地球信息科学学报  2019 , 21 (6): 898-906 https://doi.org/10.12082/dqxxkx.2019.190013

遥感科学与应用技术

基于随机森林的光子计数激光雷达点云滤波

陈博伟1, 庞勇1*, 李增元1, 卢昊2, 梁晓军1

1. 中国林业科学研究院资源信息研究所,北京 100091
2. 北京林业大学信息学院,北京 100083

Photon-Counting LiDAR Point Cloud Data Filtering based on the Random Forest Algorithm

CHEN Bowei1, PANG Yong1*, LI Zengyuan1, LU Hao2, LIANG Xiaojun1

1. Institute of Forest Resource Information Techniques, Chinese Academy of Forestry, Beijing 100091, China
2. College of Information Science and Technology, Beijing Forestry University, Beijing 100083, China

通讯作者:  *通讯作者:庞 勇(1976-),男,安徽阜阳人,研究员,主要从事主动遥感机理建模和森林参数定量反演、森林生物量计量等方面的研究。E-mail: pangy@ifrit.ac.cn

收稿日期: 2019-01-8

修回日期:  2019-03-25

网络出版日期:  2019-06-15

版权声明:  2019 《地球信息科学学报》编辑部 《地球信息科学学报》编辑部 所有

基金资助:  国家自然科学基金项目(41871278)陆地生态系统碳监测卫星林业产品地面数据处理及反演技术研究项目(2016K-10)

作者简介:

作者简介:陈博伟(1990-),男,陕西汉中人,博士生,主要从事光子计数激光雷达及波形激光雷达的模拟仿真和林业应用。E-mail: rs.cbw@foxmail.com

展开

摘要

新一代星载激光雷达卫星ICESat-2首次采用了微脉冲光子计数激光雷达技术,由于单光子探测的灵敏性导致数据在大气和地表下层产生了大量噪声,因此对光子计数激光雷达点云数据实现信号和噪声的分离是开展进一步应用研究的前提和基础。本文选择美国俄勒冈州和弗吉尼亚州2个研究区,采用MATLAS数据,根据光子点云数据的特点构造了12个光子点云特征,对所构造的特征利用随机森林进行变量筛选,用机器学习方法对光子点云进行分类,并将建立好的模型推广到整个研究区。研究结果表明,本文构建的分类器分类总精度达到了96.79%,Kappa系数为0.94,平均生产者精度和用户精度分别为97.1%和96.8%。在相对弱噪声、平坦地形区域和强噪声、复杂地形区域都取得较好的分类结果。本文结果显示了基于少量样本通过机器学习的方法构建模型,可以推广到较大范围区域的光子点云分类应用中。

关键词: 随机森林 ; 机器学习 ; 微脉冲光子计数 ; 激光雷达 ; 点云分类

Abstract

The new generation of spaceborne laser satellite ICESat-2 (the Ice, Cloud, and land Elevation Satellite-2) of NASA (National Aeronautics and Space Administration) has adopted a newly designed micropulse photon counting system, which is the very first time that this technology gets applied in the space environment. Thanks to the high sensitivity of single photon detection technology, it can be seen from the currently released data product (both from the airborne simulators and the simulation data) that there is huge noise in the atmosphere and even below the ground. Therefore, preliminary research on these relevant experimental data to investigate the methods for separating signal photons from noise photons are important for the future applications. MATLAS data, which simulate the expected performance of the ICESat-2 ATLAS (Advanced Topographic Laser Altimeter System) instrument, was chosen to test our machine learning-based approach from two test sites in Oregon and Virginia in the United States. We first derived 12 features, such as the kNN (k-Nearest Neighbour) distance, based on the characteristics of photon point clouds data. Then we applied feature selection techniques by ranking variable importance using Random Forest. Three most representative features were chosen according to the variable importance ranking and we built a Random Forest classifier trained by the sample points we had selected. The established models were further applied to the whole study area. The final classification results indicate that the classifier we constructed had good performance to distinguish signal photons from noise photons. In terms of the mean values of the statistical indicators in the test sites, the overall classification accuracy was 96.79%, and the Kappa coefficient was 0.94. The producer and user accuracies were 97.1% and 96.8%, respectively. Additionally, the results show that our method not only worked well on data of relatively lower noise rate on flat terrain surfaces but also achieved good results for those with higher noise rate on complex terrain surfaces. To conclude, our method showes good potential to be applied to larger areas, for especially the classification of the photon counting LiDAR data in the future.

