地球信息科学学报  2017 , 19 (2): 161-166 https://doi.org/10.3724/SP.J.1047.2017.00161

地球信息科学理论与方法

基于光滑粒子流体动力学算法的海浪建模仿真研究

李婷1, 季民1**, 靳奉祥2, 张静1, 孙勇1

1. 山东科技大学测绘科学与工程学院,青岛 266590
2. 山东建筑大学,济南 250101

Research on Ocean Wave Simulation Based on the Method of Combining Smoothed Particle Hydrodynamics with Marching Cubes Algorithm

LI Ting1, JI Min1*, JIN Fengxiang2, ZHANG Jing1, SUN Yong1

1. Geomatics College, Shandong University of Science and Technology, Qingdao 266590, China
2. Shandong Jianzhu University, Jinan 250101, China

通讯作者:  *通讯作者:季民(1970-),男,山东齐河人,博士,教授,主要从事地理信息系统设计与开发。E-mail: jamesjimin@126.com

收稿日期: 2016-02-18

修回日期:  2016-08-9

网络出版日期:  2017-02-28

版权声明:  2017 《地球信息科学学报》编辑部 《地球信息科学学报》编辑部 所有

基金资助:  国家自然科学基金项目(41471330)国家自然科学基金青年科学基金项目(41401439)高等学校博士学科点专项科研基金项目(20113718110001)

作者简介:

作者简介:李婷(1982-),女,山东聊城人,博士生,主要从事海洋时空数据建模及可视化研究。E-mail: liting_sdust@126.com

展开

摘要

针对传统海浪建模方法中存在海洋表面真实感差、计算复杂的问题,本文进行了基于光滑粒子流体动力学算法(SPH)与移动立方体算法(MC)相结合的海浪建模仿真研究。通过基于空间网格的粒子分配,建立了粒子群单向列表存储结构,在海浪粒子物理量计算时,实现了其光滑核半径内粒子群的快速检索,并基于拉格朗日流体控制方程,进行了海浪粒子受力分析及状态计算;在模拟海浪与环境障碍物碰撞时,将碰撞问题简化为粒子在一定时间段内所经过的路径与障碍物表面三角面片是否相交来进行判定,并假设粒子为理想刚体,采用改进的欧拉方法实现了粒子新位置的动态计算;为增强海浪流体模拟的真实感,在移动立方体节点密度动态计算基础上,依据确定的海浪表面密度阈值,耦合MC算法进行了海浪表面的动态提取,从而实现了海浪三维表面建模与动态演变仿真。通过模拟验证了该算法的时效性与可行性,可为海洋环境信息三维可视化提供一定的参考。

关键词: 光滑粒子流体动力学 ; 移动立方体算法 ; 海浪仿真 ; 粒子系统 ; 网格分析

Abstract

Traditional algorithms for modeling sea waves have some problems such as poor ocean surface realistic simulation and complicated calculation procedures. In order to solve these problems, this study presented a new sea wave simulation method which combines the Smoothed Particle Hydrodynamics (SPH) algorithm with the Marching Cubes (MC) algorithm. Based on space lattices, particles were allotted into different cubes and we established one way list structure for particle swarms storing and realized fast searching for particles within the smooth core radius in the calculation procedures of wave particle physics such as velocity, accelerator, position and so on. The force of the wave particle is generally composed of three parts: gravity, pressure gradient force and viscous force. Pressure gradient force is generated by the pressure difference between the fluid. Viscous force is caused by the velocity difference between the particles. According to this analysis of particle force, this study gave the Lagrange fluid control equation used for the accelerator calculation of ocean particles. In order to simulate the collision between particles and coastal barriers, we modeled the barrier surface as TIN (Triangular Irregular Network) and simplified the collision detection as whether the particle path passed through the triangle interface within a certain time. Assuming the particle as ideal rigid body, this study introduced an acceleration variation coefficient to calculate the particle's velocity after bouncing and improved the Euler equation by using the average velocity to calculate the particle's new position. In order to enhance the realistic simulation of the ocean wave fluid at the particle allotting time in the machine cube, this study calculated the density for each cube node dynamically. Through setting the threshold of sea surface density, we also extracted the wave surface dynamically by using linear interpolation method to generate triangular irregular network and realized the ocean waves 3D surface modeling and dynamic simulation. Through simulating, it verified the effectiveness and feasibility of this algorithm and could provide certain reference for ocean environmental modeling and virtual visualization.

