SP.J.1047.2015.01536
通讯作者:
收稿日期: 2015-03-2
修回日期: 2015-05-12
网络出版日期: 2015-12-20
版权声明: 2015 《地球信息科学学报》编辑部 《地球信息科学学报》编辑部 所有
基金资助:
作者简介:
作者简介:王晓青(1963-),男,湖北应城人,研究员,主要从事地震风险评估、地震应急遥感应用等方面研究。E-mail: wangxiaoq517@163.com
展开
摘要
地震烈度是地震引起的地面震动及其影响强弱程度的度量。地震烈度在地震区划、建筑物与生命线工程抗震设计、灾害防御等方面具有广泛的应用。震后评定的地震烈度图是地震应急救援、恢复重建等的主要依据之一,因此,震后快速确定地震烈度具有重要救灾与减灾意义。本文在论述地震应急及其对遥感应用需求的基础上,回顾了遥感技术及其在地震应急研究与应用中的发展历程,概述了中国地震应急遥感应用的基本思路、地震灾害和地震烈度遥感定量评估方法,展示了该方法在巴楚-伽师地震、汶川地震、玉树地震、芦山地震、鲁甸地震等震后实际应急应用效果。最后,指出了目前震害遥感定量评估中存在的问题,并展望了未来震害遥感定量评估研究与应用。
关键词:
Abstract
The seismic intensity is used to describe the intensity of an earthquake by measuring its impacts on the earth surface, humans, natural objects, and man-made structures on a scale from I (not felt) to XII (total destruction). Seismic intensity has been widely applied in many aspects, such as seismic zoning, seismic design of building and earthquake disaster prevention. The post-earthquake estimated seismic intensity map is one of the main foundations for earthquake relief, recovery and reconstruction. Therefore, the rapid determination of seismic intensity has important significance for disaster relief and reduction. In this paper, based on the discussion of earthquake emergency and its requirements for remote sensing application, the remote sensing technology and its development process in earthquake emergency research and the relevant application are reviewed. The basic train of thought for the post-earthquake emergency application of remote sensing, especially the quantitative assessment methods of seismic damage and seismic intensity in China are summarized. The practical post-event emergency application effects are described for cases of Bachu-Jiashi earthquake, Wenchuan earthquake, Yushu earthquake, Lushan earthquake, Ludian earthquake etc. These cases show that the remote sensing based emergency seismic intensity assessment technology has realized its practical application. In the end, we summarized the existing problems in the quantitative assessment of earthquake disaster based on remote sensing, and prospected the research and application of methods and techniques in the future.