Keywords: random forest ; machine learning ; photon-counting ; LiDAR ; point clouds classification

0

PDF (17508KB) 元数据 多维度评价 相关文章 收藏文章

本文引用格式 导出 EndNote Ris Bibtex

陈博伟, 庞勇, 李增元, 卢昊, 梁晓军. 基于随机森林的光子计数激光雷达点云滤波[J]. 地球信息科学学报, 2019, 21(6): 898-906 https://doi.org/10.12082/dqxxkx.2019.190013

CHEN Bowei, PANG Yong, LI Zengyuan, LU Hao, LIANG Xiaojun. Photon-Counting LiDAR Point Cloud Data Filtering based on the Random Forest Algorithm[J]. Journal of Geo-information Science, 2019, 21(6): 898-906 https://doi.org/10.12082/dqxxkx.2019.190013

1 引言

星载激光雷达具有可刻画垂直信息的优势和获取大范围数据的特点,在大区域大尺度的森林参数定量反演方面具有很大的优势[1,2]。美国宇航局在2003年发射了第一代星载激光雷达ICESat(The Ice, Cloud, and Land Elevation Satellite),卫星上所搭载的GLAS(Geoscience Laser Altimeter System)全波形激光雷达系统获取了大量的全球观测数据并展现了运用激光雷达技术进行在大区域的森林参数估测应用方面的巨大潜力[3,4,5,6,7]。由于激光器故障等原因,该卫星从2009年10月开始停止了数据采集,在此后一直缺少替代的星载激光雷达卫星系统。2018年9月美国宇航局成功发射了第二代ICESat-2卫星,计划在2019年3月之后向全球用户免费分发下载数据。ICESat-2卫星采用的是微脉冲光子计数激光雷达系统ATLAS(Advanced Topographic Laser Altimeter System),该系统在全球是首次应用在星载平台上[8]。ICESat-2卫星主要用于极地冰盖、海冰厚度的测量以及全球生物量的估测等[9],因此对卫星研制期间相关的实验数据进行研究将对未来的林业应用提供重要的参考价值。

目前已经发布的针对ICESat-2卫星的机载实验数据主要包括SIMPL和MABEL数据[10],以及对部分MABEL数据按照ATLAS系统的参数配置仿真模拟得到的MATLAS模拟数据。从发布的几种数据来看,光子计数激光雷达数据和离散回波激光雷达数据在数据外观上具有很高的相似性,光子记录的外观上类似于点云数据[11]。但由于单光子探测的灵敏性,其在探测有效信息时也记录了大量的太阳背景噪声和仪器噪声,尤其当在白天观测时,其受太阳光干扰和大气噪声的影响很大,因此如何解决微脉冲探测机理造成的强背景噪声是利用ICESat-2卫星进行植被应用研究的一大难点[12]。同时,未来星上数据为窄带状的高程剖面点云,现有的三维机载点云滤波算法不能直接应用在ICESat-2的点云数据处理中。

总体来看,光子点云数据的滤波的问题可以等价于对光子点的分类问题,针对分类问题则可以分别从非监督分类和监督分类2种思想进行相关算法设计和实现。目前,针对剖面光子点云的去噪和滤波算法研究并不成熟:Awadallah等[13]将主动轮廓模型引入到栅格化的点云影像中,算法通过对栅格影像进行整体和局部像元信息的分析迭代,泛函分析使曲线能量最小化,结果表明,该方法能较好地包络出包含植被和地形的信息点,但栅格化的过程会损失部分点云信息。Herzfeld等[14]提出了一种基于频数直方图分析的算法,该方法在美国SERC林区通过对光子点云数据进行高噪声模拟,然后在从模拟数据中分离出地面点、植被点和噪声点。Zhang等[15]提出了一种基于改进的椭圆搜索形状的DBSCAN密度聚类算法,对于MABEL数据和不同地形下的模拟数据取得了较好的结果。Gwenzi等[16]针对稀疏植被地区采用了一种基于点云高程统计的密度切割方法。Nie等[17]利用2种光子点云数据成功估测了森林的树冠高度。

上述研究大多是基于非监督分类的思想进行点云数据的滤波工作,而很少有通过特征构造并结合监督分类的相关算法进行光子点云数据信号光子点的提取,由于机器的学习方法在机载和地面激光雷达点云分类中得到了大量应用并取得了较好的结果[18],因此本文针对现有的光子点云的数据特点,提出了一种基于机器学习随机森林分类器的光子点云滤波方法,以实现对光子点云数据进行森林信号和噪声点的分离。

2 研究区概况、数据源与研究方法

2.1 研究区概况

本文选取了美国俄勒冈州和弗吉尼亚州的2个MABEL机载试验飞行区域为研究区,其中弗吉尼亚州研究区为较复杂地形、中等植被覆盖度的森林,俄勒冈州研究区为低植被覆盖度的平坦地形条件。

