地球信息科学学报  2016 , 18 (6): 833-846 https://doi.org/10.3724/SP.J.1047.2016.00833

遥感科学与应用技术

ESTARFM模型在西藏色林错湖面积时空变化中的应用分析(1976-2014年)

郝贵斌12, 吴波1, 张立福2*, 付东杰2, 李瑶2

1. 福州大学空间数据挖掘和信息共享教育部重点实验室,福建省空间信息工程研究中心,福州 350002
2. 中国科学院遥感与数字地球研究所 遥感科学国家重点实验室,北京 100101

Temporal and Spatial Variation Analysis of the Area of Siling Co Lake in Tibet Based on ESTARFM (1976-2014)

HAO Guibin12, WU Bo1, ZHANG Lifu2*, FU Dongjie2, LI Yao2

1. Key Laboratory of Spatial Data Mining and Information Sharing of Ministry of Education, Spatial Information Research Center of Fujian Province, Fuzhou University, Fuzhou 350002, China
2. State Key Laboratory of Remote Sensing Science, Institute of Remote Sensing and Digital Earth, Chinese Academy of Sciences, Beijing 100101, China

通讯作者:  *通讯作者:张立福(1967-),男,研究员,研究方向为高光谱遥感与定量遥感研究。E-mail: zhanglf@radi.ac.cn

收稿日期: 2015-07-9

修回日期:  2015-09-18

网络出版日期:  2016-06-10

版权声明:  2016 《地球信息科学学报》编辑部 《地球信息科学学报》编辑部 所有

基金资助:  国家自然科学基金项目(41201348、41371359、41571330)高分水利遥感应用示范系统(08-Y30B07-9001-13/15-01)福建省科学基金项目(2015J01163)

作者简介:

作者简介:郝贵斌(1990-),男,硕士生,研究方向为时空数据融合与长时间序列分析。E-mail: haoguibin2009@126.com

展开

摘要

湖泊(特别是内陆湖)作为全球气候变化的敏感区域,是气候变化与环境变异的指示器,其面积变化在一定程度上可反映区域的气候变化。因此,精确监测湖泊面积的时空变化,对分析区域生态环境变化具有重要的意义。本文基于ESTARFM时空数据融合模型,利用MODIS数据模拟了2000年后无法得到的Landsat数据;利用NDWI和MNDWI 2种水体指数并辅以DEM数据分析了1976-2014年西藏色林错湖湖面面积的时空变化;综合湖区周围6个气象站点的气象数据(1970-2014年),探究了湖面面积变化的原因及其对气候变化的响应。结果表明:(1)利用ESTARFM时空融合模型得到的Landsat-Like数据与真实的Landsat数据在水体信息提取方面具有较高的相关性,R2可达0.93,时空数据融合的结果可用于湖泊水体的信息提取;(2)近40年来(1976-2014年),色林错湖处于持续扩张状态,面积呈较显著的增长趋势,增加了近711.652 km2,增幅为42.36%,年平均增长速率约为18.728 km2a-1,增长最快时可达55.954 km2a-1;湖面面积变化先后经历了平稳变化-迅速变化-平稳变化3个阶段;北部湖区在40年间变化最为明显,向北扩展了约22.812 km;2003-2005年,南部湖区已与雅根错湖连为一体,随后二者共同扩张;(3)气温的持续升高造成的冰雪融水补给增加可能是导致湖泊面积扩张的主要因素,风速的降低为次要因素,湖面的面积变化与降水量、日照时数的变化相关性不明显。

关键词: 时空融合 ; ESTARFM ; MODIS ; Landsat ; 西藏色林错 ; 时空分析

Abstract

Lakes, especially the inland lakes, are sensitive to global climate change, which are the indicator of environmental variation. The area of lakes can reflect local climate change information. Thus, the rapid and accurate monitor of the dynamic change of the lake area is of great significance to analyze regional ecological environment. Based on MODIS data, this study used ESTARFM to simulate the Landsat data which are unavailable after 2000, and utilized two types of water index assisted by DEM data to analyze the dynamic area change of Siling Co Lake in Tibet from 1976 to 2014. Then, we analyzed the reasons of lake area change and its respond to climate change using the meteorological data acquired by six adjacent meteorological stations from 1976 to 2014. Conclusions can be made according to the results as the following statements. (1) The Landsat-like data acquired by ESTARFM was consistent to the real Landsat data in water information extraction, whose determination coefficient can reach a value of greater than 0.93. So, the fused data can be applied to extract the information of lakes. (2) Siling Co kept expanding from 1976 to 2014, the area of which increased approximately 711.652 km2, which is 42.36% larger. The average annual growth was about 18.728 km2, and the largest annual increase was up to 55.954 km2. The whole process of lake area change can be divided into three stages: the smooth change, the rapid change, and the smooth change again. The northern region changed most obviously, extending northward for about 22.812 km2. From 2003 to 2005, the southern region was integrated with Ya Gencuo Lake, and then they expanded together. (3) The snow-ice melting water supply caused by global warming might be the main reason for lake spread, and the decrease of wind speed was the secondary factor. However, the amount of precipitation and sunshine duration were poorly related to the lake area change.

Keywords: temporal-spatial fusion ; ESTARFM ; MODIS ; Landsat ; Siling Co ; temporal and spatial variation analysis

0

PDF (20026KB) 元数据 多维度评价 相关文章 收藏文章

本文引用格式 导出 EndNote Ris Bibtex

郝贵斌, 吴波, 张立福, 付东杰, 李瑶. ESTARFM模型在西藏色林错湖面积时空变化中的应用分析(1976-2014年)[J]. , 2016, 18(6): 833-846 https://doi.org/10.3724/SP.J.1047.2016.00833

HAO Guibin, WU Bo, ZHANG Lifu, FU Dongjie, LI Yao. Temporal and Spatial Variation Analysis of the Area of Siling Co Lake in Tibet Based on ESTARFM (1976-2014)[J]. 地球信息科学学报, 2016, 18(6): 833-846 https://doi.org/10.3724/SP.J.1047.2016.00833

1 引言

近几十年来,全球气候发生了显著的变化[1],湖泊(特别是内陆湖泊)作为大气圈、生物圈、土壤和陆地水圈相互作用的连接点是全球环境变化的敏感区域和典型区域,是湖区气候变化、环境变异的指示器[2]。青藏高原作为地球陆地生态系统的重要组成部分,被誉为“世界的第三极”、“全球气候变化的驱动机与放大器”、“亚洲水塔”[3],分布着地球上海拔最高、数量最多、面积最大的高原内陆湖泊群,受到了学者们的高度关注[4-10]。湖泊面积的变化会引起地表下垫面条件的变化,进而影响大气环流,而且对气候系统具有重要的反馈作用[11]。因此,精确地监测湖泊面积的时空变化,揭示影响湖泊面积变化的自然因素,对分析区域生态环境和气候变化具有重要的意义[12]

在全球变暖的大环境下,西藏北部地区属于气候变化的敏感区域。该地区海拔较高、人口相对稀少,湖面的面积变化受人类活动影响较小,湖泊的自然条件保持较好。因此,该地区的湖泊面积变化可较为真实地反映区域气候的变化情况[13]。近40年来,位于藏北地区的色林错湖面积增长最为迅速,已超过纳木错湖成为西藏地区第一大湖[3,14]。色林错湖湖面的动态变化已引起了广泛的关注[4,12-16],但目前的研究主要利用有限的几景MSS或TM等遥感影像进行分析,缺少时间上的连续性,难以反映色林错湖逐年、逐季度甚至逐月的变化情况;或者使用空间分辨率较低的MODIS数据(250、500和1000 m),缺少对空间细节的刻画,难以反映色林错湖的空间变化信息。时空数据融合可很好地结合二者的优势,获得高时间、高空间分辨率的遥感影像,即通过时空数据融合获得的数据具有MODIS数据的时间分辨率和Landsat数据的空间分辨率(30 m)。本文基于ESTARFM(Enhanced Spatial and Temporal Adaptive Reflectance Fusion Model)[17]时空数据融合算法,获取高时间、高空间分辨率的融合数据,并综合2种水体指数并辅以DEM数据构建湖泊水体的提取模型,对1976-2014年的色林错湖面积时空变化进行了深入分析。

