×
模态框(Modal)标题
在这里添加一些文本
关闭
关闭
提交更改
取消
确定并提交
×
模态框(Modal)标题
×
期刊
文章
图表
检索
EN
中文
首页
关于期刊
期刊介绍
数据库收录
期刊荣誉
编委会
投稿指南
在线期刊
当期目录
优先出版
过刊浏览
推荐文章
专题
按栏目浏览
阅读排行
下载排行
引用排行
E-mail Alert
RSS
期刊订阅
联系我们
EN
中文
图/表 详细信息
1635—2019年通辽地区聚落变迁研究
苏都尔, 那顺达来, 东方杰, 苏布登格日勒, 苏力德, 苏亚拉其其格, 马尚谦
地理科学, 2021, 41(
11
): 2011-2020. DOI:
10.13249/j.cnki.sgs.2021.11.014
图5
1635—2019年通辽地区聚落几何中心变化
本文的其它图/表
图1
通辽地区聚落分布与海拔
图2
2017年通辽人口密度分布
图3
不同年份的通辽地区聚落个数
表1
1635—2019年通辽地区聚落莫兰指数变化
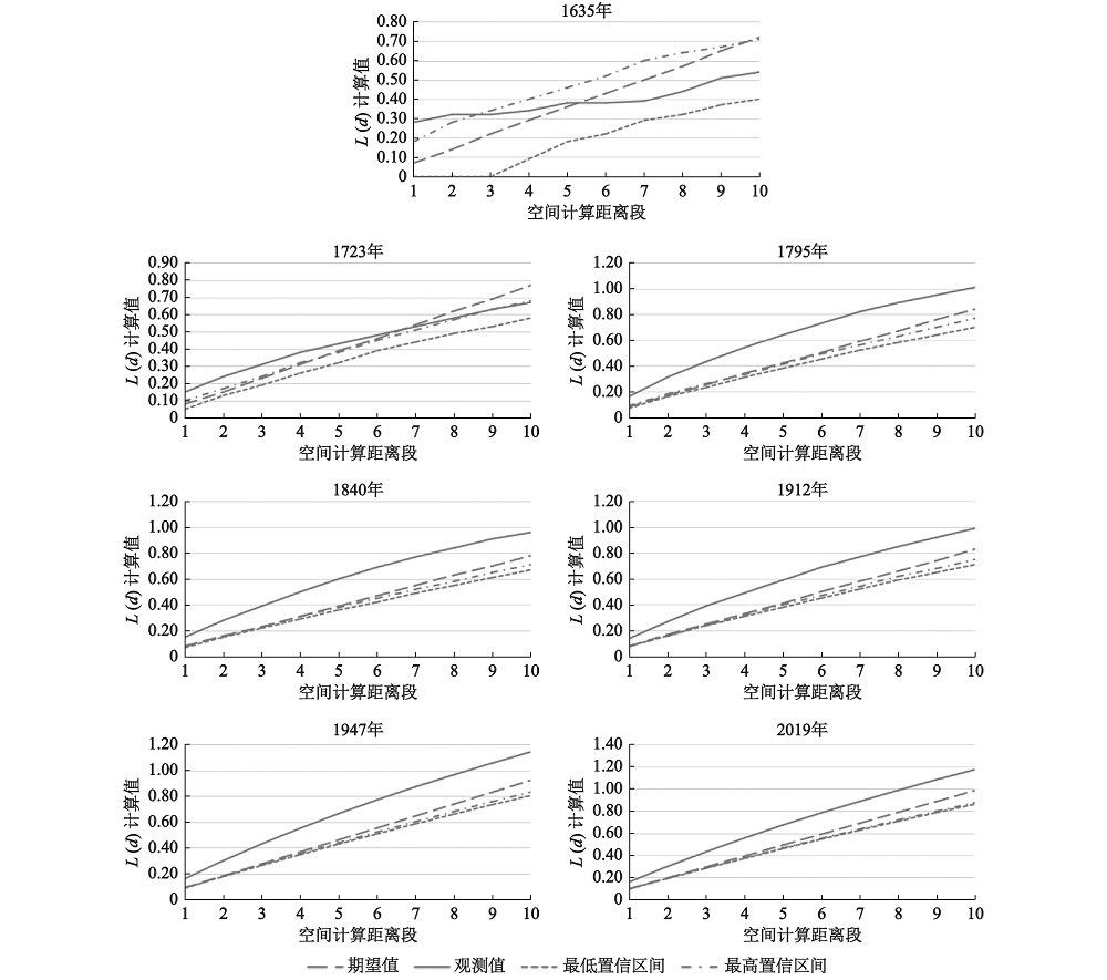
图4
1635—2019年通辽地区聚落Ripley’s
K
函数变化
图6
1635—2019年通辽地区聚落核密度变化