地球信息科学学报  2019 , 21 (3): 445-454 https://doi.org/10.12082/dqxxkx.2019.180316

遥感科学与应用技术

福建省地表温度与植被覆盖度的相关性分析

李娅丽1, 汪小钦1*, 陈芸芝1, 王苗苗2

1. 福州大学空间数据挖掘和信息共享教育部重点实验室,卫星空间信息技术综合应用国家地方联合工程研究中心,福州 350108
2. 中国科学院地理科学与资源研究所,北京 100101

The Correlation Analysis of Land Surface Temperature and Fractional Vegetation Coverage in Fujian Province

LI Yali1, WANG Xiaoqin1, CHEN Yunzhi1, WANG Miaomiao2

1. Key Laboratory of Spatial Data Mining & Information Sharing of Ministry of Education, National & Local Joint Engineering Research Center of Satellite Geospatial Information Technology, Fuzhou University, Fuzhou 350108, China
2. Institude of Geographic Sciences and Natural Resources Research, Chinese Academy of Sciences, Beijing 100101, China

通讯作者:  *通讯作者:汪小钦(1972- ),女,福建古田人,博士,研究员,主要从事资源与环境遥感应用。E-mail: wangxq@fzu.edu.cn

收稿日期: 2018-07-4

修回日期:  2019-01-2

网络出版日期:  2019-03-15

版权声明:  2019 《地球信息科学学报》编辑部 《地球信息科学学报》编辑部 所有

基金资助:  国家重点研发计划项目(2017YFB0504203)中央引导地方发展专项(2017L3012)海西政务大数据应用协同创新中心资助项目

作者简介:

作者简介:李娅丽(1992- ),女,山东菏泽人,硕士生,研究方向为遥感信息处理与应用技术。E-mail: luckyliyali@163.com

展开

摘要

地表温度(Land surface Tenperature, LST)和植被覆盖度(Fractional Vegetation Coverage, FVC)是生态环境变化的重要指标因子,研究两者的时空变化及相互关系对评价区域生态环境建设、改善区域生态环境具有重要意义。本文以福建省为研究区域,利用2001-2015年MODIS 11A2 LST和13Q1 NDVI数据,在时序数据重构的基础上对福建省LST时空变化及LST与FVC的相互关系进行分析。结果表明:①2001-2015年福建省LST总体呈轻微下降趋势,尤其是2010年之后其LST明显降低。LSTFVC的空间分布具有较好的负相关一致性:在FVC较高的区域,LST值较低;在FVC较低的区域,LST较高。② LSTFVCDEM和纬度均成负相关关系,且负相关性在一年之中随着月份的变化而呈规律性增加或降低。夏季FVC对LST的负相关性最大为0.7,冬季FVC对LST的负相关性降低为0.4。③LST随着FVC增加而降低的趋势呈现分段线性关系,存在“FVC拐点”。“FVC拐点”前后随着FVC增加LST的降低速率在夏季 “先慢后快”,而在冬季则“先快后慢”。春秋两季,LST随着FVC增加而降低的速率在“FVC拐点”前后差异变小。在夏季,当FVC大于0.4时,FVC每增加0.1可降低LST约0.77 °C,降温效果大约是FVC小于0.4时的2倍。因此如果要有效地降低夏季地表高温,要使地表植被覆盖大于40%,才能较好的发挥植被的降温的作用。④在1-8月份,FVCLST的负相关作用存在滞后性,FVC变化对滞后一个月的LST时空分布影响更大。研究成果对福建省生态环境建设与评估具有一定的意义,对于发挥植被对区域高温抑制作用提供了重要的参考依据。

关键词: 地表温度(LST) ; 植被覆盖度(FVC) ; 时空变化 ; LST与FVC相互关系 ; 福建省

Abstract

Land surface temperature (LST) and fractional vegetation coverage (FVC) are important indicators of ecological environment changes. Studying the temporal and spatial variations of LST and FVC as well as their interaction in Fujian Province are of great significance to the evaluation of ecological environment construction and improvement of regional ecological environment. In this study, the temporal and spatial variations of LST in Fujian Province and the interaction between LST and FVC are analyzed, based on the reconstruction time series data of MODIS 11A2 LST and 13Q1 NDVI from 2001-2015. The results showed that: (1) The overall LST in Fujian Province presented a slight downward trend from 2001 to 2015, and the downward trend of LST is more pronounced after 2010. The spatial distribution of LST and FVC had a good negative correlation consistency, which implies the LST value is lower in the higher area while the LST is higher in the lower FVC area. (2) LST is negatively correlated with FVC, DEM and latitude. And their negative correlation was increased or decreased regularly with the change of months in a year .The negative correlation between FVC and LST was higher in summer and became lower in winter with the correlation coefficient reduced from 0.7 to 0.4. (3) The decreasing trend of LST with the increase of FVC is piecewise linear and has an obvious "FVC inflection point". In front and behind "FVC inflection point", the decreasing trends of LST with the increase of FVC are "slowly first and fast afterwards" in summer and "fast followed by slow "in winter. Moreover, the difference of LST decreasing rate with the increase of FVC becomes smaller in spring and autumn. In summer, when FVC is greater than 0.4, the LST can reduce about 0.77 °C with FVC value increase 0.1, and the cooling effect is about twice as much as that when FVC is less than 0.4. Therefore, if we want to effectively reduce LST in summer, we should make the surface vegetation cover more than 40%。Only in this way can vegetation play a better role in cooling. (4) From January to August, the negative correlation of FVC on LST has a lag, and vegetation change has a greater impact on the spatial and temporal distribution of the next month's LST. This study has a certain significance for the construction and evaluation of ecological environment in Fujian Province, and provide an important reference for the development of vegetation to suppress regional high temperature.

Keywords: Land surface temperature (LST) ; Fractional vegetation coverage (FVC) ; Temporal and spatial variation ; Interrelationship between LST and FVC ; Fujian province

0

PDF (8202KB) 元数据 多维度评价 相关文章 收藏文章

本文引用格式 导出 EndNote Ris Bibtex

李娅丽, 汪小钦, 陈芸芝, 王苗苗. 福建省地表温度与植被覆盖度的相关性分析[J]. 地球信息科学学报, 2019, 21(3): 445-454 https://doi.org/10.12082/dqxxkx.2019.180316

LI Yali, WANG Xiaoqin, CHEN Yunzhi, WANG Miaomiao. The Correlation Analysis of Land Surface Temperature and Fractional Vegetation Coverage in Fujian Province[J]. Journal of Geo-information Science, 2019, 21(3): 445-454 https://doi.org/10.12082/dqxxkx.2019.180316

1 引言

地表温度(Land Surface Temperature,LST)作为陆地与大气之间能量交换的重要参数,是研究区域及全球生态环境及大气科学的基础[1,2],其时空分布与区域生态、植被、气候、水文、环境等因素密切相关[1,2,3,4],是生态环境变化重要的指示因子。在影响地表温度变化的众多环境因子中,植被对地表温度的影响比较复杂且容易受外界环境和人为因素的干扰[5,6]

随着遥感技术的发展,大尺度长时序研究地表温度及其与植被因子的关系成为可能。但是目前对长时序LST和植被的研究多集中在LST、NDVI时序数据重构方法的研究[7,8,9],以及LST、NDVI各自的时空变化分析[10,11,12,13]。对于LST与NDVI两者结合的研究则主要集中在城市热岛效应,对于省及以上大区域的研究较少且多集中在西北干旱区监测[14,15]以及西南地区青藏高原LST时空变化[16,17,18,19]。在城市热岛效应中,植被对于LST的影响显著,植被不同类型的变化及组合对城市LST的空间分布具有不同的影响[5,20]。在干旱区检测中,通过LST与NDVI构建指数来检测干旱,说明LST与植被具有一定的关系,可以反映区域环境状况[21,22]。相关研究发现LST与植被覆盖度(Fractional Vegetation Coverage,FVC)存在一定的负相关,且负相关强度与季节、时间及土地覆盖有很大关系[23],在同一植被覆盖度下不同下垫面类型对LST的降温作用有明显差异[18-19,24]。由于植被可以吸收到达土层太阳辐射的54%~65%,且能降低近地表风速近而减少土层水分蒸发带来的温度上升,因此其增加或减少势必会影响区域甚至全球LST的时空变化[25,26]

2000年以来,福建省经济快速发展,人类活动的增强与城市扩张导致LST增加,但是由于福建省一直注重生态环境建设,森林覆盖率从2001年60.5%提升到2016年的65.95%[27,28]。为了研究2001年以来福建省经济和生态双重发展下LST时空变化及植被覆盖度的温度效应,进而对福建省生态环境建设提出有效建议,本文利用MODIS的LST与NDVI数据,开展福建省LST与FVC时空变化分析,并在此基础上对福建省LST与FVC的相互作用进行深入研究。

2 研究区概况、数据源与研究方法

2.1 研究区概况

福建省位于中国东南沿海,介于23°33′ N- 28°19′ N、115°50′ E-120°47′ E之间,东与台湾省隔海相望,东北与浙江毗邻,西北横贯武夷山脉与江西相交,西南与广东相连。地处亚热带,属亚热带海洋湿润性季风气候,夏季高温多雨,冬季温和少雨,气候条件优越,雨量充沛,光照充足,年平均气温17~28 ℃、年平均降雨量1400~2000 mm。

福建省西部和中部以占全省面积80%的山地丘陵为主,形成沿海岸线方向由东北-西南斜贯全省的闽西大山带和闽中大山带(图1),其中闽西大山带北高南低,长约530 km,平均海拔约1000 m。闽中大山带被闽江、九龙江截为三部分,其中山带中段的海拔最高,山体最宽。在东部沿海地区,由于河海的交互堆积,地形以丘陵和平原为主,海拔高度在200 m以下。根据全国第八次森林资源清查通报[29],福建省森林面积801.27万hm2,森林蓄积60 796.15万m3;森林覆盖率65.95%,连续37年居全国首位。

图1   研究区域概况及气象站点分布

Fig. 1   The overview of the study area and distribution of meteorological stations

2.2 数据源

本研究所需要数据主要包括MODIS LST和NDVI以及地形和气温数据(表1)。

表1   数据基本情况

Tab. 1   Basic information on data

数据类型数据来源时间长度时间精度空间精度
LSTMODIS11A22001-2015年8 d1000 m
NDVIMODIS13Q12001-2015年16 d250 m
DEMSRTM数据90 m
气温气象站点观测2001-2015年逐月

新窗口打开

MODIS 11A2(V005)LST产品(2001-2015)利用31和32两个热红外波段通过劈窗算法计算获得,空间分辨率为1 km,时间分辨率是8 d,每年46景,2001-2015年共计690景。MODIS 13Q1的NDVI数据空间分辨率为250 m,时间分辨率为16 d,2001-2015共345景。MODIS 11A2和13Q1数据在https://lpdaac.usgs.gov网站获取。

DEM数据为SRTM(Shuttle Radar Topography Mission)的DEM数据,空间分辨率为90 m,在地理空间数据云获取(http://www.gscloud.cn/)。为了和LST数据空间分辨率保持一致,将其重采样为1000 m。

气温数据来自中国气象科学数据共享服务网(http://data.cma.cn/)气象站点(图1)的逐月数据集,包括每月平均最高气温Tmax、每月平均最低气温Tmin以及每月平均气温T。由于采用的LST数据是MODIS11A2白天温度数据,该数据过境时间是每天 11:30 am,故采用每月平均最高气温Tmax对重构的LST数据进行精度分析。