2 数据与方法

2.1 研究区概况

色林错湖是西藏地区第一大湖,中国境内第二大咸水湖,属于青藏高原形成过程中产生的一个构造湖[18],位于冈底斯山北麓,申扎县以北,地处西藏自治区申扎、尼玛、班戈3县的交界处,空间范围为31°34′~31°57′N,88°33′~89°21′E[10]。湖面平均海拔4530 m,湖体东西长72 km,南北宽22.8 km,最大水深超过33 m。色林错湖湖区地势略低于周围区域(图1[12,19],位于水流的汇聚中心,发源于格拉丹东、唐古拉山、吉热格帕等雪山的扎加藏布河流,于北岸入湖;发源于巴布日雪山的波曲藏布河流,于东岸入湖;发源于格仁错东部甲岗雪山的扎根藏布河流,于西岸入湖。因此,色林错湖水源的补给属于冰川融水补给。

图1   研究区位置及色林错湖区高程分布

Fig. 1   The location and DEM distribution of Siling Co Lake

图2   色林错湖面积的年内变化

Fig. 2   Area changes of Siling Co Lake during the year

2.2 数据来源

色林错湖区的雨热季均集中在每年的6-9月,冰冻期在每年的1-3月,通常情况下,湖水水位在10-11月达到年内稳定最大值。以2005年为例,利用8 d合成的MOD09A1地表反射率数据提取一年内色林错湖面积的变化情况(图2),由于云的覆盖和湖面结冰导致前期(第25-89天)湖泊的提取面积变小,第33天整个湖区被云覆盖,致使湖泊的提取面积几乎为0,从第289-321天(10-11月)湖泊水位达到年内的稳定最大值。从图2可看出,色林错湖湖泊面积一年内每8 d的变化率大于0,表明其呈季节性扩张显著,而本文主要研究色林错湖面积的年际变化,为减少因季节变化导致的湖面差异,在遥感数据的选择上均选择11月的数据(表1)。

表1   现有的11月Landsat数据列表

Tab. 1   The list of available Landsat data in November

年份日期(DOY)传感器类型行号/列号空间分辨率/m
197611-13(318)MSS150/3860
198811-30(335)TM139/3830
198911-18(322)TM139/3830
199111-08(312)TM139/3830
199211-10(315)TM139/3830
199311-13(317)TM139/3830
199911-06(310)ETM+139/3830
200011-08(313)ETM+139/3830
200111-11(315)ETM+139/3830
200211-30(334)ETM+139/3830
200311-09(313)TM139/3830
200411-02(307)TM139/3830
200511-14(318)TM139/3830
200910-31(308)TM139/3830
201411-07(311)OLI139/3830

新窗口打开

本文使用的数据主要包括Landsat数据、MODIS数据、DEM数据和气象资料。(1)Landsat数据包括MSS、TM、ETM+、OLI等遥感数据,由美国地质调查局网站(http://glovis.usgs.gov/)获得,可直接获得的11月数据见表1,需要预测的11月数据见表2。若该年份中可获得包含预测时期在内的质量较好的2景影像,便利用2个时期的影像进行预测,若只有一景时间相接近的影像时,则利用一个时期的影像进行预测,所采用的MODIS数据与Landsat数据的日期前后最多不超过3 d,由于MODIS数据从2000年才开始生产,所以预测数据只能填补2000年以后不能得到的Landsat数据;MODIS数据则采用8 d合成的MOD09A1(http://modis.gsfc.nasa.gov)地表反射率产品;DEM数据使用ASTER的2级产品GDEM数据。(2)气象数据包括色林错湖附近的申扎、班戈、安多、那曲、当雄、改则6个气象台站(图1)1970-2014年月平均气温、月降水量、月平均风速、月日照时数等气象数据,12个月份的累加和作为当年的年值数据,6个气象站点各气象数据取平均值代表色林错湖地区的气象资料。

表2   需要预测的11月Landsat-Like数据列表

Tab. 2   The list of Landsat-Like data needed to predict in November

年份预测日期(DOY)利用的TM数据日期(DOY)利用的MODIS数据日期(DOY)
2006313273 337273 337
2007313276273
2008313279281
2010313220 364217 361
2011313239241
2012313282 346281 345
2013313212 340209 337

新窗口打开

2.3 数据预处理

利用MRT(MODIS Reprojection Tool)工具把MODIS数据批量重新投影为与Landsat数据相同的投影,并输出为GeoTIFF格式。由于MODIS数据与Landsat数据来自不同的传感器,波段设置有所差异(表3),须将MODIS数据按照B3、B4、B1、B2、B6、B5、B7的顺序重新波段调整,这样可以与Landsat数据的波段一一对应,并将MODIS数据重采样为30 m空间分辨率,与Landsat数据精确配准后进行相同区域的裁剪,作为ESTARFM模型的输入 数据。

表3   Landsat数据与MODIS数据波段设置及对应关系

Tab. 3   Landsat and MODIS band settings and corresponding relationships

光谱范围Landsat TM波段(分辨率/m)波段范围/μmMODIS波段(分辨率/m)波段范围/μm
可见光(蓝)B1(30)0.450~0.520B3(500)0.459~0.479
可见光(绿)B2(30)0.520~0.600B4(500)0.545~0.565
可见光(红)B3(30)0.620~0.690B1(250)0.620~0.670
近红外B4(30)0.760~0.900B2(250)0.841~0.876
中红外B5(30)1.550~1.750B6(500)1.628~1.652
热红外B6(60)1.040~1.250B5(500)1.230~1.250
中红外B7(30)2.080~2.350B7(500)2.105~2.155

新窗口打开

2.4 研究方法

2.4.1 ESTARFM时空数据融合算法

在忽略大气校正误差和配准误差的前提下,假定单一地物类型的均质区域 tk时刻的较粗分辨率的MODIS影像与较高空间分辨率的Landsat影像之间的差异仅由系统偏差引起的[20],则二者之间的反射率存在线性关系(式(1))[17]

L(x,y,tk,B)=a×M(x,y,tk,B)+b(1)

式中: LM分别表示Landsat数据与MODIS数据; (x,y)表示像元的所在位置; tk为影像的获取时间; B表示影像的波段; ab是线性方程的系数且会随着位置的不同而改变。

如果有2个时期( t0tp)的2对影像,且地物类型在2个时期都没有发生明显的变化,则根据式(1)可得到式(2)和式(3)[17]

L(x,y,t0,B)=a×M(x,y,t0,B)+b(2)

L(x,y,tp,B)=a×M(x,y,tp,B)+b(3)

由式(2)、(3)可得到式(4)[17]

L(x,y,tp,B)=L(x,y,t0,B)+a×(M(x,y,tp,B)-M(x,y,t0,B))(4)

实际上地表地物类型一般比较复杂,覆盖地区往往是非均质的,相对于30 m空间分辨率的Landsat数据而言,MODIS数据的像元多为混合像元。而且地表覆盖类型和因光照条件引起的双向反射分布函数(BRDF)也会随时间发生变化,高分辨率影像与低分辨率影像间基本不存在式(4)描述的简单转换关系,如果仅利用单对的像元进行信息的预测,很难保证预测精度[20],需引入邻近的具有相同光谱特征的均质像元作为辅助信息来提高预测精度。因此,以预测像元为中心设定一定大小的邻域窗口,并对窗口内的像元利用权重函数 W进行卷积运算,得到中心像元的预测值,然后在整幅影像上滑动窗口,得到需要预测的影像,如式(5)[17]所示:

L(xω2,yω2,tp,B)=L(xω2,yω2,t0,B)+i=1NWi×Vi×(M(xi,yi,tp,B)-M(xi,yi,t0,B))(5)

式中: N为包括预测像元在内的相似像元的数目; ω为滑动窗口的大小; (xi,yi)是第 i个相似像元的位置; Wi是是第 i个相似像元的权重大小,可描述为对预测的中心像元反射率的贡献程度,是依据空间距离、时间距离、光谱距离3项来确定的。空间距离是窗口内中心像元与邻域像元的欧式距离;时间距离是给定位置处的 tp时刻MODIS与 t0时刻MODIS像元的差值;光谱距离是给定位置处的 t0时刻Landsat像元值与MODIS像元值的差值。 Vi是考虑了混合像元分解的第 i个相似像元的转换系数。

通过式(5),选择2个不同时期(tbte)的MODIS数据用于计算预测日期Tp的高分辨率遥感反射率数据,记为 Lb(xω2,yω2,tp,B)Le(xω2,yω2,tp,B)。结合2种预测结果,预测的中心像元反射率更准确。以更靠近预测时期具有更高权重为准则,该权重计算为式(6)[17]。最后,预测的中心像元反射率为式(7)[17]。时空数据融合流程如图3所示。