Keywords: smoothed particle hydrodynamics ; marching cubes ; sea wave simulation ; particle system ; cube analysis

0

PDF (3437KB) 元数据 多维度评价 相关文章 收藏文章

本文引用格式 导出 EndNote Ris Bibtex

李婷, 季民, 靳奉祥, 张静, 孙勇. 基于光滑粒子流体动力学算法的海浪建模仿真研究[J]. , 2017, 19(2): 161-166 https://doi.org/10.3724/SP.J.1047.2017.00161

LI Ting, JI Min, JIN Fengxiang, ZHANG Jing, SUN Yong. Research on Ocean Wave Simulation Based on the Method of Combining Smoothed Particle Hydrodynamics with Marching Cubes Algorithm[J]. 地球信息科学学报, 2017, 19(2): 161-166 https://doi.org/10.3724/SP.J.1047.2017.00161

1 引言

地球表面约70%的面积是海洋[1],而海浪是一个非常复杂的海洋现象,尺度跨度大并且运动不规律。由于所受力的复杂性及波动不规则性等特殊的行为特征,海浪运动模拟一直是海洋仿真研究的重点和难点之一。经过近几十年的研究发展,目前关于海浪模拟的建模技术主要包括几何模型法、动力模型法、海浪谱法、Perlin噪声法、流体力学模型法等[2-10]。① 几何模型法根据海浪的几何形态,采用曲线或曲面进行海浪几何建模,主要包括了凹凸纹理映射法、高度场法、Gerstner-Rankine模型法以及随机风场建模法等[11-13],该方法模型最简单、计算量小、实时性好,比较适合模拟大面积海面,但生成的海洋表面真实感差;② 动力模型法从运动的角度模拟海浪,注重海浪水粒子或空间划分单元的运动,比较有代表性的是细胞自动机和粒子系统,该方法模型相对简单、实时性较好、具有广阔的应用空间,但海表面真实感一般;③ 海浪谱法采用适当的海浪谱反演方法模拟海浪,目前常用线性迭代法进行反演,即将海浪视为由多个不同振幅不同角频率和不同随机相位的波叠加而成,该方法模型较复杂,适合实时虚拟海浪的生成,海洋表面具有一定真实性,但生成海浪的波峰比较圆滑,只是比较适合平静海面的表达;④ Perlin噪声法主要通过不同频率的噪声函数来构造海面高度场,该方法计算较复杂、效率较低,只适合描述较小范围的海域;⑤ 流体力学模型法通过求解流体动力学方程来模拟海水内部各水粒子的运动,从而生成波浪,而不直接模拟波的运动,该方法设计的海水运动符合现实中的物理规律,能够保障海浪场景的真实感,因此具有广阔的应用前景。

本文既采用基于光滑粒子的流体动力学法(Smoothed Particle Hydrodynamics,SPH),将粒子系统与物理模型结合,通过基于移动立方体的粒子分配与链表存储,实现了支持域内粒子群的快速检索与状态计算,并基于移动立方体算法(Marching Cubes,MC),进行了海浪运动自由表面的抽取,实现了海浪场的表面建模。

2 SPH及MC算法原理

2.1 SPH算法原理

SPH方法的基本原理是将连续的流体散化为相互作用的粒子质点[14],各个粒子质点上承载质量、速度、密度等物理量,通过求解质点组的动力学方程和跟踪每个粒子的运动轨迹,求得整个系统的力学行为。该方法是一种基于物理的拉格朗日算法,通过一系列粒子质点的“核函数估值”将流体力学基本方程组转换成数值计算用的公式[15-18]。其核心是插值,通过对研究粒子一定的光滑长度范围内其他临近粒子质点连续物理量影响程度的权函数插值得到。如图1所示,所有的粒子都使用统一的光滑核半径,而且都具有质量、密度、速度、加速度、位置等属性,这些物理量的计算如式(1)所示。

As(r)=AjmjpjW(r-rj,h)(1)

式中:Aj是粒子属性;mj是粒子质量;pj是粒子密度;rj是粒子位置;h是光滑核半径;W为光滑核函数。

图1   光滑核函数影响域内的粒子示意图

Fig. 1   Particles in the influence region ofsmooth kernel function

由于SPH方法粒子质点之间不存在网格关系,可避免因变形引起的网格扭曲问题,因此比较适合求解海浪表达中的碰撞、破碎、飞溅、浪花等动态变形问题。但粒子系统很难构造出平滑的海浪表面,降低了海浪模拟的仿真度,为此本文通过耦合改进的MC算法来构建平滑的海浪表面。

2.2 MC算法原理

MC算法最早由W.E Lorenson等提出,其本质是将三维数据场中具有某阈值的物质提取出来,然后以某种拓扑形式连接成多边形,属于体素单元内抽取等值面的技术之一[19-20]。其基本原理是将整个三维数据空间进行网格化,形成独立的三维立方体单元,每个体元的8个顶点均具有对应的属性值,根据选定的等值面属性阈值,分别插值计算体元12条边界与等值面的交点,按照指定的规则连接相应的交点构建体元内部的多变形面片,从而实现体元的分隔,将所有体元分隔的多边形面片连接在一起,即可实现等值面的抽取。

3 基于SPH与MC耦合算法的海浪场建模

SPH算法通过求解流体动力学方程,在微观尺度下,用一组粒子代替流体来模拟海浪运动,为了同时满足海浪表面的平滑建模,结合改进的MC算法,以水面密度值为阈值进行海浪表面提取与渲染,具体算法过程包括:海浪粒子初始化、粒子受力分析、粒子碰撞检测、水密度等值面提取、海浪表面渲染等。