2.3 研究方法

2.3.1 MODIS产品时序数据处理

由于福建省常年多云多雨,所获得的MODIS数据会有一定程度的缺失。因此先基于常用的S-G算法[30,31]对福建省2001-2015年LST和NDVI数据集进行重构。重构之前的数据处理主要包括数据预处理、利用QA信息过滤质量差的像元、利用影像直方图去除异常值等,对重构之后的数据用平均值合成法生成每月平均LST,用最大值合成法生成每月平均NDVI等。具体流程见图2

图2   MODIS LST及MODIS NDVI时序数据异常值重构及分析流程

Fig. 2   The time-series data outliers reconstruction of MODIS LST and MODIS NDVI as well as analysis process

2.3.2 LST与FVC时空分布分析

利用ArcGIS栅格计算器根据式(1)和式(2)得到15年年平均LST及15年1-12月月平均温度LSTmm=1,2,…,12)。

LST=y=115LSTy15(1)

LSTm=y=115LST(y,m)15(2)

式中:LSTy表示y年年平均LST,LSTy, m表示ym月LST,y从1-15分别代表2001-2015年,m从1-12分别代表1-12月。

对于NDVI数据,首先根据式(3)把NDVI数据转换成植被覆盖度FVC数据[32]。然后对每年月平均FVC(y, m)VFC(y, m)y=1,2,…,15;m=1,2,…,12),根据式(4)和式(5)得到15年年平均FVC及15年1-12月月平均FVCm VFCmm=1,2,…,12)。由于NDVI的空间分辨率与LST空间分辨率不同,将FVC的空间分辨率重采样为1000 m。

FVC=NDVI-NDVImin/NDVImax-NDVImin(3)

FVC=y=115FVCy15(4)

FVCm=y=115FVC(y,m)15(5)

式中:ym与式(1)和(2)中含义一致。

3 实验结果及分析

3.1 LST重构数据验证

由于定点LST数据在实际中不易获得,本文 采用时间序列2001-2015年气象站点每月平均气 温Tmax观测数据对S-G重构后的LST进行验证。虽然近地表气温Tmax和地温LST在时间及物理意义上有所偏差,但都是受各自区域内小气候特征所决定的热量因子,具有明显的一致性和很强的相关性[33,34]

根据站点经纬度信息,提取S-G重构前和重构后2001-2015年每月LST,并与站点气温Tmax进行回归分析(图3),其中重构前LST与气温的拟合方程不包含缺失的0值。对比重构前后LST与气温散点图及拟合曲线方程可知,如果不考虑重构前的缺失数据,重构后散点图变密且更集中,重构后影像在将地温为0的缺失值进行填补的基础上,能够很好地保持重构前影像的数据特性。

图3   重构前后LST与气温散点图

Fig. 3   Scatter plots of original LST and reconstructed LST with air temperature

重构后各站点地温与气温相关性分析如表2。由表2的相关系数可知,除龙岩和漳平LST与气温相关系数分别为0.810和0.872,其余各站点重构后的LSTTmax相关系数R均大于0.920,说明重构后LST与气温具有很强的相关性和一致性。进一步说明S-G对LST数据重构效果较好,且保持了原有影像的LST值。

表2   2001-2015年福建省各站点平均每月最高气温(Tmax)和LST相关系数

Tab. 2   Correlation coefficients of monthly highest average air temperature (Tmax) and LST in Fujian Province 2001- 2015

站点编号站点名相关系数站点编号站点名相关系数站点编号站点名相关系数
58725邵武0.95658911长汀0.94659134厦门0.957
58730武夷山0.96358918上杭0.93059321东山0.934
58731浦城0.96258921永安0.94558744寿宁0.936
58737建瓯0.96158926漳平0.87258818宁化0.935
58754福鼎0.93958931九仙山0.92358837尤溪0.931
58820泰宁0.94858933屏南0.93758843霞浦0.936
58834南平0.96558944平潭0.9349113永定0.934
58846宁德0.95459126漳州0.92958927龙岩0.810
58847福州0.94659133崇武0.94958734建阳0.959

新窗口打开

3.2 LST与FVC变化分析

3.2.1 LST与FVC年际变化分析

福建省15年平均LST具有较强的空间分布规律并呈现出从东南到西北逐渐降低、东部高于西部的变化趋势(图4(a))。西部山区LST空间差异受海拔影响较明显,海拔高的区域LST较高,海拔低的区域LST较低。从植被覆盖来看,福建省绝大部分区域FVC较高,FVC较低区域主要集中在河流、人口较集中的城镇、水土流失较严重的长汀县、安溪县以及东部沿海区域。FVC空间分布一定程度上影响LST的空间分布,在中部FVC较低区域其LST明显比周边LST高,在FVC较低的东部沿海区域LST高温效应聚集明显,最高LST达到30.57 ℃。东部地势平坦又沿海,比较适合发展经济,城市化进程较快。以闽三角为例,2001-2015年城镇化水平从33.29%上升到64.35%,人口密度由549.56人/km2上升到686.17人/km2,且人口集聚效应明显[35]。经济的快速发展,导致植被区域被城市化,从而引起LST快速上升,产生了以城市为中心的“热岛效应”,经济越发达的区域其“热岛效应”越明显。

图4   2001-2015年福建省平均LST与FVC空间分布

Fig. 4   Spatial distribution of average LST and FVC of 15 years of Fujian province from 2001 to 2015

图5显示了福建省LST及FVC从2001-2015年逐年变化过程。从图中可以看出,2001-2015年,福建省LST总体呈轻微降低趋势,尤其是2010年之后,LST明显低于2010年前。从细节上来看,福建省LST在2001-2005年呈现先升高后降低趋势,2005-2009年呈现逐年升高趋势,2010-2015年,LST值在22.3~23.0 ℃之间波动,总体上呈现较明显的降低。而福建省FVC除了2005年和2011年呈轻微下降趋势,总体上一直波动上升。从LST和FVC的年际变化来看,两者具有负相关性,FVC的累年增加一定程度上使得LST不易出现高温情况。

图5   2001-2015年福建省LSTFVC年际变化

Fig. 5   Annual variation of LST and FVC of Fujian province from 2001 to 2015

3.2.2 LST与FVC 2001-2015年平均年内变化分析

福建省平均LST(2001-2015年)从1-7月依次递增,7月之后LST呈现逐渐递减趋势,夏季比较稳定,冬春季波动性较大(图6)。7月是福建省LST最热的月份,月平均LST达到29 °C左右,1月是LST最低的月份,月平均LST在15°C左右,年内平均最高温和最低温的温差为15 °C。福建省FVC从2-8月依次增加,其中5-8月FVC增加最快;8月之后FVC开始降低,一直持续到次年2月(图7)。8月FVC最高,为0.743;2月FVC最低,为0.656,FVC在夏季和冬季最大差值仅为0.087,说明福建省FVC即使在冬季仍处于较高水平。LST最高与FVC最高分别出现在7月和8月,年内的变化趋势并不完全同步,有一定的滞后性。

图6   福建省2001-2015年平均年内LST变化

Fig. 6   Box plot of temperature change in a year of 15 years

图7   2001-2015年福建省平均每月植被年内变化

Fig. 7   The annual change of average monthly vegetation in Fujian Province from 2001 to 2015

3.3 2001-2015平均年内FVC变化对LST的影响

在一年之中LST与FVC、DEM和纬度(LAT)均成负相关关系(图8),且负相关随着月份变化呈现规律性的变化。FVC对LST的负相性一直处于较高状态,R绝对值介于0.4~0.7之间,其负相关作用虽然从1-8月逐月增加,9-12月逐月降低,但即使在最低的月份,其负相关性也大于0.4。从相关性变化规律来看,夏季FVC对LST的影响较大,其次是DEM,纬度对LST的负相关性几乎可以忽略不计;冬季纬度对LST的影响较大,其次是FVC。总体上FVC对LST变化的影响全年都处于较高状态。

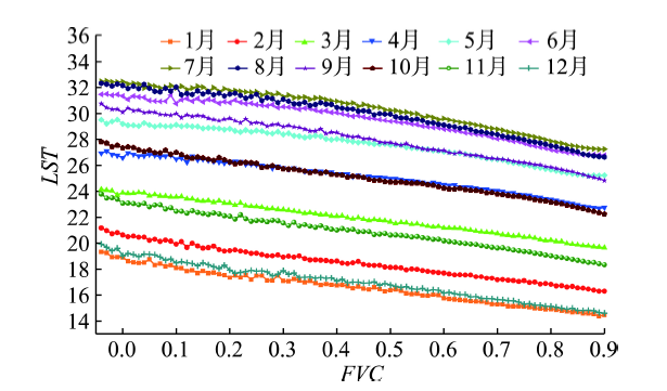
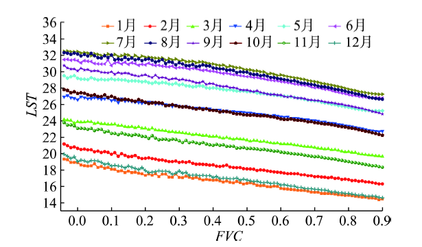
LST随着FVC的增加而降低,但降低趋势在不同月份有明显不同(图9)。在FVC与LST相关性较高的夏季,LST随着FVC的增加呈现“先慢后快”的降低趋势;而在FVC与LST相关性较低的冬季,LST降低趋势随着FVC的增加“先快后慢”。显然LST随着FVC的增加而下降的趋势有一个较明显变化的“FVC拐点”,在拐点前后LST随着FVC的增加呈现两种不同程度的下降趋势。

图8   2001-2015年平均年内LST与FVC、DEM和纬度的相关性分析

Fig. 8   Annual correlation analysis of LST and other factors in a year of 15 years

图9   2001-2015年不同月份LSTFVC变化

Fig. 9   The LST change with FVC in different months from 2001 to 2015

为了得到不同月份LST下降趋势发生变化的“FVC拐点”,以及拐点前后LST随着FVC变化的趋势,经多次试验获得最佳线性拟合方程和拐点(图10表3),图10中|K1|代表拐点之前LST变化斜率的绝对值,|K2|代表拐点之后LST变化斜率的绝对值, ∆K代表拐点前后LST下降斜率K1与K2的差值。

图10   2001-2015年福建省不同月份FVC拐点之前与之后LST变化斜率

Fig. 10   Slope of LST change before and after FVC inflection point in different months of Fujian from 2001 to 2015

表3   2001-2015年不同月份FVC拐点及LST变化趋势

Tab. 3   The inflection point of FVC and LST trend in different months from 2001 to 2015

月份FVC拐点拐点之前拐点之后
方程式R2方程式R2
10.25y=-7.26x+19.220.953y=-4.61x+18.790.990
20.25y=-6.50x+21.000.950y=-4.46x+20.580.996
30.30y=-4.24x+24.140.956y=-4.79x+24.270.996
40.30y=-3.06x+27.010.845y=-5.04x+27.670.984
50.35y=-2.64x+29.390.889y=-5.69x+30.600.983
60.35y=-2.44x+31.430.770y=-6.72x+33.070.994
70.40y=-3.18x+32.510.928y=-7.71x+34.490.996
80.40y=-3.80x+32.320.902y=-7.75x+34.090.995
90.35y=-4.27x+30.540.941y=-6.65x+31.420.994
100.30y=-5.52x+27.700.956y=-5.34x+27.730.988
110.25y=-6.23x+23.560.936y=-5.11x+23.400.990
120.25y=-6.85x+19.700.922y=-4.94x+19.360.988

