地理科学  2019 , 39 (3): 516-523 https://doi.org/10.13249/j.cnki.sgs.2019.03.018

大连市大气污染物质量浓度与气溶胶光学厚度的相关性分析

顾吉林, 汤宏山, 刘淼, 耿杨, 于月, 陶涛

辽宁师范大学物理与电子技术学院,辽宁 大连 116029

Correlation Analysis Between the Concentration of Atmospheric Pollutant and Aerosol Optical Depth in Dalian City

Gu Jilin, Tang Hongshan, Liu Miao, Geng Yang, Yu Yue, Tao Tao

School of Physics and Electronic Technology, Liaoning Normal University, Dalian 116029, Liaoning, China

中图分类号:  P404

文献标识码:  A

文章编号:  1000-0690(2019)03-0516-08

收稿日期: 2018-04-27

修回日期:  2018-10-25

网络出版日期:  2019-03-10

版权声明:  2019 《地理科学》编辑部 本文是开放获取期刊文献,在以下情况下可以自由使用:学术研究、学术交流、科研教学等,但不允许用于商业目的.

基金资助:  大连市高层次人才创新支持计划项目(2017RQ141)、国家自然科学基金项目(11547234)、大学生创新创业训练项目(201610165000050, 201710165000104)资助

作者简介:

作者简介:顾吉林(1981-),男,辽宁大连人,博士,硕导,主要研究方向为大气辐射传输特性研究与光电技术检测。E-mail:gujilin2003@163.com

展开

摘要

分别对2015年6~12月和2016年6~12月大连地区的大气污染物PM2.5、PM10、SO2、NO2、CO和O3的浓度数据进行数据统计分析,基于ENVI软件平台利用MODIS数据反演大连地区的气溶胶光学厚度,通过回归建模研究气溶胶光学厚度与大连地区10个地面监测站点的大气污染物PM2.5、PM10、SO2、NO2、CO和O3的浓度数据的相关性。回归建模以气溶胶光学厚度(AOD)为自变量,以大气污染物PM2.5、PM10、SO2、NO2、CO和O3为因变量,在SPSS软件中分别选取线性、对数、三次、乘幂、指数5种函数类型进行研究,通过对比回归模型的拟合优度R2,选择最优拟合模型,探讨利用遥感数据反演气溶胶光学厚度监测大气污染的相关性。结果表明:气溶胶光学厚度与NO2、PM2.5和PM10的最优拟合模型均为三次模型,其拟合优度R2分别是0.685、0.801和0.845;与O3和SO2的最优拟合模型为指数模型,其R2为0.367和0.482;与CO的最优拟合模型为对数模型,其拟合优度R2为0.810。该结果为分析大气气溶胶污染来源以及治理提供了数据。

关键词: 气溶胶光学厚度 ; MODIS ; 大气污染物

Abstract

The development of the economy is restricted by the gradual increase of the quality concentration of the atmospheric pollutant. The concentration data of PM2.5, PM10, SO2, NO2, CO and O3 of the atmospheric pollutant in Dalian were statistically analyzed from June to December in 2015 and from June to December in 2016. The aerosol optical depth in Dalian was inverted base on ENVI software platform and the data of MODIS. The correlation between aerosol optical depth and concentration data of atmospheric pollutant PM2.5, PM10, SO2, NO2, CO and O3 at 10 ground monitoring stations in Dalian City were researched by regression modeling. The aerosol optical depth was used as an independent variable, and atmospheric pollutants PM2.5, PM10, SO2, NO2, CO, and O3 were dependent variables. The types of functions that were linear, logarithmic, cubic, power and exponential in the SPSS software were selected to research. The best-fit model was selected by comparing the goodness of fit R2 of the regression model. The correlation was discussed between atmospheric pollution by using remote sensing data and aerosol optical depth monitoring. The results showed that the optimal fitting model of aerosol optical depth and NO2, PM2.5 and PM10 are all cubic models, and the goodness of fit R2 is 0.685, 0.801 and 0.845 respectively. The optimal fitting model of O3 and SO2 is the exponential model, whose R2 is 0.367 and 0.482. The optimal fitting model of CO is the logarithmic model, and its fitting optimal R2 is 0.810. The results provided the data for the analysis of sources of atmospheric aerosol pollution and governance.