Keywords:
中国作为多地震国家,严重的地震灾害造成人民生命财产的巨大损失,故开展有效的震后应急救援工作,对减轻地震灾害具有重大意义。以往国内外地震应急救援实践表明,震后几小时至24小时是抢救生命的关键时段,因此,从应急救援指挥决策的角度,需要我们有能力在震后几小时内,即使在灾区通信中断的情况下,迅速获取灾区的灾情信息。传统的依靠现场灾害实地调查的方法获取的灾情信息准确可靠,但在时效性方面无法满足应急救援指挥决策与救援行动的实际需求;震后依据地震三要素(地震发生时间、地点和地震震级)开展的灾害损失快速评估主要依据以往震害研究成果形成的经验模型,评估时效性高,但与实际震害程度及其空间分布往往有较大差别。遥感技术可快速获取大面积和空间连续的高分影像,其分析处理时间(时效性)、灾害程度反映能力介于现场调查评估和快速盲估之间,因此,作为地震灾情获取手段,近年来得到迅速发展。本文将概述地震应急遥感评估方法及其发展过程、实际应用及其效果,探讨地震烈度应急遥感评估研究技术及其进展。
地震应急遥感应用从科学技术领域来说,涉及应急管理(工作的组织与实施体现应急性)、遥感技术和震害评估技术(工作的对象与方式涉及震害表现)。从应用层面看,遥感是应急震害信息获取的手段,以震害信息的整体、宏观、空间连续和海量信息为特点;震害评估是应急遥感评估的关键,是以多目标(建筑物震害,道路交通、电信、电力等生命线系统工程震害,滑坡等地震地质灾害)评估为特点;应急服务是应急遥感评估的目的,以时效性和多目标(应急指挥决策、紧急救援行动、灾民安置、恢复重建等)、多角度(国家、行业、地方、现场、公众)服务为特点。因此,地震应急遥感应用是一项系统应用工程。
遥感技术作为应急遥感应用的基础,经历了多阶段的发展。早期的空中摄影可追溯到19世纪中叶,以气球、火箭和风筝等为低空摄影平台。史上最早的空中摄影照片是1858年由热气球航行家纳达尔(Nadar)所拍摄。1880年代,Arthur Batut尝试使用风筝进行空中摄影,1888年Amedee Denisse在火箭上安装了相机以及降落伞。1903年Julius Neubronner将微型相机安装在鸽子身上进行摄影。这些早期低空摄影技术发展,极大地提高了人类的视野和对外界的了解。
航空摄影技术的发展,为地震灾情信息的了解、历史震例资料的保存奠定了重要的基础,最早的记录可追溯至近110年前。1906年4月18日,美国旧金山发生7.8级大地震并引发大火,造成旧金山城市的严重破坏,死亡约3000人。George R. Lawrence采用风筝从空中进行了震害拍摄,这是有史记载以来最早的地震灾害空中摄影。飞机发明后,多次地震都采用了航空摄影。
1960年代以来,航空摄影广泛应用,开辟了震害遥感应用的新阶段。美国采用U2无人机对1976年2月4日危地马拉Mw 7.5级地震(死亡2.3万人,伤7.6万人)灾区进行了拍摄。1980年11月23日意大利伊尔皮尼亚Mw 6.9级地震(死亡2914人、伤1万人、无家可归30万人)、1995年1月17日日本阪神地震(死亡约6500人)、1999年8月17日土耳其7.6级地震(死亡1.7万余人)[1]等,航空摄影均发挥了重要作用。其中,土耳其7.6级地震采用震前、震后多时相航空照片进行了震害检测。
1966年3月8日和22日河北邢台地震(Ms 6.8和Ms 7.2)发生后,中国首次利用航空遥感手段进行了震害调查分析。此后对1975年辽宁海成地震(Ms 7.3)、1976年龙陵-潞西地震(Ms 7.3)、1976年河北唐山地震(Ms 7.8)、1976年四川松潘-平武地震(Ms 7.2)、1989年山西大同地震(Ms 6.9)和1999年9月21日台湾集集地震(Ms 7.3)等进行了航空遥感监测评估。早期主要采用全色模拟胶片,1976年唐山地震时增加了彩红外摄影。其中,唐山地震灾区航拍分为8个测区、140条航线,共计11.2万张航片,覆盖国土面积1.57万 km2。
以唐山地震航拍资料为基础,结合大量现场实地震灾害调查,中国对房屋建筑和道路交通等生命线系统工程震害、地震地质灾害等进行了遥感解译,完成了“一九七六年唐山地震震害分布图”(1:50万)的编制等[2]。
