×
模态框(Modal)标题
在这里添加一些文本
关闭
关闭
提交更改
取消
确定并提交
×
模态框(Modal)标题
×
期刊
文章
图表
检索
EN
中文
首页
关于期刊
期刊介绍
数据库收录
期刊荣誉
编委会
投稿指南
在线期刊
当期目录
优先出版
过刊浏览
推荐文章
专题
按栏目浏览
阅读排行
下载排行
引用排行
E-mail Alert
RSS
期刊订阅
联系我们
EN
中文
图/表 详细信息
全球变暖对青藏高原不同补给类型湖泊生产力的影响
张玉枝, 马雪洋, 李倩, 任娇
地理科学, 2024, 44(
2
): 351-358. DOI:
10.13249/j.cnki.sgs.20230175
图1
研究区流域概况及采样位置
a图为 托素湖流域概况,修改自付霞等
[
14
]
,其中红色圆点为本研究钻孔位置,黑色圆点为TSLC14-1孔位置
[
15
]
;b图 为阿翁错流域,修改自Zhang等
[
13
]
本文的其它图/表
图2
托素湖碳酸盐氧同位素记录与区域资料对比
a. 德令哈市1958—2010年降水变化(器测数据,灰色点线)与巴音河径流量变化
[
25
]
(黑色实线);b. 托素湖自1976年以来的湖泊面积变化
[
7
,
26
]
;c. 托素湖TSL17G孔δ
18
O
carb
值变化; d. 德令哈浅层地下水用量
[
23
]
;e. 德令哈农业耗水量
[
22
]
图3
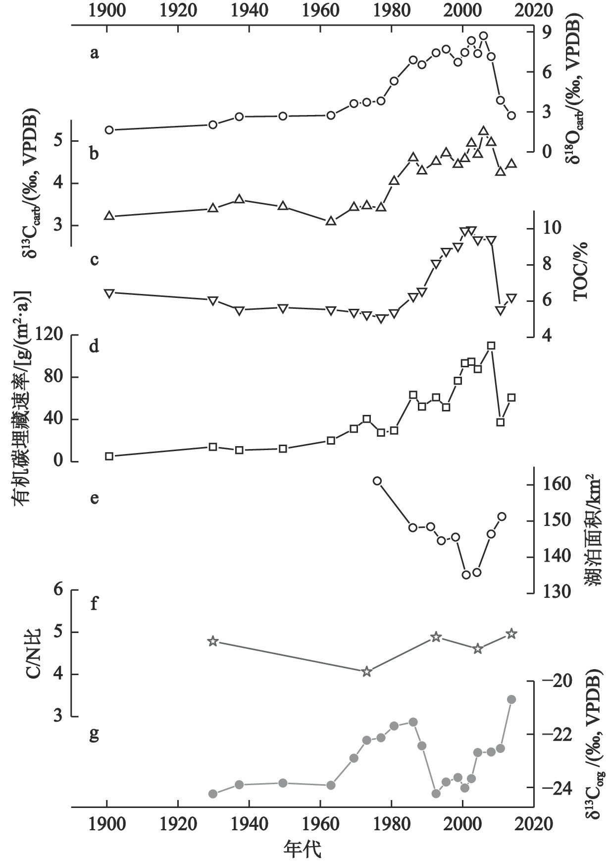
阿翁错AWC2015孔不同指标变化序列
a. 细粒碳酸盐氧同位素(δ
18
O
carb
)值变化;b. 细粒碳酸盐碳同位素(δ
13
C
carb
)值变化;c. TOC含量变化;d. 阿翁错湖泊面积变化
[
13
]
;e. 有机碳埋藏速率变化;f. C/N比;g. 有机碳同位素(δ
13
C
org
)值变化
图4
托素湖TSL17G孔不同指标变化序列
a. 细粒碳酸盐氧同位素(δ
18
O
carb
)值变化;b. 细粒碳酸盐碳同位素(δ
13
C
carb
)值变化;c. TOC含量变化;d. 有机碳埋藏速率;e. 湖泊面积变化
[7, 26]
;f. C/N比;g. 有机碳同位素(δ
13
C
org
)值变化