2.2 数据源

本文的研究数据源为MATLAS植被模拟数据,其是参照星上ATLAS系统的参数配置对机载MABEL飞行数据进行模拟仿真,是目前能公开获取的最接近卫星实际情况的数据。同时NASA为MATLAS数据产品提供了信号和噪声的官方分类结果,本文在后续的信号和噪声的检测结果精度评价中也使用了该分类标签作为精度验证的参考数据。图1为俄勒冈州研究区的MATLAS数据,其沿轨距离为4 km,从图中可看出其地形起伏较大,噪声分布范围从大气一直到地表以下。

图1   强噪声复杂地形的MATLAS数据(美国俄勒冈州)

Fig. 1   MATLAS data with high noise rate on complex terrain surfaces (Oregon site, US)

图2为弗吉尼亚研究区的MATLAS数据,其沿轨距离为12 km。从图中可看出,其地形起伏较平缓,噪声比俄勒冈州的MATLAS数据低一些。

图2   弱噪声平坦地形区的MATLAS数据(美国弗吉尼亚州)

Fig. 2   MATLAS data with low noise rate on flat terrain surfaces (Virginia site, US)

2.3 研究方法

2.3.1 技术流程

本文采用的技术流程(图3)为:① 对光子点云数据按照沿轨距离进行投影;② 然后根据光子点云数据的特点进行特征构造和提取;③ 在此基础上对所构造的特征利用随机森林变量重要排序的结果按照贡献度的大小进行变量筛选,选择贡献度最高的3个变量进行基于机器学习的光子点云分类; ④ 在每个研究区分别选择不同数量的样本进行随机森林模型的构建并讨论样本数量对最终结果的影响,随后将建立好的模型推广到整个研究区; ⑤ 最终将分类结果和NASA官方产品的分类结果进行比较和精度评价。

图3   基于随机森林的光子计数激光雷达点云滤波的总体流程

Fig. 3   Flowchart of the photon-counting LiDAR point clouds filtering algorithm based on random forest

2.3.2 光子点云特征构造

光子点云的特征构造主要参考小光斑激光雷达点云特征和光子点云自身的特点。表1为构造的12个光子点云特征,主要包括:光子点云的沿轨距离,点云高度,10 m窗口范围内每个点与窗口内全部点高度偏度、峰度、均值、中值以及不同的高度分位数的差,光子点的K临近距离(K=3)以及每个点分别与2类时的各自的K-means聚类中心的距离。其中dist.mean是指以每10 m为移动窗口,该窗口范围内每个点与窗口内全部点高度均值的差,与此类似,dist.mean、dist.median、dist.p10、dist.p25、dist.p50、dist.p75、h.kurtosis和h.skewness分别为与该窗口范围内全部点高度中值、高度分位数、偏度和峰度的差。kNNdist3(光子点的K临近距离)是当K值为3时每个点与其领域范围内其他点的KNN(K-Nearest Neighbor)距离值(圆形搜索区域)。dist.kmeans是指当K值为2时(即2个聚类中心),每个点分别与各自对应的K-means聚类中心的距离。

表1   激光雷达光子点云特征

Tab. 1   Features of the photon point clouds

编号特征名称特征定义编号特征名称特征定义
1h光子点云高度7dist.p7510 m窗口范围内每个点与窗口内全部点75%高度分位数的差
2dist.mean10 m窗口范围内每个点与窗口内全部点高度均值的差8h.kurtosis10 m窗口范围内每个点与窗口内全部点高度峰度的差
3dist.median10 m窗口范围内每个点与窗口内全部点高度中值的差9h.skewness10 m窗口范围内每个点与窗口内全部点高度偏度的差
4dist.p1010 m窗口范围内每个点与窗口内全部点10%高度分位数的差10dist光子点云的沿轨距离
5dist.p2510 m窗口范围内每个点与窗口内全部点25%高度分位数的差11kNNdist3光子点的K临近距离(K=3)
6dist.p5010 m窗口范围内每个点与窗口内全部点50%高度分位数的差12dist.kmeans每个点分别与2类时的各自的K-means聚类中心的距离

新窗口打开

在训练随机森林分类器之前需要进行变量筛选,本文利用随机森林变量重要排序的结果,按照贡献度的大小选择贡献度最高的3个变量。之所以选择变量贡献度最高的3个变量进行模型构建主要是因为需要筛选稳定靠前的变量,同时尽可能少的变量保证较高精度,保证模型的泛化能力。

2.3.3 精度评价

本文通过计算混淆矩阵的相关精度指标定量地评价分类结果。选用的验证参考数据为MATLAS数据提供的官方分类标签。对于每一个分类结果,通过混淆矩阵得到分类结果的总精度(Overall Accuracy,OA)、Kappa系数(Kappa coefficient),以及该分类结果中每一类别的用户精度(User Accuracy,UA)、生产者精度(Producer Accuracy,PA)。本文将基于这些精度评价指标,定量的评价基于随机森林分类器的光子点云的分类精度。