传输式遥感卫星的发射使用,开辟了遥感震害监测与评估的新途径。早期以1972年7月23日美国成功发射的LandSat1(陆地遥感卫星)为起点,主要为中低和低分辨率光学遥感卫星。截止目前,LandSat卫星已发射8颗,结合法国SPOT陆地卫星系列等,在震后大型滑坡、堰塞湖等地震地质灾害,以及火灾等次生灾害遥感监测中发挥了重要作用。典型应用包括对1999年9月21日台湾集集7.6级地震造成的大型滑坡的监测评估,以及对1999年8月17日土耳其7.6地震次生火灾的监测等。中国和巴西合作成功研制并于1999年10月14日发射了第一颗传输型对地观测卫星——“资源一号”卫星,开辟了中国民用中分辨率卫星遥感数据获取的新途径。
现代(最近十几年)地震应急遥感应用以1999年9月24日发射成功的IKONOS遥感卫星为标志,该卫星是世界上第一颗影像空间分辨率达到1 m的高分辨率商业遥感卫星。同期逐步发展的米级商业雷达卫星、亚米级光学和雷达航空遥感系统、可达厘米级的低空无人机系统,以及激光雷达航空遥感获取系统等,形成航天与航空、低空三分天下的多源遥感获取手段。丰富的遥感信息源和较高的空间分辨率,极大地提高了震后应急遥感获取的能力和震害识别能力。同时,计算机技术、图像处理技术、网络技术高度发展,地震应急能力系统化建设,理论研究与应用实践相促进,使得地震应急震害遥感评估方法和应用技术得到不断发展与完善。以2003年2月24日新疆巴楚-伽师6.8级地震、2003年12月23日伊朗巴姆7.6级地震和5月21日阿尔及利亚6.9级地震、2004年12月26日印尼9.0级地震及引发的海啸[3-6]、2008年5月12日汶川8.0级地震、2010年1月12日海地7.0级地震和2月27日智利8.8级地震、2011年3月11日日本东北部海域9.0级地震等地震应急遥感应用成功案例为标志,以现代空间对地观测技术、应急技术和震害分析技术相结合的地震应急遥感技术全面应用的崭新时代已经到来。
地震应急遥感应用涉及很多方面。从业务需求角度,涉及遥感数据获取、分析处理、地震灾害信息提取与评估、产品应急制作和发布等诸多技术环节;各种震害信息的提取需综合考虑目标地物震害遥感表现特点和多源、多光谱、多分辨率遥感数据特点,发展相应的分析处理方法技术;震害遥感监测与评估成果要依据前后方应急救援指挥、现场应急救援行动、各级应急救灾部门、社会公众等对象的不同,提供不同的服务内容与产品。本文不予以全面评述,主要论述地震烈度遥感定量的评估技术与应用发展。
(1)地震烈度及其评定
地震烈度作为度量地震引起的地面震动及其影响强弱程度的概念,具有100多年的使用历史。地震烈度表大多分为12个等级,主要根据人的感觉、器物反应、房屋震害和地表破坏等确定,并在一定程度上建立了与地震动参数的对应关系[7-8]。其中,地震烈度达到Ⅵ及以上时,出现明显的房屋建筑破坏。表1给出了不同地震烈度下房屋(B类,即未经抗震设防的单层或多层砖砌体房屋)等的震害表现,以及震害指数分布范围等。
表1 中国地震烈度表(据文献[8]简化)
Tab.1 The Chinese seismic intensity scale
| 地震烈度 | 人的感觉 | 房屋震害 | 其他震害现象 | |
|---|---|---|---|---|
| 震害程度 | 平均震害指数 | |||
| Ⅵ | 多数人站立不稳,少数人惊逃户外 | 个别中等破坏,少数轻微破坏,多数基本完好 | 0.00–0.11 | 家具和物品移动;河岸和松软土出现裂缝,饱和砂层出现喷砂冒水;个别独立砖烟囱轻度裂缝 |
| Ⅶ | 大多数人惊逃户外,骑自行车的人有感觉,行驶中的汽车驾乘人员有感觉 | 少数中等破坏,多数轻微破坏和/或基本完好 | 0.09–0.31 | 物体从架子上掉落;河岸出现塌方,饱和砂层常见喷水冒砂,松软土地上地裂缝较多;大多数独立砖烟囱中等破坏 |
| Ⅷ | 多数人摇晃颠簸,行走困难 | 个别毁坏,少数严重破坏,多数中等和/或轻微破坏 | 0.29–0.51 | 干硬土上出现裂缝,饱和砂层绝大多数喷砂冒水;大多数独立砖烟囱严重破坏 |
| Ⅸ | 行动的人摔倒 | 少数毁坏,多数严重和/或中等破坏 | 0.49–0.71 | 干硬土上多处出现裂缝,可见基岩裂缝、错动,滑坡、塌方常见;独立砖烟囱多数倒塌 |
| Ⅹ | 骑自行车的人会摔倒,处不稳状态的人会摔离原地,有抛起感 | 大多数毁坏 | 0.69–0.91 | 山崩和地震断裂出现;基岩上拱桥破坏;大多数独立砖烟囱从根部破坏或倒毁 |
| Ⅺ | - | 绝大多数毁坏 | 0.89–1.00 | 地震断裂延续很大,大量山崩滑坡 |
| Ⅻ | - | 几乎全部毁坏 | 1.00 | 地面剧烈变化,山河改观 |