图2   空间网格划分模式

Fig. 2   Spatial mesh model

3.1 基于空间网格的粒子分配与查找

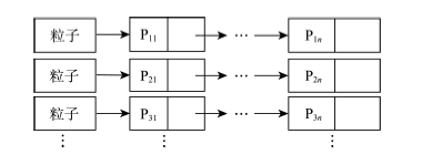
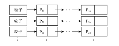
为了实现计算效率与仿真效果的平衡,本文在进行海浪粒子初始化时,粒子间距依据所模拟的空间尺度而动态调整,宏观场景下放宽粒子间距,微观场景下缩小间距,当海浪粒子初始化完成之后,海浪粒子以随机状态均匀分布在定义空间内。为了快速定位某空间位置周围的粒子,需对粒子群分布空间进行网格化(图2),网格大小也需依据所模拟场景的空间尺度进行动态确定,在进行粒子属性值和受力状态分析时,通过该粒子支持域内的其他粒子的插值而得到,粒子支持域由核函数的光滑核半径决定。通过这种空间网格化方式,在进行邻域粒子搜索时,不必进行粒子群的全局搜索,只需提取当前粒子所在网格的邻域网格内的粒子参与运算即可,从而大幅减少了粒子搜索运算量。由于粒子运动的时变特征,每帧运算之前均进行空间网格的重新划分及对粒子重新分配所属网格。由于网格内的粒子是由前一时刻计算所得,是随机分布状态,为便于同网格内的粒子检索,本文设计了粒子存储的单向链表结构(图3)。同一网格内的粒子通过指针变量链接在同一个单向链表中,粒子链接时,依据距离最近原则进行指针链接,整个粒子群存储在一个粒子结构体数组中。

图3   各网格内的粒子链表结构

Fig. 3   Structure of particles list in each cube

3.2 海浪粒子受力分析及状态计算

海浪粒子的状态更新取决于粒子速度、位置等属性的变化,而这些属性的变化取决于粒子加速度的改变,而加速度的改变由作用在粒子上的力引起。海浪粒子的受力一般由3部分组成:重力、压强梯度力和粘滞力。其中,压强梯度力由流体内部的压力差而产生,方向由压力高的区域指向压力低的区域;粘滞力是由粒子间的速度差而引起,速度较快的粒子会施加剪切力作用到速度较慢的粒子,它主要跟流体粘滞系数μ和粒子间的速度差有关。针对单独的流体粒子,仍然遵循最基本的牛顿第二定律,在SPH算法中,流体的密度决定了流体单元的质量,一般用密度代替质量,因此粒子遵循的牛顿第二定律公式可变换为式(2)。

F=ρa(2)

根据上述海浪粒子受力分析,由式(2)可得到式(3)所示的拉格朗日流体控制方程。

ρdudt=ρg-p+μ2u(3)

式中: u为海浪粒子的运动速度; ρg为重力; ρ表示水粒子的密度; p为压强梯度力;p为粒子受到的压力; 为是哈密顿算子; μ2u为粘滞力;μ表示流体粘滞系数。

利用式(1)在进行海浪粒子密度计算的基础上,根据拉格朗日流体控制方程及SPH的核函数即可计算海浪粒子的受力状态及各个力产生的加速度变化,从而计算出海浪粒子的速度及位置。

3.3 海浪粒子与障碍物的碰撞检测

为实现海浪的仿真模拟必须考虑海浪与环境障碍物(海岸及海上建筑物、海岛礁等)之间的碰撞问题。海浪由大量粒子组成,而障碍物的边界可由多个三角形或者四边形构成的多边形集合来描述。因此,海浪与障碍物的碰撞检测可以转化为粒子与三角面片的碰撞检测。进一步可用粒子在一定时间段内所经过的路径是否与多边形相交来进行检测。具体计算流程如图4所示。

图4   粒子与障碍物的碰撞检测流程

Fig. 4   Collision detection process betweenparticles and obstacles

在碰撞检测时,将粒子看成是理想刚体,在与障碍物碰撞反弹后,考虑到碰撞产生的消耗。通过引入加速度变化系数,改进欧拉算法,运用初时刻与终时刻的速度均值进行粒子新位置的计算。

3.4 基于网格分析的粒子群表面建模

由于仅通过粒子群进行海浪动态模拟的真实感较差,而密度是海浪粒子的一个重要属性,通过比较密度值的大小可确定海浪与大气环境之间的交界面,即海浪的自由运动表面,再附以光照效果,即可完成海浪表面的真实感绘制。为此,本文提出了基于SPH与MC耦合的粒子群表面建模算法。该算法在进行基于空间网格的粒子群分配时,将立体网格的节点作为海浪场的采样点,利用SPH密度插值公式计算生成规则分布的海浪密度场数据;然后依据确定的海浪表面密度阈值,根据MC算法计算筛选海浪表面将要穿过的立方体元,并通过线性插值实现体元边界交点的计算;最后,按照Delaunay规则连接同一体元上的截面点构建三角面片,从而实现海浪表面的建模与渲染。