图3   时空数据融合流程

Fig. 3   Flow chart of data fusion

βt=1j=1wi=1wM(xi,yj,tβ,B)-j=1wi=1wM(xi,yj,tp,B)(1j=1wi=1wM(xi,yj,tβ,B)-j=1wi=1wM(xi,yj,tp,B)),(t=b,e)(6)

L(xω2,yω2,tp,B)=βb×L(xω2,yω2,tb,B)+βe×L(xω2,yω2,te,B)(7)

2.4.2 综合2种水体指数的湖泊提取方法

目前,从遥感影像中快速准确地获取水体信息的方法很多,包括单波段阈值法、多波段谱间关系法、分类后提取、水体指数法等水体自动提取方法。单波段阈值法是利用遥感影像中对水体较为敏感的波段根据某一阈值进行水体的提取,此方法简单,但无法排除阴影对提取结果影响;谱间关系法[21]是通过分析水体与其他背景地物的波谱曲线特征,找到水体具有的独特的谱间关系特征来提取水体,而这种方法需要大量的典型样本进行光谱统计,相对比较复杂;分类后提取法[22-24]是采用监督或非监督分类法进行地物类型的划分,进而分离出水体,但该方法受分类精度的影响;水体指数法[25-31]则是将水体反射强的波段和反射弱的波段分别作为分子、分母,通过比值运算进一步扩大二者之间的差距,以突出水体的信息,其简单易用,是目前最为常用的水体信息提取方法。

水体指数法是将水体反射强的波段和反射弱的波段通过比值运算构建的指数,并结合一定的阈值提取水体信息。NDWI(Normalized Difference Water Index)和MNDWI(Modified Normalized Difference Water Index)是最常用的水体指数,计算公式如式(8)[31]和式(9)[25]所示。

NDWI=CH2-CH4CH2+CH4(8)

MNDWI=CH2-CH5CH2+CH5(9)

式中: CH2CH4CH5分别表示TM数据的 B2B4B5波段的反射率值。

然而,单一的NDWI或者MNDWI都很难准确地将水体与其他地物很好地区分开,可能会将山体阴影错分为水体,或者漏分一些比较细小、较浅的、水质较差的水体。考虑到冰雪在可见光波段反射率较高,短波红外发射率较低的特点[32],为了提高水体的提取精度,因此,本文综合利用NDWI(式(8))和MNDWI(式(9))来构建湖泊的提取模型,阈值均取大于0.05,而且当NDWI与MNDWI二者提取的结果均为水体时才被标识为水体;然后采用DEM数据,过滤坡度较大(>5°)的水体,以消除由于山体阴影造成的错分现象。

3 时空融合模型结果与分析

3.1 ESTARFM时空融合结果与评价

以2007年第164天(图4(a)、(d))和第276天(图4(c)、(f))的MODIS数据与Landsat数据影像对作为ESTARFM模型的输入数据,来预测第212天Landsat-Like数据为例,检验了ESTARFM时空融合结果的准确性与实用性。

图4   ESTARFM时空融合输入数据情况

Fig. 4   The input data of data fusion by the ESTARFM

图5为ESTARFM时空融合的结果对比,均为4、3、2波段标准假彩色合成。对比图5(a)-(c),目视效果上,ESTARFM时空融合的结果(图5(b))与真实的Landsat数据(图5(c))较为相近,空间分辨率从500 m提高到了30 m,且较好地保留了光谱信息。

图5   ESTARFM时空融合结果对比

Fig. 5   Comparison of the data fusion results by ESTARFM

通过式(8)、(9)分别计算了ESTARFM时空融合结果与原始的真实Landsat数据的归一化水体指数(NDWI)和改进的归一化水体指数(MNDWI),同时在整个区域随机选取5000个点,并通过最小二乘法建立了二者之间的线性关系(图6)。

图6   融合结果与真实的Landsat数据计算的2种水体指数对比及相关性

Fig. 6   Comparison of two types of water index and the correlation of data fusion by ESTARFM and the actual Landsat

图6可知,ESTARFM时空数据融合结果计算的NDWI和MNDWI与真实的Landsat数据计算的NDWI和MNDWI的相关性均达到0.93以上,拟合趋势线的斜率均接近于1,其中,NDWI二者的相关系数 R2为0.9344,斜率 K为1.0733,MNDWI二者的相关系数 R2可达0.9404,斜率 K为1.0899。因此,通过ESTARFM时空数据融合模型得到的数据融合结果可用于湖泊水体信息的提取。

3.2 色林错湖湖泊面积监测结果分析

通过遥感影像可清楚地发现1976-2014年色林错湖的扩张变化(图7),图7(a)-(f)分别是1976、1988、1991、2003、2008和2014年11月的遥感数据,均为4、3、2波段标准假彩色合成。由图7的遥感影像可看出:(1)色林错湖的北部、东部和西部、南部均发生了明显变化,其中3处分别是北部的扎加藏布入湖处,东部的波曲藏布入湖处和西部的阿里藏布入湖处,湖区北部变化最为明显;(2)2003-2005年由于水位的不断上涨,色林错湖南部湖区在昌都岗地区与雅根错湖发生了联通,并在雅根错湖的西南岸派生出一个新的小湖,联通后雅根错湖随色林错湖共同扩张(图7(d)-(f));(3)在遥感影像上,静止的水体色调相对较深,湍流的水体色调相对较浅,从图7(d)-(f)可以清晰地看到色林错湖的北部湖区整体颜色较浅,说明此处仍有源源不断的冰川融水补给,是可能继续扩展的区域。

图7   1976-2014年色林错湖遥感影像监测

Fig. 7   Remote sensing images of Siling Co Lake from 1976 to 2014

基于本文研究方法提取得到了1976-2014年色林错湖空间分布范围,分析了色林错湖近40年湖面面积的时空变化情况(图8)。由图8可看出,色林错湖从1976-2014年湖面面积呈较为显著的持续增加趋势:(1)近40年来,色林错湖向北扩展了22.812 km,向西扩展了4.146 km,向东扩张了4.421 km,最大扩张范围可达7.484 km;(2)2003年前后,雅根错湖西南方向派生出一个新的小湖区,并向外扩张了约1.990 km,2004年前后,色林错湖南部湖区在昌都岗处与雅根错湖连为一体,随后雅根错湖又向南扩张了3.806 km。

图8   1976-2014年色林错湖空间分布及面积变化

Fig. 8   Spatial distributions and changes of Siling Co Lake from 1976 to 2014

选取包括色林错湖区域且时相相近的MODIS影像(2000年后)提取湖水面积并与Landsat数据提取的结果进行对比,统计结果见表4。二者提取的湖面面积结果相关系数 R2可达0.99,但Landsat数据较好地刻画了湖水边界的细节变化。

表4   色林错湖各年份湖泊面积统计表(km2

Tab. 4   Water area derived from Landsat and MODIS data for Siling Co Lake from 1976 to 2014(km2

年份Landsat面积MODIS面积年份Landsat面积MODIS面积
19761679.911-20042153.2672139
19881753.616-20052244.3682245.5
19891771.530-20062254.1802258.5
19911814.634-20072275.4842272
19921815.849-20082301.1612294
19931821.047-20092330.3842308
19991908.646-20102349.3892336.75
20001948.622195520112370.8032370.25
20012014.5402011.520122379.0632385
20022063.5072053.520132381.6192383.75
20032122.813212220142391.5632392.75

新窗口打开

图9表明色林错湖呈显著的持续扩张状态。近40年间,面积增长了近711.652 km2,年平均增长速率为18.728 km2a-1,且湖面变化经历了平稳变化、迅速增加、平稳变化3个阶段:

(1)1976-1999年为平稳变化阶段,色林错湖湖面面积在1976年为1679.911 km2,到1999年增长为1908.646 km2,面积增加了228.735 km2,增加速率约为9.945 km2a-1

(2)1999-2005年为迅速增加阶段,2005年色林错湖面积增长为2244.368 km2,面积增加了335.722 km2,增加速率约为55.954 km2a-1,此阶段为湖面面积变化最快的时期。