3 结果及分析

3.1 实验区分类特征的构造

图4为俄勒冈州研究区基于随机森林的变量重要性排序结果。可以看出,排名前五位的变量分别是:kNNdist3(光子点的K临近距离)、dist.median(10 m窗口范围内每个点与窗口内全部点高度中值的差)、dist.p50(10 m窗口范围内每个点与窗口内全部点50%高度分位数的差)、dist.p25(10 m窗口范围内每个点与窗口内全部点25%高度分位数的差)和dist.mean(10 m窗口范围内每个点与窗口内全部点高度均值的差)。

图4   基于随机森林的重要性排序(强噪声复杂地形区)

Fig. 4   Variable importance ranking based on random forest (high noise rate on complex terrain surfaces)

图5为弗吉尼亚研究区基于随机森林的变量重要性排序结果,可以看出排名前五位的变量分别是:kNNdist3(光子点的K临近距离)、h.kurtosis(10 m窗口范围内每个点与窗口内全部点高度峰度的差)、 h.skewness(10 m窗口范围内每个点与窗口内全部点高度偏度的差)、h(光子点云高度)和dist.median(10 m窗口范围内每个点与窗口内全部点高度中值的差)。

图5   基于随机森林的重要性排序(弱噪声平坦地形区)

Fig. 5   Variable importance ranking based on random forest (low noise rate on flat terrain surfaces)

从以上结果可看出,光子点的K临近距离在 2个研究区的变量重要性排序中具有绝对的重要性,其贡献度均超过20%,说明K临近距离可以很好地表征不同类别的光子在空间上的聚类分布情况。同时,dist.mean(每个点与全部点高度均值的差)和dist.median(每个点与全部点高度中值的差)也均排名也比较靠前,反映出虽然整体噪声水平较高,但是信息点的中心仍然偏向于中心统计变量,如整体的均值和中值。

3.2 机器学习分类结果

图6为俄勒冈州研究区训练样本的分布图,我们一共较均匀地选取了200个涵盖噪声和信号的样本点。利用此前特征筛选的结果选择贡献度最大的前3个变量对200个样本光子点进行训练构建随机森林分类器,最后将构建的分类器应用到全部42 353个光子点上。

图6   强噪声复杂地形区训练样本分布

Fig. 6   Distribution of the training samples with high noise rate on the complex terrain surfaces

强噪声、复杂地形研究区,4 km沿轨距离的 42 353个光子点的整体分类结果如图7(a)所示,可以看出我们构建的随机森林分类器取得了较好的效果。图7(b)显示了其中1000 m长沿轨距离的局部放大显示图,可以看出噪声和信号光子均得到了准确的判定。

图7   强噪声复杂地形区基于随机森林的点云分类结果(美国俄勒冈州)

Fig. 7   Random forest classification result of the complex terrain surfaces with high noise rate (Oregon site, US)

图8为美国弗吉尼亚研究区训练样本的分布图,本文同样也选取了200个涵盖噪声和信号光子的样本。

图8   弱噪声平坦地形区训练样本分布

Fig. 8   Distribution of the training samples with low noise rate on the flat terrain surfaces

在此基础上,利用特征筛选的结果构建随机森林分类器并应用到全部54 215个光子点上,其分类结果如图9所示,可看出随机森林算法依然较准确地识别了长度近12 km条带上的全部光子点云数据。

图9   弱噪声平坦地形区基于随机森林的点云分类结果(美国弗吉尼亚州)

Fig. 9   Random forest classification result of the flat terrain surfaces with low noise rate (Virginia site, US)

图7图9可看出,本文构建的随机森林分类器不仅在相对平坦的地区取得了较好的效果,在地形起伏较大的复杂区域也有很好的识别效果。同时,不仅对于4 km范围内的数据能有很好的分类,对于近12 km范围的数据也能做出较好的分类。

3.3 精度评价

本文对俄勒冈州和弗吉尼亚州的随机森林分类结果同NASA给出的官方数据分类标签进行了精度评价。表2为分类结果精度评价表,其中PA表示生产者精度,UA表示用户精度,OA表示分类结果的总精度,Kappa表示Kappa系数。可以看出对于俄勒冈州研究区,其分类总精度为98.43%,Kappa系数为0.97,噪声和信号的生产者精度分别为98.4%和99.6%,噪声和信号的用户精度分别为99.8%和97.1%;对于弗吉尼亚研究区,其分类总精度为95.14%,Kappa系数为0.90,噪声和信号的生产者精度分别为96.1%和94.3%,噪声和信号的用户精度分别为93.9%和96.4%。