新窗口打开

表3可知,FVC拐点前后具有明显的分段线性关系,线性拟合方程都具有较高的决定系数,拐点之前的决定系数除4-6月之外,都高于0.90;而拐点之后的方程,决定系数都高于0.98,拟合结果的可信度较高。“FVC拐点”在1-7月逐月上升,在8-12月逐月降低。夏季“FVC拐点”最高,在0.4左右;冬季“FVC拐点”最低,在0.25左右;春季和秋季,使LST变化趋势发生变化的“FVC拐点”值在0.25~0.35之间。因此,要使得在炎热的夏季,植被对LST有较为明显的降温作用,区域的FVC要大于40%。

由|K1|及|K2|变化曲线可知,在“FVC拐点”之前,FVC增加对LST降温作用在1-6月逐渐降低,在6-12月逐渐增加。“FVC拐点”之前,1月是FVC增加对LST降温作用最大的月份,FVC每增加0.1可降低LST约0.73 °C,而6月FVC对LST的影响最小,FVC每增加0.1对LST的降温作用约0.24 °C。“FVC拐点”之后,FVC的增加对LST降温作用在2-7月逐渐增加,在8-12月逐渐降低,其中7、8月是FVC增加对LST降温作用最明显的月份,FVC每增加0.1可降低LST约0.77 °C,降温效果是“FVC拐点”之前的2倍。

由∆K可知,在夏季“FVC拐点”之前FVC降温趋势小于“FVC拐点”之后,冬季则正好相反。4-9月,∆K先降低后增加,在7月达到最小,说明7月是“FVC拐点”前后,FVC对LST的降温作用差异最大的月份。11月-次年2月∆K先增加后降低,在1月达到最大。3月和10月“FVC拐点”前后FVC对LST的降温作用没有明显差别,随着FVC从0~1,LST基本为线性降低趋势。

3.4 年内LST与FVC相互影响分析

福建省最高和最低LST分别出现在7月和1月,最高和最低FVC分别出现在8月和2月(图6-7),说明两者变化并不同步。因此对FVC与LST月对应、FVC滞后LST一个月、LST滞后FVC一个月进行时滞相关性变化分析(图11)。以FVC与LST月份相同作为参照,FVC滞后LST一个月来表示LST对FVC的影响,LST滞后FVC一个月来表示FVC对LST的影响。

图11   2001-2015年福建省LST与FVC年内相互影响变化分析

Fig. 11   Analysis of the interaction between LST and FVC in Fujian province from 2001 to 2015

图11可知,LST对当月和次月的植被生长均起到一定的促进作用,而FVC对LST的降温作用则具有较明显的时滞性。由图11(a)可知,在8月之前,LST与滞后一个月的FVC负相关性总体上略大于两者相同月份的负相关性,且均随着LST的升高而增加,说明LST的升高对于促进当月和次月的FVC增长效果相当;8月之后随着秋冬季的到来,LST对FVC负相关作用逐渐降低,且两相关系数之间差异极小。由图11(b)可知,在8月之前LST与滞后FVC一个月的相关系数高于与LST与FVC月份相同的变化曲线,说明FVC对次月LST负相关性高于两者相同月份的负相关性,FVC的增加更多的是影响次月LST的变化,具有较为明显的滞后性;8月份之后随着秋冬季的到来,FVC降低主要对当月LST降低的作用更为明显,滞后性消失。

4 结论与讨论

为了研究2001年以来福建省经济与生态双重发展模式下,LST的时空变化及植被因子的温度效应,本文利用MODIS 11A2 LST和13Q1 NDVI数据对福建省LST时空变化及LST与FVC相互关系进行了深入分析,主要结论如下:

(1) 2001-2015年福建省LST总体呈略轻微下降趋势,尤其是2010年之后LST明显低于2010年之前。而FVC从2001-2015年一直呈上升状态,从0.68上升为0.74,在全球变暖的大趋势下福建省LST轻微下降和FVC的持续增加有一定的关系。在空间分布上,LST总体呈现从东南到西北逐渐降低的变化趋势,与福建省DEM从东南到西北逐渐升高的变化趋势正好相反,说明福建省LST总体变化趋势受DEM控制。区域LST空间分布受FVC影响,FVC较高的区域LST较低,而FVC较低的区域LST相对较高。

(2) LST与FVC、DEM与LAT均成负相关关系,且负相关性在一年之中呈现规律性的变化趋势。夏季FVC对LST的影响大,冬季LAT对LST的影响大,而太阳辐射受LAT影响较大,也就造成了冬季LST不稳定。虽然FVC对LST的负相关性在冬季较低,但即使在最低的12月也大于0.4。由于区域LAT是不变的,DEM在较长时间内也基本稳定,因此通过增加FVC来降低区域LST是改善区域生态环境的主要手段。

(3) LST随着FVC的增加而降低的趋势具有明显的“FVC拐点”,“FVC拐点”前后FVC对LST的降温强度不同,“FVC拐点”位置也随着月份的变化而变化:夏季“FVC拐点”为0.4,冬季降低为0.25。“FVC拐点”前后,随着FVC的增加,夏季LST降低趋势由慢变快,而冬季则正好相反。我们认为“FVC拐点”是受人类影响区域和自然区域的分界点,FVC从0到“FVC拐点”,主要集中在人类活动较强的城镇区域,而FVC从“FVC拐点”到1,则主要集中在较少受人类活动影响的森林等区域。植被在夏季生长最好冬季最差,故“FVC拐点”夏季较高,冬季变低。夏季FVC对LST的降温作用较大,但低植被区有限的植被增加无法有效抵消人类活动产生的“热岛效应”,故随着FVC的增加,LST降低趋势先慢后快。在冬季FVC对LST的降温作用变小,“热岛效应”造成的升温大于自然状态下FVC对LST的降温作用,所以从城市区到非城市区,LST降低趋势先快后慢。

(4) LST对主要对当月和次月FVC的生长均有促进作用,LST越高对FVC的生长促进作用越强。而在1-8月FVC对LST的降温作用存在一定的滞后性,植被的变化主要是对下月LST产生影响。8月之后FVC对LST的降温的滞后性消失。由于植被的生长存在一定的时间积累,所以LST的升高并不一定马上使得FVC明显增加,理论上也存在一定的滞后性。如果以半个月为单位开展分析,有可能获得LST对FVC的影响也具有一定滞后性。

FVC对LST的影响虽然不能改变LST空间分布的总体趋势,但是对区域LST的空间分布影响较大,增加FVC可以降低区域LST。由于城市发展的需要,在城市区大面积种植植被不太可能,可以在城市内外充分利用一切可能的区域增加植被覆盖,这样在经济发展的同时还能适当控制人类活动引起的升温,一定程度上缓解城市区域的“热岛效应”。从本文结果来看,如果通过增加FVC来明显降低夏季LST,要使区域FVC达到0.4以上。由于本文所使用的LST数据为1000 m分辨率,若要应用到城市范围,需要更高分辨率的数据。由于本文研究整个福建省,DEM和纬度差异较大,如果能在海拔和纬度差异不大的小区域进行分析,则可以在一定程度上排除两者对LST的影响,对于FVC对LST影响的拐点更具有说服力和实际应用意义。

The authors have declared that no competing interests exist.


参考文献

[1] He J J, Yu Y, Yu L J, et al.

Impacts of uncertainty in land surface information on simulated surface temperature and precipitation over China

[J]. International Journal of Climatology, 2017,37(7-8):829-837.

https://doi.org/10.1002/joc.5041      URL      [本文引用: 2]      摘要

Abstract This study mainly focuses on the effects of uncertainty in land surface information on mesoscale numerical simulation. The Weather Research and Forecasting (WRF) model was used to simulate meteorological fields over China at a spatial resolution of 10 km during 2006. Near-surface temperature and precipitation values obtained from WRF were evaluated using site observations. The effects of accurate and updated land surface information, including Shuttle Radar Topography Mission (SRTM) data, Moderate resolution imaging spectroradiometer (MODIS) land use data, vegetation fraction derived from MODIS normalized difference vegetation index (NDVI) and Harmonized World Soil Database (HWSD) data (LAST simulation), on WRF's performance were investigated by comparison with a simulation using the default land surface information (BASE simulation). WRF reproduced the temporal and spatial variations of near-surface temperature and precipitation over China accurately, although its performance varied significantly by season and region. WRF underestimated near-surface temperatures in most areas of the Yunnan uizhou Plateau, the Tibetan Plateau, the Northeast Plain, and the southeastern coastal regions, but temperatures were overestimated in most areas of the North China Plain, the Loess Plateau, Sichuan Basin, and western Xinjiang. WRF overestimated (underestimated) precipitation in most humid (arid) areas. A positive (negative) bias in simulated precipitation is found in summer (winter). With updated land surface information, WRF's performance in terms of both daily average values and extremes improved, and the root mean squared error values for daily mean temperature and daily accumulated precipitation decreased by 7 and 2.3%. These improvements are significant for temperature, but not significant for precipitation. The uncertainty in land surface information has a greater influence on temperature than on precipitation. These findings are very important for weather forecasting and studies involving climatological analyses covering East Asia.
[2] Jia H J.

Analysis of the ecological environment changes in land surface temperature, and NDVI based on MODIS remote sensing data

[J]. Remote Sensing Information, 2014,2014(3):855-856.

[本文引用: 2]     

[3] Roşca C F, Harpa G V, Croitoru A E, et al.

The impact of climatic and non-climatic factors on land surface temperature in southwestern Romania

[J]. Theoretical & Applied Climatology, 2016,130(3-4):775-790.

https://doi.org/10.1007/s00704-016-1923-6      URL      [本文引用: 1]      摘要

Abstract Land surface temperature is one of the most important parameters related to global warming. It depends mainly on soil type, discontinuous vegetation cover, or lack of precipitation. The main purpose of this paper is to investigate the relationship between high LST, synoptic conditions and air masses trajectories, vegetation cover, and soil type in one of the driest region in Romania. In order to calculate the land surface temperature and normalized difference vegetation index, five satellite images of LANDSAT missions 5 and 7, covering a period of 26 years (1986 2011), were selected, all of them collected in the month of June. The areas with low vegetation density were derived from normalized difference vegetation index, while soil types have been extracted from Corine Land Cover database. HYSPLIT application was employed to identify the air masses origin based on their backward trajectories for each of the five study cases. Pearson, logarithmic, and quadratic correlations were used to detect the relationships between land surface temperature and observed ground temperatures, as well as between land surface temperature and normalized difference vegetation index. The most important findings are: strong correlation between land surface temperature derived from satellite images and maximum ground temperature recorded in a weather station located in the area, as well as between areas with land surface temperature equal to or higher than 40.0 C and those with lack of vegetation; the sandy soils are the most prone to high land surface temperature and lack of vegetation, followed by the chernozems and brown soils; extremely severe drought events may occur in the region.
[4] 时忠杰,高吉喜,徐丽宏,.

内蒙古地区近25年植被对气温和降水变化的影响

[J].生态环境学报,2011,20(11):1594-1601.

https://doi.org/10.3969/j.issn.1674-5906.2011.11.002      URL      [本文引用: 1]      摘要

利用1982-2006年内蒙古地区GIMMS-NDVI和降水 量、气温数据,分析了不同植被类型对气温和降水变化趋势的影响.结果表明:近25年来内蒙古地区气温整体上呈上升趋势,降水量呈微弱降低趋势,西部荒漠区 呈暖湿化趋势,中东部草原、森林等植被类型区呈暖干化趋势;从不同植被类型NDVI与平均气温和降水量的变化趋势率相关分析表明,NDVI值越低,升温趋 势越明显,其中春季和秋季各植被类型间NDVI与季均气温升高趋势率呈显著和较显著的相关,夏、冬季关系不明显;植被NDVI越高,降水量减少趋势越明 显.基于栅格的NDVI与气温升高幅度、降水变化趋势相关分析表明,年均气温升高幅度基本随NDVI的增加而降低,其中春、夏和秋季的季均气温升高幅度均 随NDVI的增加而显著降低,冬季趋势不明显;而年降水量减小趋势率随植被NDVI的增加而显著增加,其中春季和冬季NDVI变化对降水的变化几乎没有影 响;夏季和秋季均表现为随NDVI的增加,降水减小趋势率呈增加趋势.