4 海浪模拟仿真试验

为了验证SPH与MC耦合算法的可行性与运行效率,借助OpenGL的实用工具包GLUT进行了海浪模拟仿真试验,采用的主机CPU为酷睿2四核2.83 GHz、内存3.5 GB、显存1 GB。在300 m×1000 m的尺度空间下分别构造了3个粒子群,其粒子数分别为3000、6000和9000(图5)。经试验运行,3种不同粒子群数目下的场景的帧速分别为29、11和10 帧/秒。试验中,随着粒子数目的增加,从3000粒子到6000粒子,海浪流动模拟的速度明显降低,而从6000粒子到9000粒子,速度降低不明显。但是9000粒子情况下的海浪场景模拟不仅能够表现海浪的连续运动,而且可实现障碍物前方的流体堆积以及障碍物后方的淹没效果的仿真模拟,相比于6000粒子情况,性能没有明显降低,但取得了最佳的模拟效果。

图5   海浪模拟仿真

Fig. 5   Ocean wave simulation

5 结论

本文基于SPH算法进行水粒子动态模拟的优势,通过动态空间网格划分,提高了水粒子流体动力学方程解算过程中加速度、速度的计算效率,并采用改进的欧拉方法,提高了粒子位置的计算精度;同时,耦合MC算法进行表面建模的优势,采用基于网格分析的粒子群表面建模方法,实现了海浪场景的动态虚拟仿真。本文研究思路综合考虑了计算效率与仿真效果,可根据海浪场景模拟的尺度进行粒子间距及网格尺寸的动态确定,既可以结合MC算法实现中小尺度下的海浪表面场仿真,也可以基于SPH算法通过加密粒子群数量及细化网格实现微观尺度下海浪的破碎模拟。与单纯粒子建模和MC表面建模相比,本文仿真模拟的海浪尺度空间更宽泛、适用度更广,尤其对于实用化的海洋环境信息三维可视化平台构建具有更重要的参考价值。

The authors have declared that no competing interests exist.


参考文献

[1] 李德仁,姚远,邵振峰.

海岛礁及周边复杂环境动态三维建模

[J].武汉大学学报·信息科学版,2012,37(11):1261-1265.

URL      [本文引用: 1]      摘要

对海岛礁及周边包括海浪、潮汐、潮流、温度等在内的复杂环境要素 及其特点进行了分析。针对海洋复杂要素的特点,提出了适用于海洋高动态的面向可细分对象的时空数据模型,能够有效地对高动态及交互性较强的对象进行建模。 以舟山群岛附近海域为例,对海岛礁及周边复杂环境进行了动态三维建模,并在Geoglobe等平台上进行了验证。实验表明,该模型对海岛礁及周边复杂环境 建模有较好的实用性。

[ Li D R, Yao Y, Shao Z F.

Dynamic 3D modeling of island, reef and surrounding complex environment

[J]. Geomatics and Information Science of Wuhan University, 2012,37(11):1261-1265. ]

URL      [本文引用: 1]      摘要

对海岛礁及周边包括海浪、潮汐、潮流、温度等在内的复杂环境要素 及其特点进行了分析。针对海洋复杂要素的特点,提出了适用于海洋高动态的面向可细分对象的时空数据模型,能够有效地对高动态及交互性较强的对象进行建模。 以舟山群岛附近海域为例,对海岛礁及周边复杂环境进行了动态三维建模,并在Geoglobe等平台上进行了验证。实验表明,该模型对海岛礁及周边复杂环境 建模有较好的实用性。
[2] Gary A M, Peter A W, John F M.

Fourier synthesis of ocean scene

[J]. IEEE Computer Graphics and Application, 1987,7(3):16-23.

https://doi.org/10.1109/MCG.1987.276961      URL      [本文引用: 1]      摘要

Considerable interest in scene synthesis has focused on fractal techniques such as 1/f noise filtering. However, these techniques produce poor synthetic ocean scenes. A superior technique is presented here that used an empirical sea spectrum model to represent a fully developed sea in nautre. A computer program has been written whereby a user supplies a wind velocity, and a two-dimensional Fourier-domain filter is created whose shape is decribed by the modified Pierson-Moskowitz spectrum. A white-noise image can then be filtered and rendered with a ray-tracing algorithm to produce a realistic ocean scene. Wave motion may be invoked by manipulating teh phase of the Fourier-transormed white-noise image. Several phase-manipulating techniques have been implemented.
[3] 李昭.

虚拟海洋环境时空数据建模与可视化服务研究

[D].杭州:浙江大学,2010.

[ Li Z.

Virtual marine environment spatio-temporal data modeling and service for visualization

[D]. Hangzhou: Zhejiang University, 2010. ]

[4] 黄杰.