表2   信号光子点分类结果精度评价

Tab. 2   Accuracy assessment of signal photons classification

研究区总光子数/个噪声光子数/个信号光子数/个信噪比类别PA/%UA/%OA/%Kappa系数
俄勒冈州42 35327 20315 1500.56噪声98.499.898.430.97
信号99.697.1
弗吉尼亚54 21525 75528 4601.11噪声96.193.995.140.90
信号94.396.4
均值97.196.896.790.94

新窗口打开

总体而言,随机森林分类器取得了很好的分类结果,就二者的平均统计指标而言,分类总精度为96.79%,Kappa系数为0.94,平均生产者精度和用户精度分别为97.1%和96.8%。显示出本文采用的基于构造光子特征变量结合随机森林分类器的方法,对于光子数据植被信号提取具有较好的效果。

以上为本文选择200个样本时的分类结果,选取的样本数量还不足总光子点数的0.5%(分别为0.47%和0.37%)。为了进一步定量评价选择的样本数量与最终分类结果精度的关系,从4个样本点开始,直到5000个样本点,分别独立地对不同样本数量情况进行随机森林分类器的构建并进行精度评价。

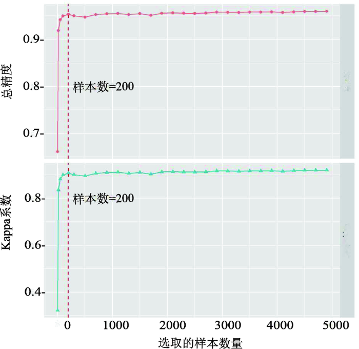
图10展示了弗吉尼亚研究区分类精度随着选择样本数量的变化情况图。可以看出,在开始样本点较少的情况下,其总精度较低,同时Kappa系数在0.4以下,说明了此时构建的分类器不稳定。随着样本数量的增加,无论是分类精度还是Kappa系数都显著增加。当样本点为200时基本达到稳定,之后呈现出饱和的趋势,即随着样本点数从200增加到5000的过程中,其相关的精度指标并没有显著的变化。这说明对于光子点云数据而言,基于小样本数据进行机器学习分类器的构建具有一定的可行性。

图10   弗吉尼亚研究区分类精度随选择样本数量的变化情况

Fig. 10   Sensitivity of the classification result of the Virginia site with regard to different numbers of samples

4 讨论

从对12个光子点云特征筛选的结果可以看出,kNNdist3(光子点的K临近距离)和h.kurtosis(每个点与全部点高度峰度的差)均排名位于第一和第二,具有较大的贡献度,尤其是光子点的K临近距离在变量重要性排序中所占比重最高,分别超过了30%和20%。峰度反映了点云高度分布统计图的尖度,从原始数据图上可以看出,虽然噪声光子数量巨大且分布范围从地上1000 m到地下500 m的整个范围,但是信号光子分布于地表且比较集中。因此距离峰度的远近可以在一定程度上表征信号和噪声光子的区别。同时,通过变量重要性还发现,dist.mean(每个点与全部点高度均值的差)和dist.median(每个点与全部点高度中值的差)也均排位较靠前,也反映出到统计中心的距离远近可以一定程度上描述信号光子的分布特点。

从随机森林分类器的分类结果可以看出,我们仅使用了3个特征,200个人工选择的样本就得到了比较好的分类结果。仅选择变量贡献度最高的3个变量主要是为了尽可能少的变量保证较高精度,保证模型的泛化能力。该分类器不仅对相对弱噪声、平坦地形能取得较好的分类结果,同时对于强噪声、复杂地形的光子数据也能有较好的分类结果。本文测试了4 km范围内的42 353个光子点,同时也测试了12 km范围内的54 215个光子点,表明该分类器也适用于不同的点密度条件。研究结果表明,通过提取光子特征变量来构建随机森林分类器的方法对光子数据植被信号提取具有较好的效果。

进一步的定量评价结果显示,分类结果同NASA给出的官方分类标签的一致性较好。2个研究区的平均分类总精度为96.79%,Kappa系数为0.94,平均生产者精度和用户精度分别为97.10%和96.80%。可以看出,各项评价指标均超过了90%,显示出本文构建的随机森林分类器能很好地从噪声点中识别出信息点。样本数与分类精度关系的定量分析表明,随着样本数量的增加,分类精度也在逐渐增加,当样本数量超过200以后,总体精度和Kappa系数并不再随着样本数量的增加而显著增加,呈现饱和态势,显示出利用小样本光子数据构造机器学习分类器在光子点云分类中的潜在应用潜力。