表1中,震害指数与地震烈度具有一定的对应关系。因此,可通过系统的地震现场建筑物震害调查,并统计各结构类型房屋建筑平均震害指数[8],再结合地震地质灾害等进行Ⅵ-Ⅺ地震烈度综合评定。
地震烈度尽管在具体评定时具有很大的不确定性,但仍然得到广泛应用。近年来在中国地震应急救灾、恢复重建实践中,地震烈度的作用得到强化,表现在地震烈度大小及其分布区域是应急救助和恢复重建的重要依据。因此,灾后快速评定地震烈度对应急救援工作的开展具有重要意义。目前,依靠传统的地面调查评定地震烈度需大量的专业人员,且需花费较长时间。例如,中国地震局正式公布2008年5月12日汶川地震烈度图是震后的8月29日(震后第110天)①(① 中国地震局. 汶川8.0级地震烈度分布图. http://www.cea.gov.cn/ manage/html/8a8587881632fa5c0116674a018300cf/_content/08_08/29/1219980517676.html, 2008-8-29)、2013年4月20日芦山地震烈度图是震后的4月25日(震后第6天)②(② 中国地震局. 四川芦山7.0级地震烈度图. http://www.cea.gov.cn/ publish/dizhenj/464/478/20130425153642550719811/index.html, 2013-4-25)、2013年8月28日和31日云南香格里拉县、德钦县和四川得荣交界5.1级、5.9级地震烈度图是震后的9月6日(震后第7天)③(③ 中国地震局. 云南香格里拉、德钦-四川得荣交界5.9级地震烈度图. http://www.cea.gov.cn/publish/dizhenj/464/478/20130906100715808743859/index.html, 2013-9-6)、2014年8月3日鲁甸地震烈度图是震后的8月7日(震后第5天)④(④ 中国地震局. 云南鲁甸6.5级地震烈度图. http://www.cea.gov.cn/publish /dizhenj/468/553/100821/100826/20140807084718982918589/index.html, 2014-8-7)。较小破坏性地震的地震烈度图,一般在震后3天之内能完成评定与发布。上述评估时间相对于应急救援,特别是生命救援,仍然显得较长。虽然目前获取灾区遥感影像数据也需一定的时间,但基于高分遥感的震害解译具有较快的速度,获得较为密集的空间分布,并且随着技术的发展,遥感获取、解译时效性和精度都会有较快的提升,因此,震害遥感评估方法技术研究具有十分重要的现实意义与应用潜力。
(2)地震烈度评定中的遥感早期应用
中国震害遥感提取研究起始于1976年唐山地震,分别对房屋建筑震害、喷水冒砂、道路交通震害等进行了评估,研究了不同烈度区震害的分布特 点[9],但没有给出震害与地震烈度的定量关系。
“八五”期间,中国组织了“重大自然灾害遥感监测与评估”研究,陈鑫连,魏成阶等开展了航空遥感的地震灾害损失快速调查评估与减灾辅助决策研究,进行了震害分级分类,初步建立了震害分级分类遥感判读标志,并建立了依据各类震害及其程度的组合,结合GIS技术综合评判地震烈度的方法,对唐山震例进行了研究验证[10]。2003年2月24日新疆巴楚-伽师6.8级地震后,采用这一思想,在地震应急阶段进行了快速震害遥感解译,得到了高烈度区(VIII度及以上地区)的地震烈度遥感评估结果(图1)[11]。这一成果标志着遥感在地震应急中的应用进入了一个新的时代。
图1 2003年2月24日新疆巴楚-伽师6.8级地震烈度应急遥感评估结果图
Fig. 1 The remote sensing based emergency estimate result of seismic intensity of Ms 6.8 for Bachu-Jiashi, Xinjiang earthquake, occurred on February 24, 2003
上述分类分级判读和综合评判的方法,相比于同期国内外其他类似研究只注重于震害程度分布,是很大的进步。但同时该方法是一种半定量的评定方法,需非常有经验的专业技术人员操作才能完成。而且,不同传感器和分辨率的遥感资料,其震害分级分类标志和震害识别能力具有很大差异,需要多种震害的综合判定,才能保证结果的可靠性。这对于应急地震烈度评估的准确性和时效性是很大的挑战。
(3)基于遥感的震害指数与地震烈度评估方法
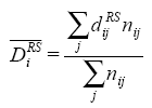