[ Shi Z J,Gao J X,Xu L H, et al.

Effect of vegetation on changes of temperature and precipitation in inner Mongolia, China

[J]. Ecology and Environmental Sciences, 2011,20(11):1594-1601. ]

https://doi.org/10.3969/j.issn.1674-5906.2011.11.002      URL      [本文引用: 1]      摘要

利用1982-2006年内蒙古地区GIMMS-NDVI和降水 量、气温数据,分析了不同植被类型对气温和降水变化趋势的影响.结果表明:近25年来内蒙古地区气温整体上呈上升趋势,降水量呈微弱降低趋势,西部荒漠区 呈暖湿化趋势,中东部草原、森林等植被类型区呈暖干化趋势;从不同植被类型NDVI与平均气温和降水量的变化趋势率相关分析表明,NDVI值越低,升温趋 势越明显,其中春季和秋季各植被类型间NDVI与季均气温升高趋势率呈显著和较显著的相关,夏、冬季关系不明显;植被NDVI越高,降水量减少趋势越明 显.基于栅格的NDVI与气温升高幅度、降水变化趋势相关分析表明,年均气温升高幅度基本随NDVI的增加而降低,其中春、夏和秋季的季均气温升高幅度均 随NDVI的增加而显著降低,冬季趋势不明显;而年降水量减小趋势率随植被NDVI的增加而显著增加,其中春季和冬季NDVI变化对降水的变化几乎没有影 响;夏季和秋季均表现为随NDVI的增加,降水减小趋势率呈增加趋势.
[5] Estoque R C, Murayama Y, Myint S W.

Effects of landscape composition and pattern on land surface temperature: An urban heat island study in the megacities of Southeast Asia

[J]. Science of the Total Environment, 2017,577:349-359.

https://doi.org/10.1016/j.scitotenv.2016.10.195      URL      PMID: 27832866      [本文引用: 2]      摘要

61We examined LST's relationship with IS and GS in Bangkok, Jakarta and Manila.61On average, the mean LST of IS is about 3°C higher than that of GS.61LST had a significant strong correlation with IS and GS along urban-rural gradient.61LST's correlation with IS density increases in larger grids (smaller grids for GS).61Aggregation of IS and GS had consistent significant strong correlation with LST.
[6] Deng Y, Wang S, Bai X, et al.

Relationship among land surface temperature and LUCC, NDVI in typical karst area

[J]. Scientific Reports, 2018,8(1):641-653.

https://doi.org/10.1038/s41598-017-19088-x      URL      [本文引用: 1]      摘要

Land surface temperature (LST) can reflect the land surface water-heat exchange process comprehensively, which is considerably significant to the study of environmental change. However, research about LST in karst mountain areas with complex topography is scarce. Therefore, we retrieved the LST in a karst mountain area from Landsat 8 data and explored its relationships with LUCC and NDVI. The results showed that LST of the study area was noticeably affected by altitude and underlying surface type. In summer, abnormal high-temperature zones were observed in the study area, perhaps due to karst rocky desertification. LSTs among different land use types significantly differed with the highest in construction land and the lowest in woodland. The spatial distributions of NDVI and LST exhibited opposite patterns. Under the spatial combination of different land use types, the LST DVI feature space showed an obtuse-angled triangle shape and showed a negative linear correlation after removing water body data. In summary, the LST can be retrieved well by the atmospheric correction model from Landsat 8 data. Moreover, the LST of the karst mountain area is controlled by altitude, underlying surface type and aspect. This study provides a reference for land use planning, ecological environment restoration in karst areas.
[7] 刘建文,周玉科.

站点尺度的青藏高原时序NDVI重构方法比较与应用

[J].地理科学进展,2018,37(3):427-437.

https://doi.org/10.18306/dlkxjz.2018.03.013      URL      [本文引用: 1]      摘要

基于卫星遥感的植被指数时序数据广泛应用于植被覆盖监测、生物量反演等多个研究领域,但由于传感器本身、大气条件、环境特征等因素引起的噪声会影响数据的应用效果,因此开展植被指数时序数据重构研究具有实际意义。本文基于2000-2015年MODIS归一化差异植被指数(NDVI)数据,采用三次样条函数法、双逻辑斯蒂函数法和奇异谱分析法3种常用方法,对青藏高原106个气象站点所在的典型覆被NDVI时序数据进行重构,并以植被物候信息提取作为应用,比较分析了3种算法的保真性、细节拟合能力及物候特征提取效果。研究表明,D-L及Spline函数分别对受冰雪及云层影响较大(荒漠、灌木、林地)及较小的覆被类型(草原、农作物)表现出较好的细节拟合能力;SSA方法拟合能力较差,易出现NDVI重构曲线整体"下移"的现象,造成峰值拟合结果偏低,并且表现出NDVI绝对值越小拟合效果越差的现象。从保持原始数据真值的能力来看,受噪声点影响较大的覆被类型(林地、灌木、草原)Spline函数略优于D-L函数法;而林地类型中SSA方法表现优于D-L函数法。从物候信息提取结果来看,D-L函数法所提取的生长季稍有提前,Spline函数及SSA方法分别表现出生长季开始点及结束点滞后的现象,灌木、林地类型表现出明显的年际波动变化的特征,荒漠类型由于NDVI绝对值偏低,3种方法物候提取结果一致性表现出锯齿状不规则波动。此外,D-L方法生长季开始期(SOS)和生长季结束期(EOS)在各覆被区均小于其他方法,波动较大;SSA方法提取的EOS在大部分覆被地区大于其他方法;Spline提取结果的年际波动与SSA高度相似。该研究可为高原植被不同覆被类型下NDVI时序数据噪声去除的方法选择提供借鉴。

[ Liu J W, Zhou Y K.

Comparison and application of NDVI time-series reconstruction methods at site scale on the Tibetan Plateau

[J]. Progress in Geography, 2018,37(3):427-437. ]

https://doi.org/10.18306/dlkxjz.2018.03.013      URL      [本文引用: 1]      摘要

基于卫星遥感的植被指数时序数据广泛应用于植被覆盖监测、生物量反演等多个研究领域,但由于传感器本身、大气条件、环境特征等因素引起的噪声会影响数据的应用效果,因此开展植被指数时序数据重构研究具有实际意义。本文基于2000-2015年MODIS归一化差异植被指数(NDVI)数据,采用三次样条函数法、双逻辑斯蒂函数法和奇异谱分析法3种常用方法,对青藏高原106个气象站点所在的典型覆被NDVI时序数据进行重构,并以植被物候信息提取作为应用,比较分析了3种算法的保真性、细节拟合能力及物候特征提取效果。研究表明,D-L及Spline函数分别对受冰雪及云层影响较大(荒漠、灌木、林地)及较小的覆被类型(草原、农作物)表现出较好的细节拟合能力;SSA方法拟合能力较差,易出现NDVI重构曲线整体"下移"的现象,造成峰值拟合结果偏低,并且表现出NDVI绝对值越小拟合效果越差的现象。从保持原始数据真值的能力来看,受噪声点影响较大的覆被类型(林地、灌木、草原)Spline函数略优于D-L函数法;而林地类型中SSA方法表现优于D-L函数法。从物候信息提取结果来看,D-L函数法所提取的生长季稍有提前,Spline函数及SSA方法分别表现出生长季开始点及结束点滞后的现象,灌木、林地类型表现出明显的年际波动变化的特征,荒漠类型由于NDVI绝对值偏低,3种方法物候提取结果一致性表现出锯齿状不规则波动。此外,D-L方法生长季开始期(SOS)和生长季结束期(EOS)在各覆被区均小于其他方法,波动较大;SSA方法提取的EOS在大部分覆被地区大于其他方法;Spline提取结果的年际波动与SSA高度相似。该研究可为高原植被不同覆被类型下NDVI时序数据噪声去除的方法选择提供借鉴。
[8] Cai Z, Jönsson P, Jin H, et al.

Performance of smoothing methods for reconstructing NDVI time-series and estimating vegetation phenology from MODIS data

[J]. Remote Sensing, 2017,9(12):1271-1289.

https://doi.org/10.3390/rs9121271      URL      [本文引用: 1]      摘要

Many time-series smoothing methods can be used for reducing noise and extracting plant phenological parameters from remotely-sensed data, but there is still no conclusive evidence in favor of one method over others. Here we use moderate-resolution imaging spectroradiometer (MODIS) derived normalized difference vegetation index (NDVI) to investigate five smoothing methods: Savitzky-Golay fitting (SG), locally weighted regression scatterplot smoothing (LO), spline smoothing (SP), asymmetric Gaussian function fitting (AG), and double logistic function fitting (DL). We use ground tower measured NDVI (10 sites) and gross primary productivity (GPP, 4 sites) to evaluate the smoothed satellite-derived NDVI time-series, and elevation data to evaluate phenology parameters derived from smoothed NDVI. The results indicate that all smoothing methods can reduce noise and improve signal quality, but that no single method always performs better than others. Overall, the local filtering methods (SG and LO) can generate very accurate results if smoothing parameters are optimally calibrated. If local calibration cannot be performed, cross validation is a way to automatically determine the smoothing parameter. However, this method may in some cases generate poor fits, and when calibration is not possible the function fitting methods (AG and DL) provide the most robust description of the seasonal dynamics.
[9] 臧琳,宋冬梅,单新建,.

基于被动微波与时空联合算法的云下像元LST重建

[J].遥感技术与应用,2016,31(4):764-772.

https://doi.org/10.11873/j.issn.1004-0323.2016.4.0764      Magsci      [本文引用: 1]      摘要

地表温度作为衡量地球表面水热平衡的关键参数,具有两大时空分布特征:第一,空间分布一致性,即属性相近的像元地表温度与其地表亮温间的相关关系相对稳定;第二,时间序列周期性,且同一地区时间越接近地表温度值越相似。基于这两大特征将空间统计模型与时间序列滤波相结合,提出了用于云下像元地表温度重建的时空联合算法。以2008年MODIS地表温度产品为研究对象,采用Landsat TM数据和AMSR_E地表亮温数据重建中国9个省份的地表温度值,并与基于MODIS地表分类产品的多通道统计模型重建结果进行对比。实验结果表明,所提算法实用性强,能有效实现大面积复杂下垫面区域的地表温度重建;平均重建误差约为1.2 K,相较于基于下垫面分类的多通道统计模型下降了76%,算法精度明显提高。

[ Zang L, Song D M, Shan X J, et al.

Reconstruction of LST under the cloud based on passive microwave remote sensing and spatio-temporal domain algorithm

[J]. 2016,31(4):764-772. ]

https://doi.org/10.11873/j.issn.1004-0323.2016.4.0764      Magsci      [本文引用: 1]      摘要

地表温度作为衡量地球表面水热平衡的关键参数,具有两大时空分布特征:第一,空间分布一致性,即属性相近的像元地表温度与其地表亮温间的相关关系相对稳定;第二,时间序列周期性,且同一地区时间越接近地表温度值越相似。基于这两大特征将空间统计模型与时间序列滤波相结合,提出了用于云下像元地表温度重建的时空联合算法。以2008年MODIS地表温度产品为研究对象,采用Landsat TM数据和AMSR_E地表亮温数据重建中国9个省份的地表温度值,并与基于MODIS地表分类产品的多通道统计模型重建结果进行对比。实验结果表明,所提算法实用性强,能有效实现大面积复杂下垫面区域的地表温度重建;平均重建误差约为1.2 K,相较于基于下垫面分类的多通道统计模型下降了76%,算法精度明显提高。
[10] Romshoo S A, Rafiq M, Rashid I.