目前主流的光子去噪算法还是以非监督分类的算法为主,而本文提出的基于机器学习的方法是对监督分类算法的尝试。主流光子去噪算法在 进行算法精度评价时是以可靠的参考数据(如官方的分类标签或人工分类的结果)进行精度分析,因此本文也是通过对比可靠的验证数据(即NASA的分类标签)来进行的精度验证。相对于采用点云 栅格化进而转化为计算机图形学的方法[13]而言,本文提出的方法直接利用点云信息,避免了转化过 程中的精度丢失问题。对比其他的非监督分类方法[14-15,19],本文提出的方法可以以较少的训练样本获得较好的精度结果,不需要进行非监督分类中的参数调优的过程,且一个地区训练得到的模型可以通过对已有模型继续输入新的训练样本来获得一定的推广性。

5 结论

本文提出了一种基于机器学习的光子点云分类方法。首先,根据光子点云数据的特点构造了12个光子点云特征,对所构造的特征利用随机森林进行变量筛选;然后,选择重要度最高的3个典型特征结合人工选择的样本点,采用机器学习的方法对光子点云进行分类,并将建立好的模型推广到整个研究区;最后将随机森林分类结果和NASA官方产品的分类结果进行比较和精度评价。研究结果表明:

(1)本文构造的光子特征中,光子点的K临近距离在2个研究区的变量重要性排序中具有较高的重要性,其贡献度均超过20%。

(2)从2个研究区的随机森林分类结果可以看出,使用少量的样本进行模型训练再推广到大面积区域取得了很好的效果,同时对不同噪声水平和不同地形条件下都有着很好的结果。

(3)相关的定量评价也显示出分类结果同NASA给出的官方分类标签具有很好的一致性,各项指标均超过了90%,显示出基于少量样本通过机器学习的方法进行较大区域的光子点云分类的研究价值。

今后将继续构建新的特征参数变量,如考虑不同地形条件下光子点云的均一化,以及同非监督分类算法和不同机器学习方法之间模型的差异性和推广性。同时,也会考虑对已有的分类类别进行细化(如进一步分离出地面光子点和植被冠层顶部光子点等),实现对光子点云的精细分类。

The authors have declared that no competing interests exist.


参考文献

[1] 庞勇,李增元,陈尔学,.

激光雷达技术及其在林业上的应用

[J].林业科学,2005,41(3):129-136.

https://doi.org/10.11707/j.1001-7488.20050322      Magsci      [本文引用: 1]      摘要

<p>激光雷达是近年来国际上发展十分迅速的主动遥感技术,在森林参数的定量测量和反演上取得了成功的应用。激光雷达具有与被动光学遥感不同的成像机理,对植被空间结构和地形的探测能力很强,特别是对森林高度的探测能力,具有其他遥感数据无法比拟的优势。介绍激光雷达遥感的基本原理、大光斑和小光斑激光雷达系统的特点,对它们在林业上的应用现状进行评述,重点分析激光雷达反演森林参数的方法,对激光雷达的林业应用前景进行分析和展望。</p>

[ Pang Y, Li Z Y, Chen E X, et al.

Lidar remote sensing technology and its application in forestry

[J]. Scientia Silvae Sinicae, 2005,41(3):129-136. ]

https://doi.org/10.11707/j.1001-7488.20050322      Magsci      [本文引用: 1]      摘要

<p>激光雷达是近年来国际上发展十分迅速的主动遥感技术,在森林参数的定量测量和反演上取得了成功的应用。激光雷达具有与被动光学遥感不同的成像机理,对植被空间结构和地形的探测能力很强,特别是对森林高度的探测能力,具有其他遥感数据无法比拟的优势。介绍激光雷达遥感的基本原理、大光斑和小光斑激光雷达系统的特点,对它们在林业上的应用现状进行评述,重点分析激光雷达反演森林参数的方法,对激光雷达的林业应用前景进行分析和展望。</p>
[2] Rosette J, Cook B, Nelson R, et al.

Sensor compatibility for biomass change estimation using remote sensing data sets: Part of NASA's carbon monitoring system initiative

[J]. IEEE Geoscience and Remote Sensing Letters, 2015,12(7):1511-1515.>

[本文引用: 1]     

[3] 付甜,庞勇,黄庆丰,.

亚热带森林参数的机载激光雷达估测

[J].遥感学报,2011,15(5):1092-1104.

https://doi.org/10.11834/jrs.20110150      Magsci      [本文引用: 1]      摘要

通过应用机载激光雷达数据,在分析云南省中部的78块样地的基础上提出2个预测森林不同生物特性的统计模型(加权平均高度的预测模型和生物量的预测模型),并讨论了预测结果及其精确性。从激光雷达数据中提取了2组变量(树冠高度变量组和植被密度变量组)作为自变量,采用逐步回归方法进行自变量选择。结果表明,激光雷达数据与森林的平均树高和地上各部分生物量有很强的相关性。对于3种不同森林类型(针叶林,阔叶林和混交林),平均树高估测均能达到比较高的精度;生物量的估测结果是针叶林优于阔叶林,混交林的生物量与激光雷达数据则没有明显相关性。最后,对回归分析的结果和影响预测精度的因素进行讨论,认为预测结果的精度可能与森林类型、激光雷达采样时间和采样密度以及坐标误差等因素有关。

[ Fu T, Pang Y, Huang Q F, et al.