(3)2005-2014年为平稳变化阶段,到2014年,色林错湖面积已达2391.563 km2,面积增加了147.195 km2,增加速率约为16.355 km2a-1,与上一阶段相比,该阶段增速放缓,但湖面面积仍处于持续扩张状态。

图9   1976-2014年色林错湖湖面面积时空变化

Fig. 9   Spatial and temporal variation of Siling Co Lake from 1976 to 2014

3.3 湖面变化与气象因素相关分析

3.3.1 气象资料分析

综合1970-2014年色林错湖周围的申扎、改则、那曲、安多、班戈、当雄6个气象站点40多年的年平均气温、年平均风速、年平均降水量和年平均日照时数等气象数据,分析了色林错湖湖区40多年来气候的变化(图10)。

图10   1970-2014年色林错湖区各气象要素的年际变化

Fig. 10   Inter-annual variability of meteorological elements in Siling Co Lake from 1970 to 2014

图10可发现,1970年以来色林错湖地区(1)年平均气温总体上呈较为显著的上升趋势,增长速率约为0.49 a,除了1974-1983年和1997年的年平均气温稍有下降外,其他年份均呈增加趋势;(2)年平均风速总体上呈较为显著的下降趋势,下降速率约为-0.379 ms-1a-1,除了1970-1976年的年平均风速稍有上升趋势外,其他年份均呈下降趋势;(3)年平均降水量与年平均日照时数总体上没有明显的上升或者下降趋势,年平均降水量在1994年前基本保持不变,自1994年后有一定的上升趋势,而年平均日照数在1988年以前呈明显的上升趋势,1988年以后则呈下降趋势。

3.3.2 湖面面积变化与气象数据相关性分析

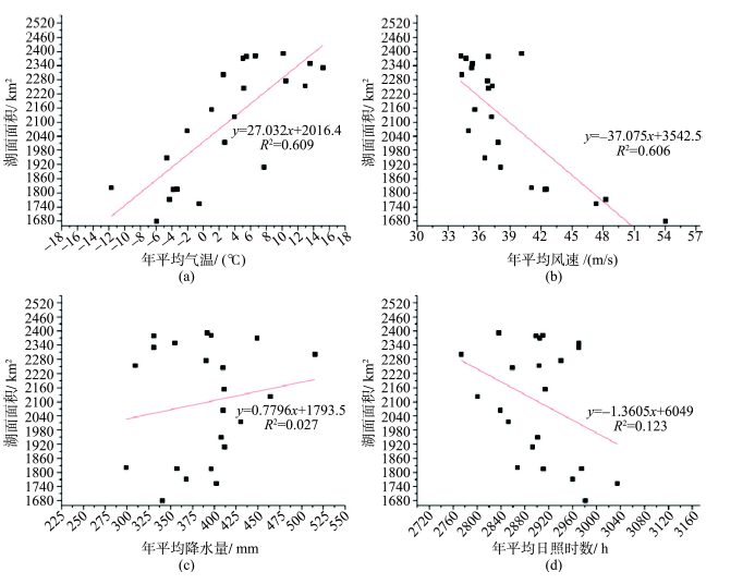
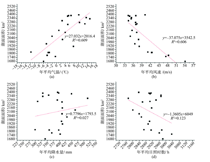
通过将统计得到的色林错湖面面积与各气象数据之间做相关性分析,结果表明色林错湖面积的变化同年平均气温和年平均风速变化有较好的相关性,相关系数 R2分别可达0.609和0.606(图11(a)、(b)),而与年平均降水量和年平均日照时数变化相关性并不明显。这表明近40年的湖面面积变化与长期区域气温升高趋势和区域风速降低趋势有一定的相关性。根据部分学者对青藏高原地区冰川的研究[33-37],发现自20世纪80年代以来,气温的快速升高,使高原冰川末端在近几十年加速退缩,其中格拉丹东冰川面积从1969年的899.31 km2减少到2000年的884.4 km2,降幅为1.7%,这会为色林错湖带来大量的冰雪融水,造成湖面的不断扩张。

图11   色林错湖的湖面面积与各气象要素之间的相关性

Fig. 11   Correlation between the area and the meteorological elements

首先,随着气温的不断上升,可能会引起色林错湖补给河流的上游冰川、雪山的加速消融,融水通过3条内流河注入湖泊,最终导致湖面持续扩张,而且从提取的时空变化结果来看,湖泊发生的扩张区域也主要发生在3条河流注入湖泊的低洼地带。另外,色林错湖位于青藏高原的冻土地带,高原冻土相当发育,色林错位于全流域最低洼的地区,是水流的汇聚中心,气温的升高,可能造成地温的升高,色林错湖周围的冻土也会开始解冻,大部分水流会汇聚到色林错湖流域,进而对色林错湖面积的增加产生一定影响。而且,风速的降低在一定程度上减少了色林错湖表面的蒸发作用。所以冰雪融水增多,蒸发量相对减少,是色林错湖湖面面积增大的主要原因。

3.3.3 地形和相对水深分析

为了进一步佐证湖面积变化是由湖水水位增高自然引起,而非人类扰动造成,本文对色林错湖周围地区的地形(图1(b))做了分析,并利用2014年的Landsat 8 OLI数据反演了整个湖区的相对水深(图12)。

图1(b)可看出,整个湖区位于流域最为低洼的地区,属于水流的汇聚中心,根据DEM分布可以看出,色林错湖位于地形相对较低的区域,从而可推断湖水水位的增高会掩盖掉这些地形相对较低的区域,如果水位继续上涨,色林错湖仍会继续朝着地势相对较低的区域扩张。

图12发现:(1)色林错湖水扩张的区域均为相对水深较浅的区域,属于水位自然上涨淹没区;(2)通过不同的颜色分级可以清楚地看出整个色林错湖的变迁过程,从红色到淡红色再到黄色最后到绿色,边界清晰,且与色林错湖近40年来湖面面积时空变化(图8)很好地对应。

图12   色林错湖相对水深分布

Fig. 12   Relative water depth distribution of Siling Co Lake

综上,色林错湖面积的时空变化可在一定程度上较真实地反映该区域气候的变化。

4 结论与展望

本文基于ESTAFM时空数据融合模型,利用MODIS数据模拟了2000年后不能获得的Landsat数据,综合利用2种水体指数并结合DEM辅助数据进行了色林错湖水体信息的提取,提取了1976-2014年色林错湖地区的逐年湖泊空间分布范围与变化趋势信息,利用周围6个气象站点的气象数据与湖面面积进行了相关性分析,以探究色林错湖面积变化的原因及其对气候变化的响应。通过对色林错湖湖泊面积变化分析可以得出以下结论:

(1)ESTARFM时空数据融合模型,在大幅度提升空间分辨率的同时,可较好地保持原有的光谱信息。融合后的Landsat-Like数据与真实的Landsat数据,提取的水体结果相关系数 R2可达0.93,通过ESTARFM时空数据融合算法,得到的数据融合结果可用于湖泊水体信息的提取。所以,利用ESTARFM时空数据融合模型进行逐月乃至逐天的高空间分辨率影像合成,进行更长时间序列的动态变化监测研究。

(2)1976-2014年色林错湖一直处于扩张状态,面积增长了近711.652 km2,增幅为42.36%,年平均增长速率约为18.728 km2a-1,且湖面变化经历了平稳变化、迅速增加、平稳变化3个阶段。湖区发生扩张的区域主要集中在3条内流河入湖的低洼地带,北部湖区变化最为明显,向北扩张了22.812 km,向西扩张了4.146 km,向东扩张了4.421 km,而南部湖区在2003-2005年与雅根错湖在昌都岗处联通在一起,并在西南方向派生出一个新的小湖泊。下一步可利用得到的色林错湖的空间分布范围,寻找一个合理的预测模型,建立相应的转移矩阵,对未来的湖泊面积的扩张做一个合理的预测分析。

(3)通过湖泊面积变化与气象数据的相关性分析,气温的持续升高导致补给河流上游冰川的加速消融可能是造成近40年色林错湖湖面快速扩张的主要因素,风速的降低为次要因素,降水量与日照时数的变化与湖面的面积变化相关性并不明显,并通过对湖区周围的地形分析及整个湖区相对水深分析,进一步证明了湖水扩张的掩盖区域是由湖水水位增高引起,而非人为扰动造成。因此,色林错湖的湖面面积变化在一定程度上可较为真实地反映该区域气候的变化。但影响湖面面积变化的因素很多,关系复杂,今后需进一步深入地探讨和分析湖泊面积时空变化与更多气象数据的耦合关系。

本文只针对色林错单个湖面面积的变化进行了研究,今后需进一步加强对相似气候条件下的湖群面积及湖面高度的对比分析研究。

The authors have declared that no competing interests exist.


