TRMM降水数据在横断山区的精度

朱国锋, 蒲焘, 张涛, 刘海龙, 张学斌, 梁峰

地理科学 ›› 2013, Vol. 33 ›› Issue (9) : 1125-1131.

PDF(666 KB)
PDF(666 KB)
地理科学 ›› 2013, Vol. 33 ›› Issue (9) : 1125-1131. DOI: 10.13249/j.cnki.sgs.2013.09.1125

TRMM降水数据在横断山区的精度

    {{javascript:window.custom_author_cn_index=0;}}
  • {{article.zuoZhe_CN}}
作者信息 +

The Accuracy of TRMM Precipitation Data in Hengduan Mountainous Region, China

    {{javascript:window.custom_author_en_index=0;}}
  • {{article.zuoZhe_EN}}
Author information +
文章历史 +

本文亮点

{{article.keyPoints_cn}}

HeighLight

{{article.keyPoints_en}}

摘要

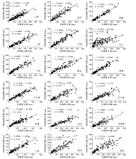
{{article.zhaiyao_cn}}

Abstract

{{article.zhaiyao_en}}

关键词

Key words

本文二维码

引用本文

导出引用
{{article.zuoZheCn_L}}. {{article.title_cn}}[J]. {{journal.qiKanMingCheng_CN}}, 2013, 33(9): 1125-1131 https://doi.org/10.13249/j.cnki.sgs.2013.09.1125
{{article.zuoZheEn_L}}. {{article.title_en}}[J]. {{journal.qiKanMingCheng_EN}}, 2013, 33(9): 1125-1131 https://doi.org/10.13249/j.cnki.sgs.2013.09.1125
中图分类号:

参考文献

参考文献

{{article.reference}}

基金

版权

{{article.copyrightStatement_cn}}
{{article.copyrightLicense_cn}}
PDF(666 KB)

Accesses

Citation

Detail

段落导航
相关文章

/