Spatio-temporal variation of land surface temperature and temperature lapse rate over mountainous Kashmir Himalaya

[J]. Journal of Mountain Science, 2018,15(3):563-576.

https://doi.org/10.1007/s11629-017-4566-x      URL      [本文引用: 1]      摘要

In this study, Land Surface Temperature (LST) and its lapse rate over the mountainous Kashmir Himalaya was estimated using MODIS data and correlated with the observed in-situ air temperature ( Tair)...
[11] 慈晖,张强.

新疆NDVI时空特征及气候变化影响研究

[J].地球信息科学学报,2017,19(5):662-671.

https://doi.org/10.3969/j.issn.1560-8999.2017.05.010      URL      [本文引用: 1]      摘要

基于新疆50个气象测站2003-2010年逐日降水、气温资料,结合逐月归一化植被覆盖影像资料,利用趋势分析、R/S分析、模糊C均值聚类、图像处理等方法,系统分析了全疆NDVI时空变化特征及其可持续性,并探究NDVI与气候因子(气温、降水)之间的相关性.研究表明:植被覆盖及气象因子年际间差异不大,呈现出整体稳定的态势,但年内变化明显.北疆/天山北坡水热条件优良、植被长势最好,且植被长势对气候因子的滞后效应并不明显且滞后时间短.天山南坡/天山东段次之,而南疆植被覆盖程度最差,南疆/天山南坡植被长势对气候因子(降水、气温)存在明显的滞后效应,植被生长受气温、降水限制性更大,且气温作为主要因子,对天山南坡植被生长的限制作用表现得更为突出.总体上,新疆植被覆盖呈持续性变化,现有植被覆盖情况基本保持不变,但呈退化趋势的面积大于得到改善的面积,在一定程度上与人类活动有很大关系,探查植被长势的变化趋势并及时做出相应调整,不仅能为新疆地区的植被保护以及植被恢复工作提供一定的科学依据,更能够为合理有效地安排农作物生产提供重要的理论指导.

[ Ci H, Zhang Q.

Spatio-temporal patterns of NDVI variations and possible relations with climate changes in Xinjiang province

[J]. Journal of Geo-information Science, 2017,19(5):662-671. ]

https://doi.org/10.3969/j.issn.1560-8999.2017.05.010      URL      [本文引用: 1]      摘要

基于新疆50个气象测站2003-2010年逐日降水、气温资料,结合逐月归一化植被覆盖影像资料,利用趋势分析、R/S分析、模糊C均值聚类、图像处理等方法,系统分析了全疆NDVI时空变化特征及其可持续性,并探究NDVI与气候因子(气温、降水)之间的相关性.研究表明:植被覆盖及气象因子年际间差异不大,呈现出整体稳定的态势,但年内变化明显.北疆/天山北坡水热条件优良、植被长势最好,且植被长势对气候因子的滞后效应并不明显且滞后时间短.天山南坡/天山东段次之,而南疆植被覆盖程度最差,南疆/天山南坡植被长势对气候因子(降水、气温)存在明显的滞后效应,植被生长受气温、降水限制性更大,且气温作为主要因子,对天山南坡植被生长的限制作用表现得更为突出.总体上,新疆植被覆盖呈持续性变化,现有植被覆盖情况基本保持不变,但呈退化趋势的面积大于得到改善的面积,在一定程度上与人类活动有很大关系,探查植被长势的变化趋势并及时做出相应调整,不仅能为新疆地区的植被保护以及植被恢复工作提供一定的科学依据,更能够为合理有效地安排农作物生产提供重要的理论指导.
[12] 郭金停,胡远满,熊在平,.

中国东北多年冻土区植被生长季NDVI时空变化及其对气候变化的响应

[J].应用生态学报,2017(8):2413-2422.

https://doi.org/10.13287/j.1001-9332.201708.005      URL      [本文引用: 1]      摘要

多年冻土对气候变化十分敏感,尤其是多年冻土上的植被,易受气候变化影响.东北多年冻土区位于北半球中、高纬度地区,是我国第二大多年冻土区,同时也是欧亚大陆多年冻土带的南缘.本文基于1981—2014年LTDR和MODIS 两种数据集对东北多年冻土区植被生长季归一化植被指数(NDVI)时空变化特征进行分析,同时结合气象数据,分析植被对气候变化的响应.结果表明: 研究期间,东北多年冻土区植被生长季平均NDVI呈显著增加趋势,年增加0.0036.空间逐像元NDVI变化趋势具有明显的空间异质性. 研究区80.6%区域的植被NDVI具有显著增加趋势(<0.05),7.7%的区域呈显著减少趋势(<0.05).不同类型多年冻土区的植被NDVI增加强度不同,依次为连续多年冻土区>不连续多年冻土区>稀疏岛状多年冻土区>季节冻土区,NDVI增加趋势最大值(>0.004)所占的面积比例依次为连续多年冻土区>不连续多年冻土区>稀疏岛状多年冻土区>季节冻土区.多年冻土全区尺度下,植被生长季NDVI与平均气温呈显著正相关关系(=0.79,<0.01),与降水呈较弱的负相关,表明气温是东北多年冻土区植被生长的主控因子.研究区的多年冻土退化对植被生长起到积极的促进作用,尤其是在连续多年冻土区和不连续多年冻土区,植被NDVI增加强度更为剧烈.尽管增加的地表温度可以加快植被生长、增加植被覆盖,但长期来看,多年冻土退化甚至消失会阻碍植被生长.

[ Guo J T, Hu Y M, Xiong Z P, et al.

Spatiotemporal variations of growing-season NDVI and response to climate change in permafrost zone of northeast china

[J]. Chinese Journal of Applied Ecology, 2017(8):2413-2422. ]

https://doi.org/10.13287/j.1001-9332.201708.005      URL      [本文引用: 1]      摘要

多年冻土对气候变化十分敏感,尤其是多年冻土上的植被,易受气候变化影响.东北多年冻土区位于北半球中、高纬度地区,是我国第二大多年冻土区,同时也是欧亚大陆多年冻土带的南缘.本文基于1981—2014年LTDR和MODIS 两种数据集对东北多年冻土区植被生长季归一化植被指数(NDVI)时空变化特征进行分析,同时结合气象数据,分析植被对气候变化的响应.结果表明: 研究期间,东北多年冻土区植被生长季平均NDVI呈显著增加趋势,年增加0.0036.空间逐像元NDVI变化趋势具有明显的空间异质性. 研究区80.6%区域的植被NDVI具有显著增加趋势(<0.05),7.7%的区域呈显著减少趋势(<0.05).不同类型多年冻土区的植被NDVI增加强度不同,依次为连续多年冻土区>不连续多年冻土区>稀疏岛状多年冻土区>季节冻土区,NDVI增加趋势最大值(>0.004)所占的面积比例依次为连续多年冻土区>不连续多年冻土区>稀疏岛状多年冻土区>季节冻土区.多年冻土全区尺度下,植被生长季NDVI与平均气温呈显著正相关关系(=0.79,<0.01),与降水呈较弱的负相关,表明气温是东北多年冻土区植被生长的主控因子.研究区的多年冻土退化对植被生长起到积极的促进作用,尤其是在连续多年冻土区和不连续多年冻土区,植被NDVI增加强度更为剧烈.尽管增加的地表温度可以加快植被生长、增加植被覆盖,但长期来看,多年冻土退化甚至消失会阻碍植被生长.
[13] 屈创,殷嘉霖,张海筱.

基于MODIS数据的中国热环境时空变化研究

[J].干旱区资源与环境,2013,27(8):45-51.

URL      [本文引用: 1]      摘要

以2011年1、4、7、10月份的MODIS陆地表面温度产品(MOD11A2)、地表覆盖类型产品(MOD12Q1)为依据,采用GIS的空间分析,方差分析和统计分析方法,研究了中国陆地表面温度(LST)的季节变化规律,以及LST与不同下垫面类型之间的相互关系。结果表明:(1)冬季,整个区域昼夜呈现出陆地表面温度随纬度递减而逐渐上升的趋势;夏季白天,北方大部分地区陆地表面温度要比东南沿海地区高,晚上,则相反。(2)不同下垫面类型对陆地表面温度的影响较为显著,整体表现为,白天,林地、草地、水体、耕地、未利用土地、建设用地的陆地表面温度依次升高;黑夜,水体、林地、草地、耕地、建设用地、未利用土地的陆地表面温度依次降低。这种变化趋势和下垫面类型的热容量性质具有密切的关系。

[ Qu C, Yin J L, Zhang H X.

Spatio-temporal thermal environment in china based on MODIS data

[J]. Journal of Arid Land Resources & Environment, 2013,27(8):45-51. ]

URL      [本文引用: 1]      摘要

以2011年1、4、7、10月份的MODIS陆地表面温度产品(MOD11A2)、地表覆盖类型产品(MOD12Q1)为依据,采用GIS的空间分析,方差分析和统计分析方法,研究了中国陆地表面温度(LST)的季节变化规律,以及LST与不同下垫面类型之间的相互关系。结果表明:(1)冬季,整个区域昼夜呈现出陆地表面温度随纬度递减而逐渐上升的趋势;夏季白天,北方大部分地区陆地表面温度要比东南沿海地区高,晚上,则相反。(2)不同下垫面类型对陆地表面温度的影响较为显著,整体表现为,白天,林地、草地、水体、耕地、未利用土地、建设用地的陆地表面温度依次升高;黑夜,水体、林地、草地、耕地、建设用地、未利用土地的陆地表面温度依次降低。这种变化趋势和下垫面类型的热容量性质具有密切的关系。
[14] Khan J, Wang P, Xie Y, et al.

Mapping MODIS LST NDVI imagery for drought monitoring in Punjab Pakistan

[J]. IEEE Access, 2018,99:19898-19911.

https://doi.org/10.1109/ACCESS.2018.2821717      URL      [本文引用: 1]      摘要

A near-real-time drought monitoring approach termed as vegetation temperature condition index (VTCI) and a geospatial near-real-time coupling (NRTC) approach were applied to investigate drought over the great plain of Punjab, Pakistan. We identified the warm edges (LSTmax) and cold edges (LSTmin) as well as determined and validated the drought on a time series (2003-2008) of satellite EOS MODIS-Aqua data products. We assessed six-years of drought conditions during the winter-wheat-growing seasons and determined the affects of the record-breaking drought during 1998-2002 and its impact on the 2003-2008 periods. The VTCI drought monitoring approach is based on the integration of the normalized difference vegetation index (NDVI) and land surface temperature (LST) for comprehensive coverage of current drought and edges determination. The geospatial NRTC approach, which utilizes the VTCI imagery and daily precipitation data, was used for the validation of drought over five weather-stations. It was established that the VTCI result has a higher correlation coefficient (r) with cumulative precipitation (r = 0.88) in the winter, during the six-year period of the Julian day of year (D-041), whereas the D-169 correlation was found to be negative in the summer, as the thermal boundaries gradually increases, which indicate the seasons and time of the days. The drift finding indicates that the VTCI not only achieves results that are very close to the recent precipitation anomaly but also correlates on the past precipitation. This analysis shows the good sensitivity of the VTCI to soil moisture and precipitation in agricultural areas. Our results suggest the capability of the VTCI for near-real-time drought monitoring as a better indicator of vegetation and thermal conditions over the regions in both rainfed and irrigated covenant areas.
[15] Mühlbauer S, Costa A C, Caetano M.