参考文献

[1] Aerts R,

Cornelissen J H C, Dorrepaal E. Plant performance in a warmer world: general responses of plants from cold, northern biomes and the importance of winter and spring events

[J]. Plant Ecology, 2006,182(1-2):65-77.

https://doi.org/10.1007/s11258-005-9031-1      Magsci      [本文引用: 1]      摘要

<a name="Abs1"></a>During the past three decades the Earth has warmed with a rate unprecedented during the past 1000 years. There is already ample evidence that this fast climate warming has affected a broad range of organisms, including plants. Plants from high-latitude and high-altitude sites (&#8216;cold biomes&#8217;) are especially sensitive to climate warming. In this paper we (1) review the response in the phenology of plants, changes in their range and distribution, soil nutrient availability, and the effects on the structure and dynamics of plant communities for cold, northern biomes; and (2) we show, by using data from an ongoing snow and temperature manipulation experiment in northern Sweden, that also winter and spring events have a profound influence on plant performance. Both long-term phenological data sets, experimental warming studies (performed in summer or year-round), natural gradient studies and satellite images show that key phenological events are responsive to temperature increases and that recent climate warming does indeed lead to changes in plant phenology. However, data from a warming and snow manipulation study that we are conducting in northern Sweden show that plants respond differently to the various climatic scenarios that we had imposed on these species and that especially winter and spring events have a profound impact. This indicates that it is necessary to include several scenarios of both summer and winter climate change in experimental climate change studies, and that we need detailed projections of future climate at a regional scale to be able to assess their impacts on natural ecosystems. There is also ample evidence that the range shift of herbs and shrubs to more northern regions is for the vast majority of species mainly caused by changes in the climate. This is in line with the observed &#8216;up-greening&#8217; of northern tundra sites. These rapid northern shifts in distribution of plants as a result of climate warming may have substantial consequences for the structure and dynamics of high-latitude ecosystems. An analysis of warming studies at 9 tundra sites shows that heating during at least 3 years increased net N-mineralization from 0.32±0.31 (SE) g N m<sup>&#8722;2</sup> yr<sup>&#8722;1</sup> in the controls to 0.53±0.31 (SE) g N m<sup>&#8722;2</sup> yr<sup>&#8722;1</sup> in the heated plots (<i>p</i>&lt;0.05), an increase of about 70%. Thus, warming leads to higher N availability in high-latitude northern tundra sites, but the variability is substantial. Higher nutrient availability affects in turn the species composition of high-latitude sites, which has important consequences for the carbon and water balance of these systems.
[2] Yu G E, Harrison S P.

Holocene changes in atmospheric circulation patterns as shown by lake status changes in northern Europe

[J]. Boreas, 1995,24(3):260-268.

[本文引用: 1]     

[3] Song C Q, Huang B, Ke L H.

Modeling and analysis of lake water storage changes on the Tibetan Plateau using multi-mission satellite data

[J]. Remote Sensing of Environment, 2013,135:25-35.

https://doi.org/10.1016/j.rse.2013.03.013      URL      Magsci      [本文引用: 2]      摘要

Estimation of the water storage changes in the lakes of the Tibetan Plateau (TP) is essential for an accurate evaluation of climate change in this alpine region and its impact on the surrounding hydrologic environment. Because of the remoteness and poor accessibility of these alpine lakes, and a lack of lake bathymetric data, estimating their mass budget over the TP poses a considerable challenge. However, the integration of optical remote sensing images, satellite altimetry data, and gravimetry data makes it possible to monitor the overall variations in lake water storage in this extensive region. The ICESat/GLAS altimetry data used in this study reveal that most of the lakes in the TP showed a significant upward tendency (0.2-0.6 m/year) in water level between 2003 and 2009, particularly those lakes that are supplied with a large proportion of glacial meltwater. A series of lake area data derived from Landsat MSSaM/ETM + imagery over the past four decades indicate that during the 1970-1990 period most of the lakes experienced severe shrinkage, with only some of those in central and western Tibet undergoing expansion. During the 1990-2011 period, in contrast, the majority of the lakes on the TP displayed a remarkably expansion tendency. The total lake area increased from 35,638.11 km(2) in the early 1970s to 41,938.66 km(2) in 2011. Based on the statistical relationships between the extent of the lake surface area and lake water levels from 2003 to 2009, an empirical model for each of the region's 30 lakes is established to estimate the lake water level from the corresponding area data, thereby reconstructing time series of lake level data for each lake from the 1970s to 2011. Based on time series of lake area and water level data, a time series of lake water volume is also reconstructed. The results show that total lake water storage increased by 92.43 km(3) between the early 1970s and 2011, with lakes with an area larger than 100 km(2) accounting for 77.21% of the total lake water volume budget. Moreover, the GRACE signals confirm a similar spatial pattern in water mass changes, i.e., a significantly positive water mass balance in the north and center of the TP and mass loss in southeastern Tibet and along the Himalayas. The water mass budget (6.81 km(3)/year) derived from satellite gravimetry signals in the Chiangtang Plateau are in good agreement with the estimated rising rate of 6.79 km(3)/year of lake water storage in this region based on the empirical model developed in this study. The mechanism of lake water storage changes is discussed and analyzed with reference to previous studies. (C) 2013 Ersevier Inc. All rights reserved.
[4] 杨日红,于学政,李玉龙.西藏色林错湖面增长遥感信息动态分析[J].国土资源遥感,2004(2):64-67.

https://doi.org/10.3969/j.issn.1001-070X.2003.02.015      URL      [本文引用: 2]      摘要

根据1972年陆地卫星MSS,1992年TM与1999年 ETM+3个时相的遥感数据信息,对西藏色林错湖面增长进行动态分析后,发现近30 a来湖面逐渐扩大,从1 707 km2增大到了1 823 km2.本文分别从气象学、构造地质学及高原隆升等方面分析了湖面扩大的原因.认为很有可能是由于温室效应,使得气温上升,冰雪、冰川融化和冻土软化释放 水注入色林错,进而引起湖面增长.并就其所揭示的环境信息进行了初步探讨.

[ Yang R H, Yu X Z, Li Y L, et al.

The dynamic analysis of remote sensing information for monitoring the expansion of the Selincuo lake in Tibet

[J]. Remote Sensing For Land & Resources, 2004,2:64-67. ]

https://doi.org/10.3969/j.issn.1001-070X.2003.02.015      URL      [本文引用: 2]      摘要

根据1972年陆地卫星MSS,1992年TM与1999年 ETM+3个时相的遥感数据信息,对西藏色林错湖面增长进行动态分析后,发现近30 a来湖面逐渐扩大,从1 707 km2增大到了1 823 km2.本文分别从气象学、构造地质学及高原隆升等方面分析了湖面扩大的原因.认为很有可能是由于温室效应,使得气温上升,冰雪、冰川融化和冻土软化释放 水注入色林错,进而引起湖面增长.并就其所揭示的环境信息进行了初步探讨.
[5] 边多,杨志刚,李林,.

近30年来西藏那曲地区湖泊变化对气候波动的响应

[J].地理学报,2006,61(5):510-518.

Magsci      摘要

<p>根据1975年地形图、20世纪80年代至2005年的TM、CBERS卫星遥感资料和近45年的气温、降水量、蒸发量、最大积雪深度和最大冻土深度等气候资料分析得出,西藏那曲地区东南部的巴木错、蓬错、东错、乃日平错等四个湖泊的水位面积在近30年来呈较显著的扩大趋势,2005年与1975年相比,分别增加了48.2 km<sup>2</sup>、38.2km<sup>2</sup>、19.8 km<sup>2</sup> (比2004年)、26.0 km<sup>2</sup>,增长幅度分别为25.6%、28.2%、16.2%、37.6%。其主要原因与该地区近年来气温的上升、降水量的增加和蒸发量的减少、冻土退化等暖湿化的气候变化有很大关系。</p>

[ Bian D, Yang Z G, Chu D, et al.