传统地震现场烈度评定中,依据房屋建筑震害调查资料进行震害指数的统计分析,再借助震害指数与地震烈度的对应关系,结合其他震害表现,综合评定地震烈度。为了更好地运用遥感手段评估地震烈度,作者等将“震害指数”引入到震害遥感评估研究中,提出了“遥感震害指数”的概念,发展了震害和地震烈度遥感定量分析方法⑤-⑥(⑤ 王晓青,丁香,窦爱霞,2004. 伽师地震遥感震害定量关系研究(内部)⑥ 中国地震局地震预测研究所, 2008. 2008年四川汶川地震震害遥感影像解译图集 (内部)),[12-16]。该方法仿照地面调查的地震烈度评定方法,依据遥感解译获得的建筑物震害资料,以街区或自然村为统计单元,按照式(1)计算结构类型i遥感评估的平均震害指数

式中,
实际统计时如不分结构类型,则上述结果为统计单元的遥感评估平均震害指数。式(1)由于计算简单,常常在应急阶段使用,但遥感平均震害指数没有反映不同类型建筑物抗震性能的差异。因此,进一步按式(2)计算确定遥感评估的综合震害指 数

式中,
由于遥感反映震害的间接性和宏观性,遥感评估的震害指数(简称为“遥感震害指数”)与现场调查评估的震害指数的值是不一样的。但在同一地点,这2种震害指数反映的是同一建筑物群体的震害程度。因此,通过抽样调查与统计分析,建立遥感震害指数与地面调查确定的震害指数之间的定量关系模型,则可将地震灾区其他非调查地点遥感评估的震害指数,转换为可与地面调查震害指数等效的震害指数。这样,依据转换后的等效震害指数及其与地震烈度的对应关系,将实现遥感地震烈度的评估[12-14]。
(4)地震烈度遥感定量评估实际应用
新的地震烈度遥感定量评估方法提出后,恰逢2008年汶川8.0级地震发生。震后原中国科学院遥感应用所、国土资源部、国家测绘局等提供了大量震后高分卫星和航空遥感影像。地震预测研究所主要依据15日、16日获取(实际推迟1天拿到)的影像开展了遥感影像数据处理,对灾区64个城市和乡镇进行了震害定量解译,于17日晚间完成了震害指数和地震烈度的遥感评估(图2)。该图虽然在地震烈度分布位置上与后来公布的烈度图[3]有一定的差别,但在时间上大大提前,在对灾区受灾程度及其范围的宏观把握,有效支持抗震救灾行动,以及震害调查与地震烈度评定中发挥了一定的作用。
图2 2008年5月12日汶川8.0级地震建筑物震害与地震烈度应急遥感评估图
Fig. 2 The remote sensing based emergency estimate results of building damage and seismic intensity of Ms8.0 for Wenchuan, Sichuan earthquake, occurred on May 12, 2008
震害遥感定量转换模型的建立是本方法的关键。汶川地震应急期结束后,作为汶川地震科学考察的内容之一,作者牵头组织了灾区震害遥感比对专题调查,历时40天,获取了灾区4000多栋房屋建筑单体的震害资料,并与遥感解译结果进行对比分析,建立了灾区城市、乡镇和农村3个震害遥感定量转换模型[14]。2010年玉树地震、2013年芦山地震和岷县地震、2014年盈江地震等地震应急期后,作者均组织了地震现场震害遥感比对科学考察,获取了超过1万栋房屋单体的震害实际调查资料。以这些资料为基础,通过多源、多分辨率机载和星载遥感数据的分析处理与震害评估,建立了中国不同区域多源、多分辨率遥感影像震害定量转换模型。这些成果不但为后来历次大地震的震害遥感定量评估奠定了方法基础,而且提供了实用化的定量评估经验模型。
汶川地震之后,笔者开展了玉树、芦山等十多次地震(图3)震后应急遥感工作(表2),并在玉树(图4(a),于4月18日完成烈度遥感评估)、芦山(图4(b),于4月21日晚完成烈度遥感评估)和鲁甸(图4(c),于8月5日完成部分有高分影像地区的烈度遥感评估)等地震后及时给出了地震烈度的应急遥感评估结果,均早于现场调查基础上完成的地震烈度评估,显示了与实际地震烈度分布的较高一致性(图4)[14-17],表明本方法已达到实用化的程度。
表2 部分地震应急遥感应用案例情况表
Tab. 2 The cases of remote sensing based emergency application of typical earthquake events
| 地震案例 | 典型遥感应用 |
|---|---|
| 2008年汶川地震 | 建筑物与生命线工程震害、地震地质灾害、震害指数和烈度遥感评估 |
| 2010年玉树地震 | 建筑物与生命线工程震害、地震地质灾害、烈度评估、损失评估、恢复重建 |
| 2011年盈江地震 | 建筑物震害、震害指数和烈度评估 |
| 2012年彝良地震 | 地震滑坡、建筑物震害 |
| 2012年洛浦地震 | 背景遥感影像等服务 |
| 2011年印度地震(西藏边境附近) | 背景遥感影像等服务 |