Prediction of subtropical forest parameters using airborne laser scanner

[J]. Journal of Remote Sensing, 2011,15(5):1092-1104. ]

https://doi.org/10.11834/jrs.20110150      Magsci      [本文引用: 1]      摘要

通过应用机载激光雷达数据,在分析云南省中部的78块样地的基础上提出2个预测森林不同生物特性的统计模型(加权平均高度的预测模型和生物量的预测模型),并讨论了预测结果及其精确性。从激光雷达数据中提取了2组变量(树冠高度变量组和植被密度变量组)作为自变量,采用逐步回归方法进行自变量选择。结果表明,激光雷达数据与森林的平均树高和地上各部分生物量有很强的相关性。对于3种不同森林类型(针叶林,阔叶林和混交林),平均树高估测均能达到比较高的精度;生物量的估测结果是针叶林优于阔叶林,混交林的生物量与激光雷达数据则没有明显相关性。最后,对回归分析的结果和影响预测精度的因素进行讨论,认为预测结果的精度可能与森林类型、激光雷达采样时间和采样密度以及坐标误差等因素有关。
[4] 黄克标,庞勇,舒清态,.

基于ICESatGLAS的云南省森林地上生物量反演

[J].遥感学报,2013,17(1): 65-179.

[本文引用: 1]     

[ Huang K B, Pang Y, Shu Q T, et al.

Aboveground forest biomass estimation using ICESat GLAS in Yunnan, China

[J]. Journal of Remote Sensing, 2013,17(1):65-179. ]

[本文引用: 1]     

[5] 徐新良,曹明奎.

森林生物量遥感估算与应用分析

[J].地球信息科学学报,2006,8(4):122-128.

Magsci      [本文引用: 1]      摘要

遥感图像光谱信息具有良好的综合性和现势性,利用遥感信息和GIS技术进行森林生物量估算及碳过程的研究已经成为一种全新的手段。本文对森林生物量遥感估算方法及其应用进行了深入分析,总结了利用遥感信息进行森林生物量估算的四种主要方法:遥感信息参数与生物量拟合关系的方法、遥感数据与过程模型融合的方法、基准样地法(KNN方法)以及人工神经网络模型方法,并在此基础上分析了当前该领域研究的不足,以及今后利用遥感方法进行森林生物量估算的主要发展方向。

[ Xu X L, Cao M K.

An analysis of the applications of remote sensing method to the forest biomass estimation

[J]. Journal of Geo-information Science, 2006,8(4):122-128. ]

Magsci      [本文引用: 1]      摘要

遥感图像光谱信息具有良好的综合性和现势性,利用遥感信息和GIS技术进行森林生物量估算及碳过程的研究已经成为一种全新的手段。本文对森林生物量遥感估算方法及其应用进行了深入分析,总结了利用遥感信息进行森林生物量估算的四种主要方法:遥感信息参数与生物量拟合关系的方法、遥感数据与过程模型融合的方法、基准样地法(KNN方法)以及人工神经网络模型方法,并在此基础上分析了当前该领域研究的不足,以及今后利用遥感方法进行森林生物量估算的主要发展方向。
[6] 刘洋,刘荣高,陈镜明,.

叶面积指数遥感反演研究进展与展望

[J].地球信息科学学报,2013,15(5):734-743.

https://doi.org/10.3724/SP.J.1047.2013.00734      Magsci      [本文引用: 1]      摘要

叶面积指数表征叶片的疏密程度和冠层结构特征,体现植被光合、呼吸和蒸腾作用等生物物理过程的能力,是描述土壤-植被-大气之间物质和能量交换的关键参数。目前多种卫星传感器观测生成了多个区域和全球的叶面积指数标准产品。本文综述了基于光学遥感数据的叶面积指数反演进展:首先,介绍了叶面积指数的定义和在生态系统模拟中的作用;然后,阐述了基于光学遥感反演叶面积指数的基本原理;在此基础上,论述了基于植被指数经验关系和基于物理模型的两种主要遥感反演算法,讨论了2种算法的优点和存在的问题,并总结了现有的主要全球数据产品及其特点,论述了产品检验的方法和需要注意的问题;最后,总结了当前叶面积指数反演中存在的问题,并展望了其发展趋势和研究方向。

[ Liu X, Liu R G, Chen J M, et al.