The response of lake area change to climate variations in the north Tibetan Plateau during last 30 years

[J]. Acta Geographica Sinica, 2006,61(5):510-518. ]

Magsci      摘要

<p>根据1975年地形图、20世纪80年代至2005年的TM、CBERS卫星遥感资料和近45年的气温、降水量、蒸发量、最大积雪深度和最大冻土深度等气候资料分析得出,西藏那曲地区东南部的巴木错、蓬错、东错、乃日平错等四个湖泊的水位面积在近30年来呈较显著的扩大趋势,2005年与1975年相比,分别增加了48.2 km<sup>2</sup>、38.2km<sup>2</sup>、19.8 km<sup>2</sup> (比2004年)、26.0 km<sup>2</sup>,增长幅度分别为25.6%、28.2%、16.2%、37.6%。其主要原因与该地区近年来气温的上升、降水量的增加和蒸发量的减少、冻土退化等暖湿化的气候变化有很大关系。</p>
[6] 赵元艺,赵希涛,郑绵平,.

西藏班戈错近50年来的湖面变化

[J].地质学报,2006,80(6):876-884.

Magsci      摘要

本文根据大量地形图、遥感图像或遥感数据、连续29个月的水位观测记录、三次水深测量和2003年5 月26日的湖水位高程测量等资料,勾绘了班戈错近50年来的湖岸线变迁和湖面高程变化曲线图。研究表明,自1959 年至2003年9月的近50年间班戈错湖面总体上升,但其间经历了先降后升再略有下降的过程,即自1959年至1973年或稍晚,班戈错一直收缩、湖面下降了0.25 m;自1973年或稍晚至2001年秋,湖面总体上升,其幅度可达1.75 m;其后,湖面又略有下降。班戈错湖面变化的原因难以用其面积较小的流域本身的气温与降水的变化来解释,只能归结为与其有水力联系的母湖色林错流域自1973年起气温的持续上升所引起的主要补给河流扎加藏布源区唐古拉山与巴汝藏布和申扎藏布源区申扎杰岗山的现代冰川的融水释放水量增大使色林错水位上升,因色林错与班戈错之间有一定的水力联系而引起班戈错水位上升。

[ Zhao Y Y, Zhao X T, Zheng M P, et al.

The denivellation of Bankog Co in the past 50 years,Tibet

[J]. Acta Geologica Sinica, 2006,80(6):876-884. ]

Magsci      摘要

本文根据大量地形图、遥感图像或遥感数据、连续29个月的水位观测记录、三次水深测量和2003年5 月26日的湖水位高程测量等资料,勾绘了班戈错近50年来的湖岸线变迁和湖面高程变化曲线图。研究表明,自1959 年至2003年9月的近50年间班戈错湖面总体上升,但其间经历了先降后升再略有下降的过程,即自1959年至1973年或稍晚,班戈错一直收缩、湖面下降了0.25 m;自1973年或稍晚至2001年秋,湖面总体上升,其幅度可达1.75 m;其后,湖面又略有下降。班戈错湖面变化的原因难以用其面积较小的流域本身的气温与降水的变化来解释,只能归结为与其有水力联系的母湖色林错流域自1973年起气温的持续上升所引起的主要补给河流扎加藏布源区唐古拉山与巴汝藏布和申扎藏布源区申扎杰岗山的现代冰川的融水释放水量增大使色林错水位上升,因色林错与班戈错之间有一定的水力联系而引起班戈错水位上升。
[7] 除多,普穷,朱立平,.

近40a 西藏羊卓雍错湖泊面积变化遥感分析

[J].湖泊科学,2012,24(3):494-502.

[ Chu D, Pu Q, LABA Z M, et al.

The denivellation of Bankog Co in the past 50 years,Tibet

[J]. Journal of Lake Sciences, 2012,24(3):494-502. ]

[8] Kutzbach J E, Guetter P J, Ruddiman W F, et al.

Sensitivity of climate to late Cenozoic uplift in southern Asia and the American west: numerical experiments

[J]. Journal of Geophysical Research: Atmospheres (1984-2012), 1989,94(D15):18393-18407.

[9] 闫立娟,齐文.青藏高原湖泊遥感信息提取及湖面动态变化趋势研究[J].地球学报,2015(1):67-76.

[ Yan L J, Qi W.

Lakes in Tibetan Plateau extraction from remote sensing and their dynamic changes

[J]. Acta Geographica Sinica, 2015,1:67-76. ]

[10] 车向红,冯敏,姜浩,.

2000-2013 年青藏高原湖泊面积MODIS遥感监测分析

[J].地球信息科学学报 STIC, 2015,17(1):99-107.

[本文引用: 2]     

[ Che X H, Feng M, Jiang H, et al.

Detection and analysis of Qinghai-Tibet Plateau lake area from 2000 to 2013

[J]. Journal of Geo-information Science, 2015,17(1):99-107. ]

[本文引用: 2]     

[11] 秦伯强.

近百年来亚洲中部内陆湖泊演变及其原因分析

[J].湖泊科学,1999,11(1):11-19.

[本文引用: 1]     

[ Qin B Q.

Spreliminary investigation of lake evolution in 20-century in inland mainland Asia with relation to the global warming

[J]. Journal of Lake Sciences, 1999,11(1):11-19. ]

[本文引用: 1]     

[12] 边多,拉巴,王彩云,.

1975-2008年西藏色林错湖面变化对气候变化的响应

[J].地理学报,2010,65(3):313-319. [ Bian D, La B, Wang C Y, et al. The response of level of Selin Co to climate change during 1975-2008[J]. Acta Geographica Sinica, 2010,65(3):313-319. ]

URL      [本文引用: 3]     

[13] 孟恺,石许华,王二七,.

青藏高原中部色林错湖近10年来湖面急剧上涨与冰川消融

[J].科学通报,2012,57(7):571-579.

https://doi.org/10.1360/csb2012-57-7-571      URL      [本文引用: 1]      摘要

量化了1976~2010年间,特别是2000~2010年间西藏色林错、错鄂及班戈错的湖面面积及湖面海拔高度变化,分析了不同补给方式对湖面变化的影响,为最近10年青藏高原中东部气候变暖所致冰川加速消融提供了新证据.结合差分GPS实测湖面海拔、数字高程模型(DEM)及不同时相(1976~2009年)湖面面积的遥感解译,研究提出:(1)近40年来色林错湖面海拔高度变化过程可分为两个阶段.1976~2000年,色林错湖面海拔缓慢上升4.3m,平均0.18m/a;2000~2010年,湖面急剧上涨8.2m,平均0.82m/a.与色林错近10年湖面海拔的快速增长对比,错鄂和班戈错的湖面上升趋势缓慢且平稳.(2)1976~2009年间,色林错湖面面积变化过程经历了平稳增长→加速增长→平稳增长的变化过程.湖面总体扩大656.64km2,增长幅度为39.4%,特别是1999~2009年间,湖面急剧扩大549.77km2,增长幅度为30.6%.根据气象数据相关性及湖水水位平衡分析,近期气温升高所致上游冰川的加速消融是色林错近10年湖面快速变化的主要因素--冰川融水直接导致色林错湖面上涨约8m,降水量的增加是影响湖面变化的次要因素;而主导班戈错湖面变化的因素是长期降水量的变化,气温的影响是次要因素.

[ Meng K, Shi X H, Wang E, et al.

High-altitude salt lake elevation changes and galcial ablation in central Tibet, 2000-2010

[J]. Chinese Science Bulletin, 2012,57(7):571-579. ]

https://doi.org/10.1360/csb2012-57-7-571      URL      [本文引用: 1]      摘要

量化了1976~2010年间,特别是2000~2010年间西藏色林错、错鄂及班戈错的湖面面积及湖面海拔高度变化,分析了不同补给方式对湖面变化的影响,为最近10年青藏高原中东部气候变暖所致冰川加速消融提供了新证据.结合差分GPS实测湖面海拔、数字高程模型(DEM)及不同时相(1976~2009年)湖面面积的遥感解译,研究提出:(1)近40年来色林错湖面海拔高度变化过程可分为两个阶段.1976~2000年,色林错湖面海拔缓慢上升4.3m,平均0.18m/a;2000~2010年,湖面急剧上涨8.2m,平均0.82m/a.与色林错近10年湖面海拔的快速增长对比,错鄂和班戈错的湖面上升趋势缓慢且平稳.(2)1976~2009年间,色林错湖面面积变化过程经历了平稳增长→加速增长→平稳增长的变化过程.湖面总体扩大656.64km2,增长幅度为39.4%,特别是1999~2009年间,湖面急剧扩大549.77km2,增长幅度为30.6%.根据气象数据相关性及湖水水位平衡分析,近期气温升高所致上游冰川的加速消融是色林错近10年湖面快速变化的主要因素--冰川融水直接导致色林错湖面上涨约8m,降水量的增加是影响湖面变化的次要因素;而主导班戈错湖面变化的因素是长期降水量的变化,气温的影响是次要因素.
[14] 杜鹃,杨太保,何毅.