A spatiotemporal analysis of droughts and the influence of north Atlantic Oscillation in the Iberian Peninsula based on MODIS imagery

[J]. Theoretical & Applied Climatology, 2016,124(3-4):703-721.

https://doi.org/10.1007/s00704-015-1451-9      URL      [本文引用: 1]      摘要

Drought is among the least understood natural hazards and requires particular notice in the context of climate change. While the Mediterranean climate is by itself prone to droughts, a rise of temperatures and alteration of rainfall patterns already render the southern parts of continental Portugal and Spain highly susceptible to desertification. Precipitation in the Iberian Peninsula is mainly controlled by the large-scale mode of North Atlantic Oscillation (NAO) and is distributed with elevated variability over the cold months. Most drought studies of this region rely on meteorological data or apply information on vegetation dynamics, such as the Normalised Differenced Vegetation Index (NDVI), to indirectly investigate droughts. This paper evaluates the influence of the NAO winter index on the spatiotemporal occurrence of droughts in the Iberian Peninsula during the spring and summer seasons (March to August) for the years 2001-2005, 2007 and 2010. We applied the Vegetation Temperature Condition Index (VTCI) to identify local droughts. VTCI is a remote sensing drought index developed for reflecting soil moisture conditions in agricultural areas and combines information on land surface temperature (LST) and NDVI. As such, VTCI overcomes the shortcomings of NDVI in terms of drought monitoring. We derived biweekly information on LST and NDVI from MODIS/Terra and produced VTCI-NAO correlation maps at a confidence level of at least 90 % based on the VTCI time series. The results reflect a typical Mediterranean pattern in most parts of Iberia that is highly influenced by relief. Spring seasons are marked by great variability of precipitation, while summers persistently become dry, particularly in the south. NAO exerts its greatest influence in April and June, clearly delineating high correlation areas in the northwest and southeast with reverse patterns between the spring and early summer months. Due to the impact on water availability, the spring months are important for plant growth. At the same time, agricultural lands were found with types of land cover less resilient to droughts. The knowledge acquired in studies like the one reported here is therefore likely to be used in drought warning models for agriculture in spring.
[16] Li P, Peng C, Wang M, et al.

Dynamics of vegetation autumn phenology and its response to multiple environmental factors from 1982 to 2012 on Qinghai-Tibetan Plateau in China

[J]. Science of the Total Environment, 2018,637-638:855-864.

https://doi.org/10.1016/j.scitotenv.2018.05.031      URL      PMID: 29763866      [本文引用: 1]      摘要

Autumn phenological shifts induced by environmental change have resulted in substantial impacts on ecosystem processes. However, autumn phenology and its multiple related controlling factors have not been well studied. In this study, the spatiotemporal patterns of the end date of the vegetation growing season (EGS) and their multiple controls (climate change, summer vegetation growth and human activities) over the Qinghai-Tibetan Plateau (QTP) were investigated using the satellite-derived normalized difference vegetation index (NDVI) based on GIMMS3g datasets during 1982–2012. The results showed that there was no significant temporal trend in the EGS during the period of 1982–2012. Spatially, there was a notable advancing trend in the southwest region and a delayed trend in the other regions of the QTP during 1982–2000, and this spatial trend was reversed during 2001–2012. We found average temperature, precipitation and sunshine duration of autumn exerted positive effects on EGS on the QTP, while average temperature and sunshine duration of summer exerted negative effects. Our results indicated that vegetation growth in summer tends to induce an earlier EGS in alpine vegetation, whereas summer vegetation degradation could delay the EGS on the QTP. In contrast, moderate grazing delays vegetation browning in autumn, while overgrazing leads to advancement of grass senescence. This study improves our understanding of how multiple environmental variables jointly affect autumn phenology and highlights the importance of biotic controls for autumn phenology on the QTP.
[17] Sun J, Qin X.

Precipitation and temperature regulate the seasonal changes of NDVI across the Tibetan Plateau

[J]. Environmental Earth Sciences, 2016,75(4):1-9.

https://doi.org/10.1007/s12665-015-4873-x      URL      [本文引用: 1]      摘要

Water conservation is critical under the current state of climate change and population growth; however, water-conservation programs and research in China have generally focused on technological...
[18] 李磊磊,范建容,张茜彧,.

西藏自治区植被与气候变化的关系

[J].山地学报,2017,35(1):9-15.

https://doi.org/10.16089/j.cnki.1008-2786.000190      URL      [本文引用: 2]      摘要

气候变化下植被的时空响应是近年来的研究热点。高海拔西藏地区气候独特多变,研究该区域植被与气候变化的关系具有重要意义。西藏地区的气象站少,利用站点观测资料插值分析误差相对较大,难以准确获得空间连续的数据。本文采用2001~2013年MODIS卫星16天时间序列数据和同期的降雨卫星TRMM数据,利用线性回归和相关性分析法研究西藏地区植被、地表温度和降雨量的时空特征及相关性。研究表明:在2001~2013年间,西藏地区植被与地表温度、降雨量在时间波动和空间分布上具有一致性。植被NDVI逐年增大,植被状况逐渐改善,地表温度总体呈上升趋势,降雨量整体无明显变化,三者年际变化率主要集中在-0.005-0.005/a,-0.05℃-0.15℃/a,-30-40 mm/a。近13年来植被NDVI、地表温度和降雨量的变化区域差异性较大,在西藏中部和东部变化明显。植被NDVI的变化与气候变化(尤其是地表温度上升)密切相关,受降雨明显影响的区域分布在西藏中部,受地表温度明显影响的区域分布在西藏东部和西部。

[ Li L L, Fan J R, Zhang X Y, et al.

Relationships between NDVI and climate changes in Tibet, China

[J]. Mountain Research, 2017,35(1):9-15. ]

https://doi.org/10.16089/j.cnki.1008-2786.000190      URL      [本文引用: 2]      摘要

气候变化下植被的时空响应是近年来的研究热点。高海拔西藏地区气候独特多变,研究该区域植被与气候变化的关系具有重要意义。西藏地区的气象站少,利用站点观测资料插值分析误差相对较大,难以准确获得空间连续的数据。本文采用2001~2013年MODIS卫星16天时间序列数据和同期的降雨卫星TRMM数据,利用线性回归和相关性分析法研究西藏地区植被、地表温度和降雨量的时空特征及相关性。研究表明:在2001~2013年间,西藏地区植被与地表温度、降雨量在时间波动和空间分布上具有一致性。植被NDVI逐年增大,植被状况逐渐改善,地表温度总体呈上升趋势,降雨量整体无明显变化,三者年际变化率主要集中在-0.005-0.005/a,-0.05℃-0.15℃/a,-30-40 mm/a。近13年来植被NDVI、地表温度和降雨量的变化区域差异性较大,在西藏中部和东部变化明显。植被NDVI的变化与气候变化(尤其是地表温度上升)密切相关,受降雨明显影响的区域分布在西藏中部,受地表温度明显影响的区域分布在西藏东部和西部。
[19] 周婷,张寅生,高海峰,.

青藏高原高寒草地植被指数变化与地表温度的相互关系

[J].冰川冻土,2015,37(1):58-69.

https://doi.org/10.7522/j.issn.1000-0240.2015.0006      URL      Magsci      [本文引用: 2]      摘要

<p>为了解脆弱的高原生态环境对升温过程的响应, 利用1982-2006年国家标准地面气象站地表温度和GIMMS-NDVI数据集, 探讨了青藏高原高寒草地植被指数和地表温度的变化特征及其相互关系. 结果表明:1982-2006年, 高寒草地NDVI、地表温度整体均呈现增加趋势, 年均NDVI、生长季NDVI、年最大NDVI(NDVI<sub>max</sub>)与年均地表温度、生长季地表温度的上升趋势分别为0.007 (10a)<sup>-1</sup>、0.011 (10a)<sup>-1</sup>、0.007 (10a)<sup>-1</sup>与0.60 ℃&middot;(10a)<sup>-1</sup>、0.43 ℃&middot;(10a)<sup>-1</sup>; NDVI<sub>max</sub>与地表温度显著相关的地区达70.49%. 但是高原地形、气候、水文环境的空间差异性导致高寒草地NDVI与地表温度的相关关系十分复杂. NDVI<sub>max</sub>与年均地表温度的相关性最为显著; 在返青期和枯萎期, NDVI与地表温度均为显著正相关. 不同的植被覆盖条件下, NDVI对地表温度的响应不同:植被覆盖差以及退化严重的地区, NDVI<sub>max</sub>与地表温度呈负相关性; 反之, NDVI<sub>max</sub>与地表温度主要表现为正相关.</p>

[ Zhou T, Zhang Y S, Gao H F, et al.

Relationship between vegetation index and ground surface temperature on the Tibetan Plateau alpine grassland

[J]. Journal of Glaciology & Geocryology, 2015,37(1):58-69. ]

https://doi.org/10.7522/j.issn.1000-0240.2015.0006      URL      Magsci      [本文引用: 2]      摘要

<p>为了解脆弱的高原生态环境对升温过程的响应, 利用1982-2006年国家标准地面气象站地表温度和GIMMS-NDVI数据集, 探讨了青藏高原高寒草地植被指数和地表温度的变化特征及其相互关系. 结果表明:1982-2006年, 高寒草地NDVI、地表温度整体均呈现增加趋势, 年均NDVI、生长季NDVI、年最大NDVI(NDVI<sub>max</sub>)与年均地表温度、生长季地表温度的上升趋势分别为0.007 (10a)<sup>-1</sup>、0.011 (10a)<sup>-1</sup>、0.007 (10a)<sup>-1</sup>与0.60 ℃&middot;(10a)<sup>-1</sup>、0.43 ℃&middot;(10a)<sup>-1</sup>; NDVI<sub>max</sub>与地表温度显著相关的地区达70.49%. 但是高原地形、气候、水文环境的空间差异性导致高寒草地NDVI与地表温度的相关关系十分复杂. NDVI<sub>max</sub>与年均地表温度的相关性最为显著; 在返青期和枯萎期, NDVI与地表温度均为显著正相关. 不同的植被覆盖条件下, NDVI对地表温度的响应不同:植被覆盖差以及退化严重的地区, NDVI<sub>max</sub>与地表温度呈负相关性; 反之, NDVI<sub>max</sub>与地表温度主要表现为正相关.</p>
[20] 王蕾,张树文,姚允龙.

绿地景观对城市热环境的影响——以长春市建成区为例

[J].地理研究,2014,33(11):2095-2104.

https://doi.org/10.11821/dlyj201411009      URL      [本文引用: 1]      摘要

绿地景观作为城市生态网络中的自然要素,在缓解城市热岛、调节城市气候中发挥着极其重要的作用。以绿地景观为研究对象,基于SPOT5影像提取长春市建成区绿地景观数据,基于TM影像估算地表温度,分析城市绿地景观与地表温度的相关关系,将"植被—不透水面—土壤"模型与具有明确物理意义的线性光谱混合模型相结合估算城市地表植被覆盖度,进一步剖析绿地景观的植被覆盖对城市热环境的影响。结果表明:绿地面积与该块绿地的最低温度负相关性较大,当绿地的面积达到50 hm2之后,面积的增大会使其地表温度显著降低;生产绿地和农业用地的地表温度最低,居住绿地地表温度最高,公园绿地温度受植被状况的影响与其他类型相比更剧烈,常绿树和落叶树的降温效果更好;增加公园绿地、常绿树和落叶树的植被覆盖,对于减缓城市热岛效应具有更好的调节作用。

[ Wang L, Zhang S W, Yao Y L.