海洋环境综合数据时空建模与可视化研究

[D].杭州:浙江大学,2008.

[ Huang J.

Research on modeling and visualization of marine environment spatio-temporal data

[D]. Hangzhou: Zhejiang University, 2008. ]

[5] 丁绍洁.

虚拟海洋环境生成及场景特效研究

[D].哈尔滨:哈尔滨工程大学,2008.

[ Ding S J.

Research on generating technique of virtual ocean environment and special effects

[D]. Harbin: Harbin Engineering University, 2008. ]

[6] 邹建武,祝明波,董巍.

海浪建模方法综述

[J].舰船电子工程,2010,30(11):10-14.

https://doi.org/10.3969/j.issn.1627-9730.2010.11.004      URL      摘要

海浪建模作为海浪模拟的重要组成部分,直接影响海浪模拟的逼真度和效率.侧重于虚拟现实和海面回波仿真的角度对海浪建模进行综述.介绍了海浪的形成过程;详细总结了海浪建模的主要方法及其优缺点;并对今后海浪建模技术的研究重点进行了预测.

[ Zou J W, Zhu M B, Dong W.

An overview of ocean wave modeling

[J]. Ship Electronic Engineering, 2010,30(11):10-14. ]

https://doi.org/10.3969/j.issn.1627-9730.2010.11.004      URL      摘要

海浪建模作为海浪模拟的重要组成部分,直接影响海浪模拟的逼真度和效率.侧重于虚拟现实和海面回波仿真的角度对海浪建模进行综述.介绍了海浪的形成过程;详细总结了海浪建模的主要方法及其优缺点;并对今后海浪建模技术的研究重点进行了预测.
[7] 李苏军,蒋杰,杨冰,.

基于球面的海浪建模与绘制技术研究

[J].中国图象图形学报,2009,14(4):744-752.

https://doi.org/10.11834/jig.20090428      URL      摘要

由于传统的海浪建模与绘制方法多是基于平面进行建模与绘制,较少细致考虑球面曲率对海浪建模和绘制的影响,因此无法在球形表面绘制出海浪在不同条件下形状、色泽等的变化。为了实现无界海洋的虚拟自由漫游,提出了一种考虑球面影响的、任意视点下的海浪建模与绘制方法,其核心是球面海洋模型和屏幕细分的自适应算法,同时基于海洋学知识以及解析几何和数字地球特点,首先解决和消除了模型生成中存在的计算量大和高纬度"压缩现象"等问题,并建立了球面海浪模型;然后,依靠可逐点计算的海浪生成模型,利用屏幕细分自适应算法将计算限制在与视点相关的可视球面海洋区域,并使几何分辨率依视点变化;接着采用"夹球"技术,解决了海面生成中存在的"边缘裂缝"现象;最后,采用GPU技术绘制出不同观察距离和方向下的真实感海浪场景,进而实现了用户在无界海洋上的自由漫游。

[ Li S J, Jiang J, Yang B, et al.

Research on sphere based modeling and rendering of ocean waves

[J]. Journal of Image and Graphics, 2009,14(4):744-752. ]

https://doi.org/10.11834/jig.20090428      URL      摘要

由于传统的海浪建模与绘制方法多是基于平面进行建模与绘制,较少细致考虑球面曲率对海浪建模和绘制的影响,因此无法在球形表面绘制出海浪在不同条件下形状、色泽等的变化。为了实现无界海洋的虚拟自由漫游,提出了一种考虑球面影响的、任意视点下的海浪建模与绘制方法,其核心是球面海洋模型和屏幕细分的自适应算法,同时基于海洋学知识以及解析几何和数字地球特点,首先解决和消除了模型生成中存在的计算量大和高纬度"压缩现象"等问题,并建立了球面海浪模型;然后,依靠可逐点计算的海浪生成模型,利用屏幕细分自适应算法将计算限制在与视点相关的可视球面海洋区域,并使几何分辨率依视点变化;接着采用"夹球"技术,解决了海面生成中存在的"边缘裂缝"现象;最后,采用GPU技术绘制出不同观察距离和方向下的真实感海浪场景,进而实现了用户在无界海洋上的自由漫游。
[8] 王相海,李婷婷.

基于几何建模的海浪模拟

[J].计算机科学,2011,38(10):259-262.

https://doi.org/10.3969/j.issn.1002-137X.2011.10.061      URL      摘要

提出一种基于几何的快速海浪建模方法,即将人眼对海浪的观察感知结合到对海平面网格的区域剖分中,对人眼不敏感区域进行网格粗剖分,而对人眼敏感区域进行网格细剖分,进一步对不同区域采用不同的数学函数或不同的参数控制来模拟海浪的涌动,同时通过设置相应的随机过程来增加敏感区域海浪的细节运动模拟。所提出的方法具有实现简单、计算消耗小、算法易于实现等优点,可满足游戏、动画等应用场景对海浪背景的实时性要求。仿真试验结果验证了模型的有效性。

[ Wang X H, Li T T.