1990-2011年色林错流域湖泊-冰川变化对气候的响应

[J].干旱区资源与环境,2014,28(12):88-93. [ Du J, Yang T B, He Y, et al. Glaciers and lakes changes and climate response in the Slin Co basin from 1990 to 2011[J]. Journal of Arid Land Resource and Environment, 2014,28(12):88-93. ]

URL      [本文引用: 1]      摘要

基于1990、2000和 2011年3期Landsat影像数据,利用遥感和地理信息系统技术,并结合距离较近的安多、申扎和班戈3个气象站点1966-2011年的气温、降水量 资料对色林错流域的冰川、湖泊面积变化及其对气候变化的响应进行了研究。结果表明:1990-2011年流域冰川面积呈不断减少的趋势,2000年以后冰 川退缩速度明显加快,南部冰川退缩速率大于北部冰川。流域湖泊面积呈不断扩大的趋势,非冰川补给湖泊在整个研究时段内以较为一致的速率扩张,而冰川补给湖 泊的扩张速率远远大于非冰川补给湖泊,且2000年之后扩张速率也明显加快,与冰川的退缩具有很好的耦合性。不同补给方式决定了湖泊变化趋势的差异,气温 的升高与冷季降水的减少是流域内冰川退缩的主要原因,也是冰川补给湖泊面积加快扩张的主要原因。而主导非冰川补给湖泊面积变化的因素是流域内降水量增加和 蒸发量的减少。
[15] 拉巴,陈涛.

基于MODIS 影像的西藏典型内陆湖泊变化研究及成因分析

[J].气象与环境科学,2011,34(3):37-40.

[ La B, Chen T.

Change research and cause analysis of inland lakes in Tibet based on MODIS image

[J]. Meteorological and Environmental Sciences, 2011,34(3):37-40. ]

[16] Meng K, Shi X H, Wang E, et al.

High-altitude salt lake elevation changes and glacial ablation in Central Tibet, 2000-2010

[J]. Chinese Science Bulletin, 2012,57(5):525-534.

https://doi.org/10.1007/s11434-011-4849-5      URL      [本文引用: 1]     

[17] Zhu X L, Chen J, Gao F, et al.

An enhanced spatial and temporal adaptive reflectance fusion model for complex heterogeneous regions

[J]. Remote Sensing of Environment, 2010,114(11):2610-2623.

[本文引用: 7]     

[18] 邵兆刚,朱大岗,孟宪刚,.

青藏高原近25年来主要湖泊变迁的特征

[J]. 地质通报, 2007,26(12):1633-1645.

[本文引用: 1]     

[ Shao Z G, Zhu D G, Meng X G,et al.

Characteristics of the change of major lakes on the Qinghai-Tibet Plateau in the last 25 years

[J]. Geological Bulletin of China, 2007,26(12):1633-1645. ]

[本文引用: 1]     

[19] Bian D, Yang Z G, Li L, et al.

The response of lake area change to climate variations in north Tibetan Plateau during last 30 years

[J]. Acta Geographica Sinica, 2006,5(7):510-518.

[本文引用: 1]     

[20] 王昆,张丽,王志勇,.基于半方差函数的STARFM改进模型[J].测绘科学,2013(3):140-142.

[本文引用: 2]     

[ Wang K, Zhang L, Wang Z Y, et al.

Research of improved STARFM based on spatial structure variation

[J]. Science of Surveying and Mapping, 2013,3:140-142. ]

[本文引用: 2]     

[21] Frazier P S, Page K J.

Water body detection and delineation with Landsat TM data

[J]. Photogrammetric Engineering and Remote Sensing, 2000,66(12):1461-1468.

[本文引用: 1]     

[22] Maier H R, Dandy G C.

Neural networks for the prediction and forecasting of water resources variables: a review of modelling issues and applications

[J]. Environmental modelling & software, 2000,15(1):101-124.

[本文引用: 1]     

[23] Sohn Y, Rebello N S.

Supervised and unsupervised spectral angle classifiers

[J]. Photogrammetric Engineering and Remote Sensing, 2002,68(12):1271-1282.

https://doi.org/10.1016/S0031-0182(02)00531-X      URL      摘要

We report that the cosine of the angle 胃 (spectral angle) can be utilized as a metric for measuring distances in feature space for multispectral image classification and clustering. Due to the invariant nature of the cosine of the angle 胃 to the linearly scaled variations, when two spectra are exactly linearly scaled variations of one another by distance r, the cosine of the angle 胃 becomes zero while spectral distance is scaled by r. The fact that the cosine of the angle 胃 becomes zero when two spectra are exactly linearly scaled variations of one another implies that if we only have spectral patterns that are exactly linearly scaled variations of one another, then we will not be able to define distances between pairs of signatures for classification and clustering. For this reason, the cosine of the angle has never been considered before as a metric for multispectral image classification. According to our study, however, the fact that spectra of the same type of surface objects are approximately linearly scaled variations of one another due to the atmospheric and topographic effects allows the spectral angle to be used as a metric for measuring angular distances in feature space. Our test results indicate that the new spectral angle classifier is robust and provides better results than do the existing major image classifiers. The spectral angle classifiers do not require the data to be normally distributed, and they are insensitive to data variance and the size of the training data set. A major difference between the spectral angle classifier and conventional classifiers (ISODATA, minimum distance, maximum likelihood, decision trees, neural nets, etc.) is that the spectral angle classifier rests on the spectral shape pattern, i.e., the identity of the spectral pattern, while conventional classifiers rest on the statistical distribution pattern. Even though it is true for all the classifiers, especially when the spectral angle classifiers are used, the analyst's ability to relate field information to spectral characteristics and spectral shape patterns of different land-cover/land-use types is an important factor for acquiring accurate and adequate mapping results. We believe that the spectral angle classifier can potentially be one of the most accurate classifiers and a valuable tool for land-cover/land-use mapping using remotely sensed multispectral image data.
[24] Mouchot M C, Alföldi T, De Lisle D, et al.

Monitoring the water bodies of the Mackenzie Delta by remote sensing methods

[J]. Arctic, 1991,44:21-28.

[本文引用: 1]     

[25] 徐涵秋.

利用改进的归一化差异水体指数 (MNDWI) 提取水体信息的研究

[J].遥感学报, 2005,9(5):589-595.

https://doi.org/10.3321/j.issn:1007-4619.2005.05.012      URL      Magsci      [本文引用: 2]      摘要

在对M cfeeters提出的归一化差异水体指数(NDWI)分析的基础上,对构成该指数的波长组合进行了修改,提出了改进的归一化差异水体指数MNDWI(M odified NDWI),并分别将该指数在含不同水体类型的遥感影像进行了实验,大部分获得了比NDWI好的效果,特别是提取城镇范围内的水体。NDWI指数影像因往往混有城镇建筑用地信息而使得提取的水体范围和面积有所扩大。实验还发现MNDWI比NDWI更能够揭示水体微细特征,如悬浮沉积物的分布、水质的变化。另外,MNDWI可以很容易地区分阴影和水体,解决了水体提取中难于消除阴影的难题。

[ Xu H Q.

A study on information extraction of water body with the Modified Normalized Difference Water Index(MNDWI)

[J]. Journal of Remote Sensing, 2005,9(5):589-595. ]

https://doi.org/10.3321/j.issn:1007-4619.2005.05.012      URL      Magsci      [本文引用: 2]      摘要

在对M cfeeters提出的归一化差异水体指数(NDWI)分析的基础上,对构成该指数的波长组合进行了修改,提出了改进的归一化差异水体指数MNDWI(M odified NDWI),并分别将该指数在含不同水体类型的遥感影像进行了实验,大部分获得了比NDWI好的效果,特别是提取城镇范围内的水体。NDWI指数影像因往往混有城镇建筑用地信息而使得提取的水体范围和面积有所扩大。实验还发现MNDWI比NDWI更能够揭示水体微细特征,如悬浮沉积物的分布、水质的变化。另外,MNDWI可以很容易地区分阴影和水体,解决了水体提取中难于消除阴影的难题。
[26] Xu H Q.