The impacts of green landscape on urban thermal environment: A case study in Changchun city

[J]. Geographical Research, 2014,33(11):2095-2104. ]

https://doi.org/10.11821/dlyj201411009      URL      [本文引用: 1]      摘要

绿地景观作为城市生态网络中的自然要素,在缓解城市热岛、调节城市气候中发挥着极其重要的作用。以绿地景观为研究对象,基于SPOT5影像提取长春市建成区绿地景观数据,基于TM影像估算地表温度,分析城市绿地景观与地表温度的相关关系,将"植被—不透水面—土壤"模型与具有明确物理意义的线性光谱混合模型相结合估算城市地表植被覆盖度,进一步剖析绿地景观的植被覆盖对城市热环境的影响。结果表明:绿地面积与该块绿地的最低温度负相关性较大,当绿地的面积达到50 hm2之后,面积的增大会使其地表温度显著降低;生产绿地和农业用地的地表温度最低,居住绿地地表温度最高,公园绿地温度受植被状况的影响与其他类型相比更剧烈,常绿树和落叶树的降温效果更好;增加公园绿地、常绿树和落叶树的植被覆盖,对于减缓城市热岛效应具有更好的调节作用。
[21] 沙莎,郭铌,李耀辉,.

温度植被干旱指数(TVDI)在陇东土壤水分监测中的适用性

[J].中国沙漠,2017,37(1):132-139.

https://doi.org/10.7522/j.issn.1000-694X.2015.00181      URL      [本文引用: 1]      摘要

温度植被干旱指数(TVDI)是利用光学遥感进行干旱监测常用的遥感指数.但前人更多的是利用单时次的遥感数据计算TVDI,这使不同时间TVDI的可比性不高.利用历史遥感数据构建了NDVI-LST(LST,地表温度)、EVI(增强植被指数)-LST、SAVI(土壤调整植被指数)-LST 3种特征空间,讨论了TVDI方法在甘肃省陇东地区的适用性.结果表明:(1)特征空间法可用于甘肃省陇东地区土壤水分的监测,EVI-LST特征空间构建的TVDI与土壤相对湿度RSM的相关性更高;(2)DEM(数字高程模型)对特征空间法有一定的改进作用,LST经过DEM订正后,一方面特征空间干、湿边的拟合程度提高,另一方面TVDI与RSM的相关性得到一定程度的提高;(3)利用历史遥感数据建立的特征空间提高了TVDI的时空可比性:TVDI能够较好的指示出研究区每年RSM的空间分布特征及不同年份间RSM的差异.

[ Sha S, Guo N, Li Y H, et al.

Applicability of TVDI in monitoring drought in Longdong area of Gansu,China

[J]. Journal of Desert Research, 2017,37(1):132-139. ]

https://doi.org/10.7522/j.issn.1000-694X.2015.00181      URL      [本文引用: 1]      摘要

温度植被干旱指数(TVDI)是利用光学遥感进行干旱监测常用的遥感指数.但前人更多的是利用单时次的遥感数据计算TVDI,这使不同时间TVDI的可比性不高.利用历史遥感数据构建了NDVI-LST(LST,地表温度)、EVI(增强植被指数)-LST、SAVI(土壤调整植被指数)-LST 3种特征空间,讨论了TVDI方法在甘肃省陇东地区的适用性.结果表明:(1)特征空间法可用于甘肃省陇东地区土壤水分的监测,EVI-LST特征空间构建的TVDI与土壤相对湿度RSM的相关性更高;(2)DEM(数字高程模型)对特征空间法有一定的改进作用,LST经过DEM订正后,一方面特征空间干、湿边的拟合程度提高,另一方面TVDI与RSM的相关性得到一定程度的提高;(3)利用历史遥感数据建立的特征空间提高了TVDI的时空可比性:TVDI能够较好的指示出研究区每年RSM的空间分布特征及不同年份间RSM的差异.
[22] Cao X, Feng Y, Wang J.

An improvement of the Ts-NDVI space drought monitoring method and its applications in the Mongolian Plateau with MODIS, 2000-2012

[J]. Arabian Journal of Geosciences, 2016,9(6):433-447.

https://doi.org/10.1007/s12517-016-2451-5      URL      [本文引用: 1]      摘要

Surface soil moisture is a key variable to describe water and energy exchanges at the surface/atm interface and measure drought and aridification. The Ts-NDVI space is an effective method to monitor...
[23] Marzban F, Sodoudi S, Preusker R.

The influence of land-cover type on the relationship between NDVI-LST and LST-Tair

[J]. International Journal of Remote Sensing, 2018,39(5):1377-1398.

https://doi.org/10.1080/01431161.2017.1402386      URL      [本文引用: 1]      摘要

The urban heat island effect (UHI) has caught great attention with the fast urbanization processes. UHI leads to the worsening environment due to its contribution to intensely high temperature, particularly in the summer. The effect of summer UHI has been concerned in the whole urban ecological system. Taking Shanghai as an example, two distinct ETM+ remote sensing (RS) images are analyzed to... [Show full abstract]
[24] 李斌,王慧敏,秦明周,.

NDVI、NDMI与地表温度关系的对比研究

[J].地理科学进展,2017,36(5):585-596.

https://doi.org/10.18306/dlkxjz.2017.05.006      URL      [本文引用: 1]      摘要

通过研究归一化植被指数(NDVI)、归一化水汽指数(NDMI)与地表温度(LST)的相关关系,对比NDVI和NDMI定量分析LST的适宜程度。以Landsat 8遥感影像为数据源,以郑汴都市区为例,反演LST,计算NDVI和NDMI。从整体、分区、像元等不同层面分析NDVI和NDMI与LST的相关关系,并利用GEO-Da软件,分析150 m、300 m、450 m三种不同采样间隔数据的NDVI、NDMI与LST的空间相关性。主要结论为:(1)NDVI与LST的线性拟合度较差,而NDMI与LST具有很强的线性关系,剖面分析显示NDMI与LST呈显著负相关关系。(2)缓冲区分析结果表明,随着距城市中心距离的增加,用地类型增多,LST和NDMI之间的相关性逐渐增强。(3)在Moran’s I空间相关性分析中,不同采样间隔下两指数与LST的负相关关系均比较明显,但由于水体在2个指数中数值的差异,使NDMI与LST表现出更强的空间负相关性,而NDVI与LST空间相关性则相对较弱。因此,总的来说NDMI是热环境研究的有效指标,与NDVI相比,NDMI与LST的负相关关系更强、更稳定,也更适宜于对LST的定量分析。

[ Li B, W H M, Qin M Z, et al.

Comparative study on the correlations between NDVI, NDMI and LST

[J]. Progress in Geography, 2017,36(5):585-596. ]

https://doi.org/10.18306/dlkxjz.2017.05.006      URL      [本文引用: 1]      摘要

通过研究归一化植被指数(NDVI)、归一化水汽指数(NDMI)与地表温度(LST)的相关关系,对比NDVI和NDMI定量分析LST的适宜程度。以Landsat 8遥感影像为数据源,以郑汴都市区为例,反演LST,计算NDVI和NDMI。从整体、分区、像元等不同层面分析NDVI和NDMI与LST的相关关系,并利用GEO-Da软件,分析150 m、300 m、450 m三种不同采样间隔数据的NDVI、NDMI与LST的空间相关性。主要结论为:(1)NDVI与LST的线性拟合度较差,而NDMI与LST具有很强的线性关系,剖面分析显示NDMI与LST呈显著负相关关系。(2)缓冲区分析结果表明,随着距城市中心距离的增加,用地类型增多,LST和NDMI之间的相关性逐渐增强。(3)在Moran’s I空间相关性分析中,不同采样间隔下两指数与LST的负相关关系均比较明显,但由于水体在2个指数中数值的差异,使NDMI与LST表现出更强的空间负相关性,而NDVI与LST空间相关性则相对较弱。因此,总的来说NDMI是热环境研究的有效指标,与NDVI相比,NDMI与LST的负相关关系更强、更稳定,也更适宜于对LST的定量分析。
[25] Park H S, Sohn B J.

Recent trends in changes of vegetation over east Asia coupled with temperature and rainfall variations

[J]. Journal of Geophysical Research Atmospheres, 2010,115(D14):14101-14113

https://doi.org/10.1029/2009JD012752      URL      [本文引用: 1]      摘要

[1] In this study, we investigated whether long-term normalized difference vegetation index (NDVI) data show climate change signals after the mid-1990s which are inferred from other studies on changing trends in precipitation and dust frequencies. In doing so, mean NDVI data for the growing seasons (April090009October) from 1982 to 2006 were used for examining the spatiotemporal variations in the vegetation over East Asia, in conjunction with precipitation and temperature data. Results indicate that there was a prominent change in the trend of NDVI around the mid-1990s: a pronounced positive trend over most of the East Asian domain before the mid-1990s (19820900091996) and a reverse (or weakened) trend after the mid-1990s (19970900092006). The reverse trend is evident over the higher-latitude regions north of 5000°N and the eastern Mongolian border area. The EOF and SVD analysis suggest that the dominant warming trend until the mid-1990s led to the increased NDVI over the high-latitude regions. However, after the mid-1990s, the reverse NDVI trend found primarily in the east of Lake Baikal and the arid and semiarid regions south of 5000°N seems to be closely linked to local precipitation changes occurred abruptly in the mid-1990s. However, precipitation influences on the reverse NDVI changes are not clear over the high-latitude regions north of 5000°N.
[26] Kawabata A, Ichii K, Yamaguchi Y.

Global monitoring of interannual changes in vegetation activities using NDVI and its relationships to temperature and precipitation

[J]. International Journal of Remote Sensing, 2001,22(7):1377-1382.

https://doi.org/10.1080/01431160119381      URL      [本文引用: 1]      摘要

Interannual trends in annual and seasonal vegetation activities from 1982 to 1990 on a global scale were analysed using the Pathfinder AVHRR Land NDVI data set corrected by utilising desert and high NDVI areas. Climate effects on interannual variations in NDVI were also investigated using temperature and precipitation data compiled from stational observations. In the northern middlehigh latitudes, vegetation activities increased over broad regions because of a gradual rise in temperature. NDVI increases were also detected in the tropical regions, such as western Africa and south-eastern Asia. Plant photosynthetic activities on the other hand, decreased remarkably in some arid and semi-arid areas in the Southern Hemisphere, because annual rainfall decreased during this period.
[27] Peng S S, Piao S, Zeng Z, et al.

Afforestation in China cools local land surface temperature

[C]. Proceedings of the National Academy of Sciences, 2014,111(8):2915-2919.

[本文引用: 1]     

[28] [ , 2016-06-29. ]

URL      [本文引用: 1]     

[29] 福建省森林资源管理总站.

福建省第八次全国森林资源清查及森林资源状况调查报告

[J].福建林业,2014(2):9-10.

https://doi.org/10.3969/j.issn.1003-4382.2014.02.004      URL      [本文引用: 1]      摘要

正一、基本情况国家森林资源清查(简称一类清查)是以省(区、市)为单位,采用世界公认的连续清查方法,依据数理统计原理进行系统布设样地,按统一的技术标准,定期复查样地获取数据,采用统一的计算统计方式,进行处理统计,获得全国森林资源清查成果。福建省作为全国森林资源清查体系的一部分,

[ Fujian forest resource management general station,

Report on the eighth national forest inventory and forest resources survey of Fujian province

[J]. Forestry in Fujian, 2014(2):9-10. ]

https://doi.org/10.3969/j.issn.1003-4382.2014.02.004      URL      [本文引用: 1]      摘要

正一、基本情况国家森林资源清查(简称一类清查)是以省(区、市)为单位,采用世界公认的连续清查方法,依据数理统计原理进行系统布设样地,按统一的技术标准,定期复查样地获取数据,采用统一的计算统计方式,进行处理统计,获得全国森林资源清查成果。福建省作为全国森林资源清查体系的一部分,
[30] Krishnan S R, Seelamantula C S.