Wave simulation based on geometric modeling

[J]. Computer Science, 2011,38(10):259-262. ]

https://doi.org/10.3969/j.issn.1002-137X.2011.10.061      URL      摘要

提出一种基于几何的快速海浪建模方法,即将人眼对海浪的观察感知结合到对海平面网格的区域剖分中,对人眼不敏感区域进行网格粗剖分,而对人眼敏感区域进行网格细剖分,进一步对不同区域采用不同的数学函数或不同的参数控制来模拟海浪的涌动,同时通过设置相应的随机过程来增加敏感区域海浪的细节运动模拟。所提出的方法具有实现简单、计算消耗小、算法易于实现等优点,可满足游戏、动画等应用场景对海浪背景的实时性要求。仿真试验结果验证了模型的有效性。
[9] 李永进,金一丞,任鸿翔,.

基于物理模型的近岸海浪建模与实时绘制

[J].中国图象图形学报,2010,15(3):518-523.

https://doi.org/10.11834/jig.20100325      URL      摘要

提出一种可以逼真地模拟大面积近岸海浪的方法。首先利用Boussinesq类方程求得指定 海域一段时间内的海面运动序列;然后通过对此序列进行重建,得到“无限”长的海面运动序列;最后把相应的海面高度场作为顶点纹理进行绘制。在绘制时采用视 点相关的海面网格,达到实时绘制的效果。实验表明,该方法模拟的大面积近岸海浪真实感强,绘制速度快,适合于实时仿真应用。

[ Li Y J, Jin Y C, Ren H X, et al.

Based modeling and real-time rendering of near-shore waves

[J]. Journal of Image and Graphics Physically, 2010,15(3):518-523. ]

https://doi.org/10.11834/jig.20100325      URL      摘要

提出一种可以逼真地模拟大面积近岸海浪的方法。首先利用Boussinesq类方程求得指定 海域一段时间内的海面运动序列;然后通过对此序列进行重建,得到“无限”长的海面运动序列;最后把相应的海面高度场作为顶点纹理进行绘制。在绘制时采用视 点相关的海面网格,达到实时绘制的效果。实验表明,该方法模拟的大面积近岸海浪真实感强,绘制速度快,适合于实时仿真应用。
[10] 皮学贤,杨旭东,李思昆,.

近岸水域的波浪与水面仿真

[J].计算机学报,2007,30(2):324-329.

https://doi.org/10.3321/j.issn:0254-4164.2007.02.021      URL      [本文引用: 1]      摘要

近岸水域由于受地形的影响,其波动呈现出与地形等高线垂直的趋势.已有的海面仿真与绘制算法 未能实现近岸水域的逼真模拟.文中通过对方向频率谱模型的分析,提出了波浪方向分布函数的分解模型;在已有的基于多分辨率网格和噪声分形面的海面仿真算法 框架下,实现了深海水域到近岸水域的过渡以及近岸水域的模拟.实验表明,该方法适合大规模自然场景应用中的水域仿真,其绘制效果逼真性好,绘制速度较快 (50FPS以上),能满足交互式应用的需求.

[ Pi X X, Yang X D, Li S K, et al.

Simulation of wave and water surface near the seashore

[J]. Chinese Journal of Computers, 2007,30(2):324-329. ]

https://doi.org/10.3321/j.issn:0254-4164.2007.02.021      URL      [本文引用: 1]      摘要

近岸水域由于受地形的影响,其波动呈现出与地形等高线垂直的趋势.已有的海面仿真与绘制算法 未能实现近岸水域的逼真模拟.文中通过对方向频率谱模型的分析,提出了波浪方向分布函数的分解模型;在已有的基于多分辨率网格和噪声分形面的海面仿真算法 框架下,实现了深海水域到近岸水域的过渡以及近岸水域的模拟.实验表明,该方法适合大规模自然场景应用中的水域仿真,其绘制效果逼真性好,绘制速度较快 (50FPS以上),能满足交互式应用的需求.
[11] 李苏军,杨冰,吴玲达.基于Gerstner-Rankine模型的真实感海洋场景建模与绘制[J].工程图学学报,2008(2):77-82.

https://doi.org/10.3969/j.issn.1003-0158.2008.02.013      URL      [本文引用: 1]      摘要

通过对国内外典型的海浪建模和 绘制方法的研究,提出一种新的海浪模拟方法。该方法基于Gerstner-Rankine模型,引入概率统计思想,建立包括波浪折射在内的海浪模型,并采 用基于立方体映射的方法实时计算海洋表面纹理,生成了真实感较强的海浪效果,再现了海天一体化场景。实验结果表明能满足数字化海战场环境的逼真性和实时性 需求。

[ Li S J, Yang B, Wu L D.