Modification of normalised difference water index (NDWI) to enhance open water features in remotely sensed imagery

[J]. International Journal of Remote Sensing, 2006,27(14):3025-3033.

[27] Ouma Y O, Tateishi R.

A water index for rapid mapping of shoreline changes of five East African Rift Valley lakes: An empirical analysis using Landsat TM and ETM+ data

[J]. International Journal of Remote Sensing, 2006,27(15):3153-3181.

[28] 闫霈,张友静,张元.利用增强型水体指数(EWI)和GIS去噪音技术提取半干旱地区水系信息的研究[J].遥感信息,2008(6):62-67.

[ Yan P, Zhang Y J, Zhang Y, et al.

A study on information extraction of water system in semi-arid regions with the Enhanced Water Index(EWI) and GIS based noise remove techniques

[J]. Remote Sensing Information, 2008,6:62-67.]

[29] 丁凤.

基于新型水体指数(NWI)进行水体信息提取的实验研究

[J].测绘科学,2009,34(4):155-157.

[ Ding F.

Study on information extraction of water body with a new water index(NWI)

[J]. Science of Surveying and Mapping, 2009,34(4):155-157. ]

[30] 莫伟华,孙涵,钟仕全,.MODIS水体指数模型(ClWI)研究及其应用[J].遥感信息,2007(5):16-21.

[ Mo W H, Sun H, Zhong S Q, et al.

Research on the CIWI model and its application

[J]. Remote Sensing Information, 2007,5:16-21. ]

[31] McFeeters S K.

The use of the Normalized Difference Water Index (NDWI) in the delineation of open water features

[J]. International Journal of Remote Sensing, 1996,17(7):1425-1432.

URL      [本文引用: 2]     

[32] Tang B H, Shrestha B, Li Z L, et al.

Determination of snow cover from MODIS data for the Tibetan Plateau region

[J]. International Journal of Applied Earth Observation and Geoinformation, 2013,21:356-365.

[本文引用: 1]     

[33] 蒲健辰,姚檀栋,王宁练,.

近百年来青藏高原冰川的进退变化

[J].冰川冻土,2004,26(5):517-522.

Magsci      [本文引用: 1]      摘要

近百年来,青藏高原的冰川虽然出现过两次退缩速率减缓或相对稳定甚至小的前进阶段,但总的过程仍然呈明显的波动退缩趋势.随着全球气候的波动变暖,特别是进入20世纪80年代以来的快速增温,使高原冰川末端在近几十年间出现了快速退缩.以高原东部和南部边缘山地的冰川变化幅度最大,而高原中北部山区和羌塘地区的冰川变化幅度较小,相对比较稳定.显示出青藏高原冰川对气候变化响应的敏感性在边缘山区较中腹地区更为敏感.

[ Pu J C, Yao T D, Wang N L, et al.

Fluctuations of the glaciers on the Qinghai-Tibetan Plateau during the past century

[J]. Journal of Glaciology and Geocryology, 2004,26(5):517-522. ]

Magsci      [本文引用: 1]      摘要

近百年来,青藏高原的冰川虽然出现过两次退缩速率减缓或相对稳定甚至小的前进阶段,但总的过程仍然呈明显的波动退缩趋势.随着全球气候的波动变暖,特别是进入20世纪80年代以来的快速增温,使高原冰川末端在近几十年间出现了快速退缩.以高原东部和南部边缘山地的冰川变化幅度最大,而高原中北部山区和羌塘地区的冰川变化幅度较小,相对比较稳定.显示出青藏高原冰川对气候变化响应的敏感性在边缘山区较中腹地区更为敏感.
[34] 金会军,李述训,王绍令,.

气候变化对中国多年冻土和寒区环境的影响

[J].地理学报, 2000,55(2):161-173.

[ Jin H J, Li S X, Wang S L, et al.

Impacts of climatic change on permafrost and cold region environments in China

[J]. Acta Geographica Sinica, 2000,55(2):161-173. ]

[35] 鲁安新,姚檀栋,刘时银,.

青藏高原各拉丹冬地区冰川变化的遥感监测

[J].冰川冻土, 2002,24(5):559-562.

Magsci      摘要

以位于青藏高原长江源头的各拉丹冬地区冰川为例, 利用2000年的TM数字遥感影像资料、 1969年的航空相片遥感资料、地形图及数字地形模型, 通过遥感图像处理和分析提取研究区小冰期最盛期(LIA)、 1969年和2000年的冰川范围, 并在地理信息系统技术支持下分析该地区冰川的进退情况. 研究结果表明, 该地区1969年冰川面积比小冰期最盛期的冰川面积减少了5.2%, 2000年的冰川面积比1969年的冰川面积减少了1.7%. 从1969年到2000年最大冰川退缩速度为-1.5 m&#183;a<sup>-1</sup>, 最大冰川前进速度为+21.9 m&#183;a<sup>-1</sup>. 本区的冰川基本处于稳定状态, 冰川退缩的速度不是太大, 并有前进的冰川存在.

[ Lu A X, Yao T D, Liu S Y, et al.

Glacier change in the Geladandong area of the Tibetan Plateau monotored by remote sensing

[J]. Journal of Glaciology and Geocryology, 2002,24(5):559-562. ]

Magsci      摘要

以位于青藏高原长江源头的各拉丹冬地区冰川为例, 利用2000年的TM数字遥感影像资料、 1969年的航空相片遥感资料、地形图及数字地形模型, 通过遥感图像处理和分析提取研究区小冰期最盛期(LIA)、 1969年和2000年的冰川范围, 并在地理信息系统技术支持下分析该地区冰川的进退情况. 研究结果表明, 该地区1969年冰川面积比小冰期最盛期的冰川面积减少了5.2%, 2000年的冰川面积比1969年的冰川面积减少了1.7%. 从1969年到2000年最大冰川退缩速度为-1.5 m&#183;a<sup>-1</sup>, 最大冰川前进速度为+21.9 m&#183;a<sup>-1</sup>. 本区的冰川基本处于稳定状态, 冰川退缩的速度不是太大, 并有前进的冰川存在.
[36] 李林,朱西德,汪青春,.青海高原冻土退化的若干事实揭示[J].冰川冻土,2005(3):320-328.

[ Li L, Zhu X D, Wang Q C, et al.

Mapping and analyses of permafrost change in the Qinghai Plateau using GIS

[J]. Journal of Glaciology and Geocryology, 2005,3:320-328. ]

[37] 鲁安新,姚檀栋,王丽红,.

青藏高原典型冰川和湖泊变化遥感研究

[J].冰川冻土,2005,27(6):783-792.

Magsci      [本文引用: 1]      摘要

青藏高原冰川和湖泊变化是气候变化敏感的指示器,利用地形图、航空照片、TM卫星遥感资料和其它相关研究文献资料,分析了青藏高原典型地区的冰川和湖泊变化情况.结果表明:1960-2000年期间,在气温上升、降水增加、最大可能蒸散降低的背景下,研究区内不同地区湖泊的面积变化存在比较大的空间差异.以冰川融水为主要补给的纳木错和色林错地区的主要湖泊以扩大为主,而以降水为主要补给的黄河源地区的主要湖泊则基本上全面萎缩.研究区的冰川在1960-2000年期间以退缩为主,但各地退缩的幅度有较大的差异.

[ Lu A X, Yao T D, Wang L H, et al.

Study on the fluctuations of typical glaciers and lakes in the Tibetan Plateau using remote sensing

[J]. Journal of Glaciology and Geocryology, 2005,27(6):783-792. ]

Magsci      [本文引用: 1]      摘要

青藏高原冰川和湖泊变化是气候变化敏感的指示器,利用地形图、航空照片、TM卫星遥感资料和其它相关研究文献资料,分析了青藏高原典型地区的冰川和湖泊变化情况.结果表明:1960-2000年期间,在气温上升、降水增加、最大可能蒸散降低的背景下,研究区内不同地区湖泊的面积变化存在比较大的空间差异.以冰川融水为主要补给的纳木错和色林错地区的主要湖泊以扩大为主,而以降水为主要补给的黄河源地区的主要湖泊则基本上全面萎缩.研究区的冰川在1960-2000年期间以退缩为主,但各地退缩的幅度有较大的差异.

/