On the selection of optimum Savitzky-Golay filters

[J]. IEEE Transactions on Signal Processing, 2013,61(2):380-391.

https://doi.org/10.1109/TSP.2012.2225055      URL      [本文引用: 1]     

[31] 边金虎,李爱农,宋孟强,.

MODIS植被指数时间序列Savitzky-Golay滤波算法重构

[J].遥感学报,2010,14(4):725-741.

https://doi.org/10.3724/SP.J.1011.2010.01138      URL      Magsci      [本文引用: 1]      摘要

利用Savitzky-Golay(S-G)滤波方法对若尔盖高原湿地区2000-2009年MODIS 16d最大值合成的NDVI时间序列数据进行了重构,并与中值迭代滤波法、傅里叶变换法进行了比较.结果表明,基于S-G滤波的时间序列重构方法重构后的NDVI时间序列在直观及像元的时间序列曲线上均取得了较好的效果,对提高该数据产品质量有很大帮助,通过该方法重构后的高质量的NDVI时间序列对利用该数据源对若尔盖湿地生态系统监测提供了良好的基础.

[ Bian J H, Li A N, Song M Q, et al.

Reconstruction of NDVI time-series datasets of MODIS based on Savitzky-Golay filter

[J]. Journal of Remote Sensing, 2010.14(4):725-741. ]

https://doi.org/10.3724/SP.J.1011.2010.01138      URL      Magsci      [本文引用: 1]      摘要

利用Savitzky-Golay(S-G)滤波方法对若尔盖高原湿地区2000-2009年MODIS 16d最大值合成的NDVI时间序列数据进行了重构,并与中值迭代滤波法、傅里叶变换法进行了比较.结果表明,基于S-G滤波的时间序列重构方法重构后的NDVI时间序列在直观及像元的时间序列曲线上均取得了较好的效果,对提高该数据产品质量有很大帮助,通过该方法重构后的高质量的NDVI时间序列对利用该数据源对若尔盖湿地生态系统监测提供了良好的基础.
[32] 顾祝军,曾志远,史学正,.

基于ETM+图像的植被覆盖度遥感估算模型

[J].生态环境学报,2008,17(2):771-776.

https://doi.org/10.3969/j.issn.1674-5906.2008.02.063      URL      [本文引用: 1]      摘要

植被覆盖度(VFC)的定量遥感足多种地表过程研究的迫切需要。文章选用南京市一幅Landsat7ETM+图像,经大气校正后提取了归一化植被指数(NDVI),与地而实测的植被覆盖度进行回归分析,建立了1~4次多项式关系模型。结果表明,NDVI与VFC呈极碾著的正相关关系(r=0.874,P〈0.001)。在NDVI-VFC的1~4次多项式关系模型中,模型幂次越高,拟合程度越好。综合考虑模型的精度和稳定性,3次多项式模型作为最优模型推荐使用:VFC=-1.3438NDVI3+0.9774NDVI2+0.9988NDVI+0.1507(R^2=0.7961,RMSE=0.1094),该模型精度在植被中等密集区域(VFC=0.4~0,8)最高,植被稀疏区域(VFC〈0.4)最低,植被密集区域(VFC〉0.8)居中。模型可直接用于全图像的VFC计算,并可通过植被指数的校准,进行推广使用。

[ Gu Z J, Zeng Z Y, Shi X Z, et al,

A model calculating vegetation fractional coverage from ETM+imagery

[J]. Ecology and enVironmeflt. 2008,17(2):771-776. ]

https://doi.org/10.3969/j.issn.1674-5906.2008.02.063      URL      [本文引用: 1]      摘要

植被覆盖度(VFC)的定量遥感足多种地表过程研究的迫切需要。文章选用南京市一幅Landsat7ETM+图像,经大气校正后提取了归一化植被指数(NDVI),与地而实测的植被覆盖度进行回归分析,建立了1~4次多项式关系模型。结果表明,NDVI与VFC呈极碾著的正相关关系(r=0.874,P〈0.001)。在NDVI-VFC的1~4次多项式关系模型中,模型幂次越高,拟合程度越好。综合考虑模型的精度和稳定性,3次多项式模型作为最优模型推荐使用:VFC=-1.3438NDVI3+0.9774NDVI2+0.9988NDVI+0.1507(R^2=0.7961,RMSE=0.1094),该模型精度在植被中等密集区域(VFC=0.4~0,8)最高,植被稀疏区域(VFC〈0.4)最低,植被密集区域(VFC〉0.8)居中。模型可直接用于全图像的VFC计算,并可通过植被指数的校准,进行推广使用。
[33] Cai Y, Chen G, Wang Y, et al.

Impacts of land vover and seasonal variation on maximum air temperature estimation using MODIS imagery

[J]. Remote Sensing, 2017,9(3):233-247.

https://doi.org/10.3390/rs9030233      URL      [本文引用: 1]      摘要

Daily maximum surface air temperature (Tamax) is a crucial factor for understanding complex land surface processes under rapid climate change. Remote detection of Tamax has widely relied on the empirical relationship between air temperature and land surface temperature (LST), a product derived from remote sensing. However, little is known about how such a relationship is affected by the high heterogeneity in landscapes and dynamics in seasonality. This study aims to advance our understanding of the roles of land cover and seasonal variation in the estimation of Tamax using the MODIS (Moderate Resolution Imaging Spectroradiometer) LST product. We developed statistical models to link Tamax and LST in the middle and lower reaches of the Yangtze River in China for five major land-cover types (i.e., forest, shrub, water, impervious surface, cropland, and grassland) and two seasons (i.e., growing season and non-growing season). Results show that the performance of modeling the Tamax-LST relationship was highly dependent on land cover and seasonal variation. Estimating Tamax over grasslands and water bodies achieved superior performance; while uncertainties were high over forested lands that contained extensive heterogeneity in species types, plant structure, and topography. We further found that all the land-cover specific models developed for the plant non-growing season outperformed the corresponding models developed for the growing season. Discrepancies in model performance mainly occurred in the vegetated areas (forest, cropland, and shrub), suggesting an important role of plant phenology in defining the statistical relationship between Tamax and LST. For impervious surfaces, the challenge of capturing the high spatial heterogeneity in urban settings using the low-resolution MODIS data made Tamax estimation a difficult task, which was especially true in the growing season.
[34] Zeng L, Wardlow B D, Tadesse T, et al.

Estimation of daily air temperature based on MODIS land surface temperature products over the corn belt in the US

[J]. Remote Sensing, 2015,7(1):951-970.

https://doi.org/10.3390/rs70100951      URL      [本文引用: 1]      摘要

Air temperature (Ta) is a key input in a wide range of agroclimatic applications. Moderate Resolution Imaging Spectroradiometer (MODIS) Ts (Land Surface Temperature (LST)) products are widely used to estimate daily Ta. However, only daytime LST (Ts-day) or nighttime LST (Ts-night) data have been used to estimate Tmax/Tmin (daily maximum or minimum air temperature), respectively. The relationship between Tmax and Ts-night, and the one between Tmin and Ts-day has not been studied. In this study, both the ability of Ts-night data to estimate Tmax and the ability of Ts-day data to estimate Tmin were tested and studied in the Corn Belt during the growing season (May–September) from 2008 to 2012, using MODIS daily LST products from both Terra and Aqua. The results show that using Ts-night for estimating Tmax could result in a higher accuracy than using Ts-day for a similar estimate. Combining Ts-day and Ts-night, the estimation of Tmax was improved by 0.19–1.85, 0.37–1.12 and 0.26–0.93 °C for crops, deciduous forest and developed areas, respectively, when compared with using only Ts-day or Ts-night data. The main factors influencing the Ta estimation errors spatially and temporally were analyzed and discussed, such as satellite overpassing time, air masses, irrigation, etc.
[35] 林金煌,陈文惠,祁新华,.

闽三角城市群生态系统格局演变及其驱动机制

[J].生态学杂志,2018,37(1):203-210.

https://doi.org/10.13292/j.1000-4890.201801.036      URL      [本文引用: 1]      摘要

生态安全是城市群社会经济可持续发展的根本保障之一,然而目前城市群生态安全受到巨大的威胁。本文选取2000、2005、2010和2015年Landsat TM/ETM+OLI影像,提取闽三角城市群土地覆盖/生态系统类型数据并结合社会经济要素,从生态系统的面积变动、类型转移和空间格局三方面探讨其空间格局的演变特征与驱动机制。结果表明:2000—2015年,城镇生态系统面积呈正增长态势,森林和农田生态系统呈负增长态势,灌丛、湿地、草地和其他生态系统基本保持稳定,各生态系统面积占比顺序为森林农田城镇灌丛湿地草地其他生态系统;2000—2005年,各生态系统类型之间相互转移强度小;2005—2010年,生态系统相互转移强度大,城镇生态系统的转入量最大,其他生态系统转出量最大;2010—2015年,生态系统相互转移强度也较大,其他生态系统的转出量最大,森林生态系统的转入量最大;2000—2015年,森林生态系统不均匀分布于各区域,农田和城镇生态系统主要分布于中部和东部地区,湿地生态系统的分布与水系基本保持一致,草地、灌丛和其他生态系统分布相对零散,且其景观格局特征基本保持稳定,在斑块数量、斑块密度以及集聚化特征等方面均变化不大,但不同生态系统之间存在显著差异。2000—2015年,闽三角城市群生态系统的空间格局基本保持稳定,而不同生态系统呈现非均衡变化,不同时期各生态系统的转移强度有显著差异。经济与产业发展、城镇化和城市格局变化等对生态系统尤其是森林、农田和城镇生态系统的格局演变具有显著的驱动作用。

[ Lin J H, Chen W H, Qi X H, et al.

Evolution pattern of ecosystem and its driving mechanism in urban agglomeration in Fujian delta region

[J]. Chinese Journal of Ecology, 2018,37(1):203-210. ]

https://doi.org/10.13292/j.1000-4890.201801.036      URL      [本文引用: 1]      摘要

生态安全是城市群社会经济可持续发展的根本保障之一,然而目前城市群生态安全受到巨大的威胁。本文选取2000、2005、2010和2015年Landsat TM/ETM+OLI影像,提取闽三角城市群土地覆盖/生态系统类型数据并结合社会经济要素,从生态系统的面积变动、类型转移和空间格局三方面探讨其空间格局的演变特征与驱动机制。结果表明:2000—2015年,城镇生态系统面积呈正增长态势,森林和农田生态系统呈负增长态势,灌丛、湿地、草地和其他生态系统基本保持稳定,各生态系统面积占比顺序为森林农田城镇灌丛湿地草地其他生态系统;2000—2005年,各生态系统类型之间相互转移强度小;2005—2010年,生态系统相互转移强度大,城镇生态系统的转入量最大,其他生态系统转出量最大;2010—2015年,生态系统相互转移强度也较大,其他生态系统的转出量最大,森林生态系统的转入量最大;2000—2015年,森林生态系统不均匀分布于各区域,农田和城镇生态系统主要分布于中部和东部地区,湿地生态系统的分布与水系基本保持一致,草地、灌丛和其他生态系统分布相对零散,且其景观格局特征基本保持稳定,在斑块数量、斑块密度以及集聚化特征等方面均变化不大,但不同生态系统之间存在显著差异。2000—2015年,闽三角城市群生态系统的空间格局基本保持稳定,而不同生态系统呈现非均衡变化,不同时期各生态系统的转移强度有显著差异。经济与产业发展、城镇化和城市格局变化等对生态系统尤其是森林、农田和城镇生态系统的格局演变具有显著的驱动作用。

/