| 2010年海地地震 | 建筑物震害、震害指数和烈度遥感评估、损失评估 |
| 2010年智利地震 | 建筑物等震害、地震海啸影响 |
| 2011年日本地震 | 核电站震害及影响、建筑物震害、地震海啸影响 |
| 2013年芦山地震 | 建筑物与道路交通震害、地震地质灾害,烈度评估、损失评估 |
| 2013年岷县地震 | 建筑物与道路交通震害、地震地质灾害 |
| 2014年鲁甸地震 | 建筑物与道路交通震害、地震地质灾害、烈度评估 |
图3 地震应急遥感评估部分震例分布图
Fig. 3 A partial view of the cases of remote sensing based emergency estimate of earthquakes
图4 典型震例地震烈度应急遥感评估结果图(左列)与公布结果(右列)对比图(⑦中国地震局地震预测研究所,2010. 2010年青海玉树7.1级地震震害遥感影像解译图集(内部)⑧ 国务院关于印发玉树地震灾后恢复重建总体规划的通知. http://www.gov.cn/zhengce/content/2010-06/13/ content_5598.htm. 2010.6.13)
Fig. 4 The remote sensing based emergency estimated seismic intensities (left) compared with the official announced results (right) for typical earthquake events
尽管震害遥感定量评估研究与应用取得了重要的进展,但仍然存在如下问题:(1)定量评估的时效性仍然有待改进;(2)定量评估的精度有待提高;(3)国产卫星遥感数据的应用能力有待提升;(4)评估产品及其服务的针对性需要加强;(5)新的评估方法和综合评估有待发展。
随着空间对地观测技术(特别是中国GF-2卫星成功发射)、计算机技术、网络通信技术和信息处理技术的快速发展,未来地震应急遥感研究与应用将向大数据、分布式、自动化、三维可视化、综合评估、精细化产品与快速制图(或切片)和移动终端应用等方向发展,震害遥感定量评估研究需以新的技术条件与应用需求为驱动,研究各类震害特点与遥感特征表现,丰富新的震害定量评估模型,研制快速、自动算法,并将其产出融入应急救援业务工作中,实现全新的具有显著实效的地震应急遥感应用。
The authors have declared that no competing interests exist.
| [1] |
The Marmara earthquake: A view from space, the Marmara, Turkey earthquake of August 17, 1999: Reconnaissance Report, Technical Report MCEER-00-0001[R]. Buffalo, |
| [2] |
|
| [3] |
Automated detection of building damage due to recent earthquakes using aerial television images [C]. |
| [4] |
Automated damage detection of buildings from aerial television images of the 2001 Gujarat, India earthquake [C].
|
| [5] |
Damage detection from high-resolution satellite images for the 2003 Boumerdes, Algeria earthquake [C].
|
| [6] |
Tsunami damage detection using moderate-resolution satellite imagery [C]. |
| [7] |
|
| [8] |
|
| [9] |
中国地震灾害遥感应用的历史、现状及发展趋势 [J].
回顾了中国地震灾害遥感应用的发展历史。从地震灾害遥感调查、地震地质构造背景的卫星遥感分析、地震灾害遥感与GIS监测评估技术系统、卫星遥感震害调查与分析的新时代和汶川地震灾害遥感调查评估等几个方面总结各个发展阶段采用航空、卫星遥感信息源判读识别震害分类分级的技术方法。最后结合遥感技术发展的趋势和地震灾害的特点, 就地震灾害遥感应用的发展趋势, 简要地谈了作者的看法。
|
| [10] |
地震烈度包络线的遥感与GIS方法快速生成 [J].