Modeling and rendering of ocean scene based on Gerstner-Rankine model

[J]. Journal of Engineering Graphics, 2008,2:77-82. ]

https://doi.org/10.3969/j.issn.1003-0158.2008.02.013      URL      [本文引用: 1]      摘要

通过对国内外典型的海浪建模和 绘制方法的研究,提出一种新的海浪模拟方法。该方法基于Gerstner-Rankine模型,引入概率统计思想,建立包括波浪折射在内的海浪模型,并采 用基于立方体映射的方法实时计算海洋表面纹理,生成了真实感较强的海浪效果,再现了海天一体化场景。实验结果表明能满足数字化海战场环境的逼真性和实时性 需求。
[12] Foster N, Metaxas D.

Modeling water for computer animation

[J]. Commun ACM, 2000,43(7):60-67.

https://doi.org/10.1145/341852.341864      URL      摘要

Abstract The article focuses on cognitive modeling for games and animation The article focuses on modeling water for computer animation. An ongoing goal for computer graphics is to provide tools not only for the artistic rendition of our physical world but for re-creating as much of our world in as realistic a way as possible. The reasons for wanting greater physical realism vary depending on the application. Modeling physics on a computer and visualizing the results using graphics techniques can lead to complex pictures as dazzling as the real-world phenomena they are intended to represent, especially for such fluid effects as the motion of water, fire, and smoke. Mechanical engineers and physicists have been modeling the behavior of liquids on computers for nearly 40 years. A pragmatic approach to the problem of water simulation is described in this article. The system for modeling and animating the interaction between realistic-looking water and a computer graphics environment described in this article, draws on the science of computational fluid dynamics to calculate an approximate velocity field describing the time-varying motion of a volume of water.
[13] Reeves W T,

L Ltd. Particle systems: A technique for modeling a class of fuzzy objects

[J]. Computer Graphics, 1983,17(3):359-376.

https://doi.org/10.1145/800059.801167      URL      [本文引用: 1]      摘要

CiteSeerX - Scientific documents that cite the following paper: Particle Systems--A Technique for Modefing a Class of Fuzzy Objects
[14] 周枭楠,周贵云.

基于DEM数据的SPH水体流动模拟

[J].地理空间信息,2015,13(2):86-90.

https://doi.org/10.3969/j.issn.1672-4623.2015.02.032      URL      [本文引用: 1]      摘要

对基于DEM数据的SPH水体流动模拟技术进行研究。对整个模拟流程进行重点介绍,并根据DEM数据的特点,对SPH的边界条件处理方法进行修改。最后借助OpenGL的显示能力,在2种不同类型的地形上对水体流动进行实时计算和模拟。实验表明,对边界条件处理方法的修改是合理的,基于DEM数据的SPH水体流动模拟结果令人满意。

[ Zhou X N, Zhou G Y.

Simulation of SPH water flow based on DEM data

[J]. Geospatial Information, 2015,13(2):86-90. ]

https://doi.org/10.3969/j.issn.1672-4623.2015.02.032      URL      [本文引用: 1]      摘要

对基于DEM数据的SPH水体流动模拟技术进行研究。对整个模拟流程进行重点介绍,并根据DEM数据的特点,对SPH的边界条件处理方法进行修改。最后借助OpenGL的显示能力,在2种不同类型的地形上对水体流动进行实时计算和模拟。实验表明,对边界条件处理方法的修改是合理的,基于DEM数据的SPH水体流动模拟结果令人满意。
[15] 张静.

基于粒子系统的海洋要素动态演变仿真研究

[D].青岛:山东科技大学,2012.

[本文引用: 1]     

[ Zhang J.

Study of the simulation of wave's dynamic evolution based on particle system

[D]. Qingdao: Shandong University of Science and Technology, 2012. ]

[本文引用: 1]     

[16] 孙晓艳,王军.

SPH方法的理论及应用

[J].水利水电技术,2007,38(3):44-46.

https://doi.org/10.3969/j.issn.1000-0860.2007.03.012      URL      摘要

对光滑粒子流体动力学(SPH)的发展背景、理论基础等进行了介 绍,并分析了SPH方法在海冰和河冰模拟、具有自由表面的流动等方面的应用,作为一种无网格的纯Lagrange方法,在和其他方法对比的基础上列举了其 主要优缺点,结合目前国内外研究成果总结了改善缺点的对策.

[ Sun X Y, Wang J.

Theories and application on smoothed particle hydrodynamics method

[J]. Water Resources and Hydropower Engineering, 2007,38(3):44-46. ]

https://doi.org/10.3969/j.issn.1000-0860.2007.03.012      URL      摘要

对光滑粒子流体动力学(SPH)的发展背景、理论基础等进行了介 绍,并分析了SPH方法在海冰和河冰模拟、具有自由表面的流动等方面的应用,作为一种无网格的纯Lagrange方法,在和其他方法对比的基础上列举了其 主要优缺点,结合目前国内外研究成果总结了改善缺点的对策.
[17] 严芳.

粒子系统及其SPH方法应用的研究与实现

[D].武汉:武汉理工大学,2006.

[ Yan F.