Current status and perspectives of leaf area index retrieval from optical remote sensing data

[J]. Journal of Geo-information Science, 2013,15(5):734-743. ]

https://doi.org/10.3724/SP.J.1047.2013.00734      Magsci      [本文引用: 1]      摘要

叶面积指数表征叶片的疏密程度和冠层结构特征,体现植被光合、呼吸和蒸腾作用等生物物理过程的能力,是描述土壤-植被-大气之间物质和能量交换的关键参数。目前多种卫星传感器观测生成了多个区域和全球的叶面积指数标准产品。本文综述了基于光学遥感数据的叶面积指数反演进展:首先,介绍了叶面积指数的定义和在生态系统模拟中的作用;然后,阐述了基于光学遥感反演叶面积指数的基本原理;在此基础上,论述了基于植被指数经验关系和基于物理模型的两种主要遥感反演算法,讨论了2种算法的优点和存在的问题,并总结了现有的主要全球数据产品及其特点,论述了产品检验的方法和需要注意的问题;最后,总结了当前叶面积指数反演中存在的问题,并展望了其发展趋势和研究方向。
[7] Los S O, Rosette J, Kljun N, et al.

Vegetation height prossducts between 60° S and 60° N from ICESat GLAS data

[J]. Geoscientific Model Development, 2012,5:413-432.

[本文引用: 1]     

[8] Markus T, Neumann T, Martino A, et al.

The Ice, Cloud, and land Elevation Satellite-2 (ICESat-2): Science requirements, concept, and implementation

[J]. Remote Sensing of Environment, 2017,190:260-273.

[本文引用: 1]     

[9] Neuenschwander A L, Magruder L A.

The potential impact of vertical sampling uncertainty on ICESat-2/ATLAS terrain and canopy height retrievals for multiple ecosystems

[J]. Remote Sensing, 2016,8(12):1039.

[本文引用: 1]     

[10] McGill M, Markus T, Scott V S, et al.

The multiple altimeter beam experimental Lidar (MABEL): An airborne simulator for the ICESat-2 mission

[J]. Journal of Atmospheric and Oceanic Technology, 2013,30(2):345-352.

[本文引用: 1]     

[11] Brown M E, Arias S D, Neumann T, et al.

Applications for ICESat-2 data: From NASA's early adopter program

[J]. IEEE Geoscience and Remote Sensing Magazine, 2016,4(4):24-37.

[本文引用: 1]     

[12] 夏少波,王成,习晓环,.

ICESat-2机载试验点云滤波及植被高度反演

[J].遥感学报,2014,18(6):1199-1207.

[本文引用: 1]     

[ Xia S B, Wang C, Xi X H, et al.

Point cloud filtering and tree height estimation using airborne experiment data of ICESat-2

[J]. Journal of Remote Sensing, 2014,18(6):1199-1207. ]

[本文引用: 1]     

[13] Awadallah M, Ghannam S, Abbott A L, et al.

Active contour models for extracting ground and forest canopy curves from discrete laser altimeter data

[C]//Proceedings: 13th International Conference on LiDAR Applications for Assessing Forest Ecosystems, 2013:129-136.

[本文引用: 2]     

[14] Herzfeld U C,

McDonald B W, Wallin B F, et al. Algorithm for detection of ground and canopy cover in micropulse photon-counting Lidar altimeter data in preparation for the ICESat-2 mission

[J]. IEEE Transactions on Geoscience and Remote Sensing, 2014,52:2109-2125.

[本文引用: 2]     

[15] Zhang J, Kerekes J.

An adaptive density-based model for extracting surface returns from photon-counting laser altimeter data

[J]. IEEE Geoscience and Remote Sensing Letters, 2015,12(4):726-730.

[本文引用: 2]     

[16] Gwenzi D, Lefsky M A, Suchdeo V P, et al.

Prospects of the ICESat-2 laser altimetry mission for savanna ecosystem structural studies based on airborne simulation data

[J]. ISPRS Journal of Photogrammetry and Remote Sensing, 2016,118:68-82.

[本文引用: 1]     

[17] Nie S, Wang C, Xi X, et al.

Estimating the vegetation canopy height using micro-pulse photon-counting LiDAR data

[J]. Optics express, 2018,26(10):A520-A540.

[本文引用: 1]     

[18] 张继贤,林祥国,梁欣廉.

点云信息提取研究进展和展望

[J].测绘学报,2017,46(10):1460-1469.

[本文引用: 1]     

[ Zang J X, Lin X G, Liang X L.

Advances and prospects of information extraction from point clouds

[J]. Acta Geodaetica et Cartographica Sinica, 2017,46(10):1460-1469. ]

[本文引用: 1]     

[19] Chen B, Pang Y, Li Z, et al.

Ground and top of canopy extraction from photon counting LiDAR data using local outlier factor with ellipse searching area

[J]. IEEE Geoscience and Remote Sensing Letters, in press, doi: 10.1109/LGRS.2019.2899011.

[本文引用: 1]     

/