地震烈度包络线通常用地面调查 宏观地震影响和破坏现象来划分。本文介绍在完成国家“八五”科技攻关项目中,突破常规调查方法,采用遥感与GIS技术,在室内针对震害遥感影像完成震害分 类分级,进而通过人机对话完成地震烈度包络线的快速生成的方法和技术。运用该技术以唐山地震区作模拟试验表明:遥感与GIS技术快速生成的高烈度包络线, 不仅使大量实地调查变为室内遥感应用分析,时效提高了10倍,而且其轮廓形状更趋客观实际。
|
| [11] |
震害遥感快速提取研究——以2003年2月24日巴楚–伽师6.8级地震为例 [J].https://doi.org/10.3321/j.issn:1005-2321.2003.z1.039 URL [本文引用: 1] 摘要
论述了遥感影像提取震害的研究进展,提出了基于GIS和数字图像 处理技术的震害遥感快速提取与损失评估的技术途径.在此基础上,介绍了巴楚-伽师地震的航空与卫星遥感资料的获取、图像数字处理与震害提取过程;描述了地 震造成的建筑物震害与地质灾害的遥感图像特征;根据以往震害遥感影像统计经验与本次地震震害遥感特征,提出了遥感震害分级分类标准和地震烈度划分标准,进 而得到基于震害遥感影像的伽师地震等震线图.文中对所得到的地震烈度与地面实际调查结果进行了比较.通过遥感信息源空间分辨率要求与信息获取与处理的时效 性分析,认为我国利用航空遥感与卫星遥感资料获取地震灾情信息已进入实用阶段.
|
| [12] |
遥感震害指数与地面调查震害指数关系的定量研究[D] . |
| [13] |
汶川8.0级地震震害遥感定量化初步研究——以都江堰城区破坏为例 [J].https://doi.org/10.3969/j.issn.1000-3274.2009.01.021 URL 摘要
随着遥感技术的飞速发展,遥感 在地震应急救援、灾害调查和损失评估中的作用越来越显著。然而由于缺乏系统的遥感震害定量研究,使得遥感的实用性常常受到质疑。文中叙述了遥感震害定量研 究的基本思路,提出了遥感震害指数的概念与定量分析的基本模型,并以2008年汶川8.0级地震造成的都江堰城区震害为例,依据建筑物震害遥感解译结果和 地面震害调查结果,进行了都江堰城区部分街区的建筑物遥感震害指数和地面调查震害指数的统计分析,并建立了两者之间的统计关系。初步研究结果表明,依据高 分辨率航空遥感影像和卫星雷达图像建立的建筑物遥感震害指数与地面调查震害指数及房屋倒塌率存在显著的对应性。因此,通过遥感震害定量化研究,将为地震震 害调查、损失评估提供有力的方法和工具。
|
| [14] |
|
| [15] |
Study on the comparison of building damage extracted from different RS images acquired after 2010 M=7.1 Yushu, Qinghai, China earthquake [C].
|
| [16] |
基于综合震害指数的玉树地震烈度遥感评估研究 [J].https://doi.org/10.3969/j.issn.1000-3274.2013.02.001 URL [本文引用: 1] 摘要
本文概述了地震烈度遥感评估的思路和方法,给出了遥感综合震害指 数、地面等效震害指数计算的模型和地震烈度估计方法.利用2010年青海玉树7.1级地震发生后获取的主要地震灾区玉树县城区结古镇高分辨率航空遥感影像 及其遥感震害解译结果和震后地震现场震害遥感比对科学考察成果,进行了结古镇的地震受灾程度和地震烈度的遥感评估.综合分析表明,玉树县城区遥感评估的地 震烈度为Ⅸ度,与地面调查确定的地震烈度一致.文章最后对结果进行了讨论,表明遥感方法对应急烈度评估具有实用价值.
|
| [17] |
2013年四川芦山7.0级地震烈度遥感评估 [J].https://doi.org/10.6038/cjg20150114 Magsci [本文引用: 1] 摘要
2013年4月20日四川芦山<em>M</em><sub>S</sub>7.0级地震发生后,在灾区应急获取了多种高分辨率航空和无人机遥感影像,并快速解译提取了灾区建筑物震害信息.采用地震烈度遥感定量评估方法,利用2008年汶川8.0级地震等震后震害遥感解译和现场调查研究确定的经验震害遥感定量评估模型,获得了芦山地震灾区126个主要居民点的地震烈度遥感评估结果,并据此圈画了地震烈度分布遥感评估图.结果显示,本次地震Ⅸ度区面积约150 km<sup>2</sup>,Ⅷ度区面积约900 km<sup>2</sup>.该结果在第一时间(4月21日晚)提供给了中国地震局地震现场应急指挥部.对比分析显示,地震烈度遥感快速评估结果与中国地震局4月25日公布的地震烈度图,以及与笔者在现场实地进行的建筑物震害详细调查结果基础上评定的地震烈度具有较高的一致性.表明强烈地震发生后,借助于快速获取的灾区高分辨率遥感影像,可以快速估计地震烈度分布,对地震灾区灾情估计和抗震救灾工作具有十分重要的参考意义.
|
/
| 〈 |
|
〉 |