Research and implementation on particle system and its application

[D]. Wuhan: Wuhan University of Technology, 2006. ]

[18] 谭小辉,万旺根,黄炳,.

基于SPH的三维流体模拟

[J].计算机应用与软件,2009,26(12):222-258.

https://doi.org/10.3969/j.issn.1000-386X.2009.12.072      URL      [本文引用: 1]      摘要

流体模拟是计算机图形学和虚拟现实技术的一个研究热点和难点,针 对目前的流体模拟真实感不够强,不能描述流体表面破碎的缺陷,根据流体的物理模型,采用基于光滑粒子动力学(SPH)的方法实现了三维流体的模拟.算法的 核心思想就是将流体视为一系列"粒子"的集合,粒子的物理量及其空间导数是通过搜索光滑半径内与其相互作用的粒子的物理量进行插值得到.此举可以简化拉氏 流体力学偏微分方程组求解过程.与传统的流体模拟方法相比,采用SPH算法所得到的模拟结果不仅可以比较真实地模拟流体流动的效果,而且还能实现流体表面 的剧烈变形,甚至表面破碎(如浪花飞溅效果).试验结果表明采用的算法在流体自由表面描述的逼真度上具有十分明显的优势.

[ Tan X H, Wan W G, Huang B, et al.

SPH based 3D fluid simulation

[J]. Computer Applications and Software, 2009,26(12):222-258. ]

https://doi.org/10.3969/j.issn.1000-386X.2009.12.072      URL      [本文引用: 1]      摘要

流体模拟是计算机图形学和虚拟现实技术的一个研究热点和难点,针 对目前的流体模拟真实感不够强,不能描述流体表面破碎的缺陷,根据流体的物理模型,采用基于光滑粒子动力学(SPH)的方法实现了三维流体的模拟.算法的 核心思想就是将流体视为一系列"粒子"的集合,粒子的物理量及其空间导数是通过搜索光滑半径内与其相互作用的粒子的物理量进行插值得到.此举可以简化拉氏 流体力学偏微分方程组求解过程.与传统的流体模拟方法相比,采用SPH算法所得到的模拟结果不仅可以比较真实地模拟流体流动的效果,而且还能实现流体表面 的剧烈变形,甚至表面破碎(如浪花飞溅效果).试验结果表明采用的算法在流体自由表面描述的逼真度上具有十分明显的优势.
[19] 陈勇,陈戈,张淑军.

近岸海浪实时仿真

[J].系统仿真学报,2008,20(3):741-745.

URL      [本文引用: 1]      摘要

自然景物的模拟是计算机图形学的一个热点问题,看上去简单的现实世界实现起来却极其复杂,特别是以海浪为代表的流体视觉仿真。海浪进入近岸区后,会出现变形和折射现象。将海洋学已有的波浪理论和计算方法应用到近岸海浪仿真中,采用椭圆余弦波构造波形,用波向线和波峰线组成的变形网格来解决波浪的折射现象,实现了近岸海浪实时仿真。实践证明该方法可以快速有效地模拟进入浅水区的海浪。

[ Chen Y, Chen G, Zhang S J.

Real-time simulation of near-shore waves

[J]. Journal of System Simulation, 2008,20(3):741-745. ]

URL      [本文引用: 1]      摘要

自然景物的模拟是计算机图形学的一个热点问题,看上去简单的现实世界实现起来却极其复杂,特别是以海浪为代表的流体视觉仿真。海浪进入近岸区后,会出现变形和折射现象。将海洋学已有的波浪理论和计算方法应用到近岸海浪仿真中,采用椭圆余弦波构造波形,用波向线和波峰线组成的变形网格来解决波浪的折射现象,实现了近岸海浪实时仿真。实践证明该方法可以快速有效地模拟进入浅水区的海浪。
[20] 曾芬芳,黄建国.

虚拟海洋场景中波浪的模拟

[J].计算机应用,2001,21(4):33-35.

URL      [本文引用: 1]      摘要

采用水波动力学理论,对随机海洋面在理想情况下的海洋波面以及舰 船在海洋中航行时所产生的浪花进行了分析,并建立了相应模型。根据计算机图形学的相关技术和波谱函数方程,生成了随机的海浪,运用粒子系统技术绘制了舰船 航行中的浪花(艏浪、艉浪等),为海战场视景图生成创建了一个较为逼真的海洋虚拟场景。

[ Zeng F F, Huang J G.

Wave simulation in virtual ocean scene

[J]. Computer Applications, 2001,21(4):33-35. ]

URL      [本文引用: 1]      摘要

采用水波动力学理论,对随机海洋面在理想情况下的海洋波面以及舰 船在海洋中航行时所产生的浪花进行了分析,并建立了相应模型。根据计算机图形学的相关技术和波谱函数方程,生成了随机的海浪,运用粒子系统技术绘制了舰船 航行中的浪花(艏浪、艉浪等),为海战场视景图生成创建了一个较为逼真的海洋虚拟场景。

/