Keywords: Aerosol Optical Depth ; MODIS ; atmospheric pollutant

0

PDF (3925KB) 元数据 多维度评价 相关文章 收藏文章

本文引用格式 导出 EndNote Ris Bibtex

顾吉林, 汤宏山, 刘淼, 耿杨, 于月, 陶涛. 大连市大气污染物质量浓度与气溶胶光学厚度的相关性分析[J]. 地理科学, 2019, 39(3): 516-523 https://doi.org/10.13249/j.cnki.sgs.2019.03.018

Gu Jilin, Tang Hongshan, Liu Miao, Geng Yang, Yu Yue, Tao Tao. Correlation Analysis Between the Concentration of Atmospheric Pollutant and Aerosol Optical Depth in Dalian City[J]. Scientia Geographica Sinica, 2019, 39(3): 516-523 https://doi.org/10.13249/j.cnki.sgs.2019.03.018

PM2.5数据监测网中大气污染物质量浓度包括PM2.5、PM10、SO2、NO2、CO和O3。目前中国大约共有884个监测地点。虽然地面观测站点能够提供时间连续的观察,但是时空分布数据不能良好的完全覆盖,难以反映污染物来源和变化趋势的宏观分布[1]。气溶胶光学厚度(aerosol optical depth, AOD)表示气溶胶的消光系数在垂直方向上的积分,描述了气溶胶对光的衰减作用[2],能反映气溶胶的信息,是研究大气环境和全球气候的关键因子,是评价大气环境变化及研究气溶胶辐射气候效应的重要指标[3,4]。目前全球范围内大气气溶胶的光学厚度可通过卫星数据反演所得,可以准确的得到气溶胶光学厚度的时间分布和空间分布。因此,建立大气污染物质量浓度和AOD之间的联系,对空气质量监测和健康效应研究有重要意义。

随着大气气溶胶特性研究的发展,国内外学者对气溶胶光学厚度的反演和大气污染物质量浓度分析以及他们之间的联系进行了大量的研究。Wang和Engel-Cox等人[5,6]对MODIS AOD与地面监测的PM2.5浓度值进行相关性研究,发现MODIS AOD与对应的PM2.5小时均值以及月均值均有较好的相关性,表明MODIS气溶胶产品可以作为空气质量监测的有效手段,验证了卫星遥感技术在空气质量监测领域的适用性;Keith等人[7]利用气溶胶光学厚度和近地面颗粒污染物的相关数据,分析了研究区域的大气污染状况。国内学者在研究气溶胶光学厚度和大气污染物之间关系方面也做出了相应的贡献。陈良富、刘桂青等人基于MODIS数据分别和近地面PM2.5、PM10、AQI的浓度做了相关性分析,结果表明:基于卫星资料可以获得近地面颗粒物质量浓度,而且细颗粒物质量浓度具有更好的估算精度,可以作为一种污染监测手段[8,9]。通过气溶胶的反演结果推测大气污染物质量浓度,达到利用卫星遥感手段监测空气质量的目的。

本文采用暗像元法[10],基于6S大气传输模型,利用IDL语言在ENVI软件中的程序设计来反演MODIS L1B数据,从而得到气溶胶光学厚度数据。通过对大连市10个监测站的大气污染物质量浓度数据处理与分析[11,12,13,14,15],利用SPSS软件对AOD与大气污染物质量浓度的相关性建立回归模型,从而建立大气污染物质量浓度的时空分布,为大连市大范围内大气气溶胶治理提供数据依据。

1 数据来源

1.1 大气污染物质量浓度数据

大连市位于120°58′~123°31′E,38°43′~40°10′N之间,地处北半球暖温带,属于具有海洋性特点的大陆性季风气候,大风天气多集中在冬季和春季,夏季少见[16]。本文的大气污染物分别是PM2.5、PM10、SO2、NO2、CO和O3这6种颗粒物[17,18],其质量浓度数据来自PM2.5监测网(http://www.pm25china.net),此站点数据源于国家环境空气质量自动监测点,大连市共有10个监测站点,各监测站点经纬度如表1所示。每一个监测站点的大气主要污染物的类型都不同,例如甘井子点位和周水子点位代表大连市工业区的污染状况;星海三站点位代表的是居民区污染状况;青泥洼桥点位代表交通干线的污染状况;七贤岭点位在高新园区供电工区院内,代表的是高新产业区的空气质量。

表1   大连市各监测站点经纬度坐标

Table 1   Latitude and longitude coordinates of monitoring points in Dalian City

监测点经度(E)纬度(N)
甘井子121°31′54″38°57′30″
傅家庄121°37′45″38°52′14″
星海三站121°34′28″38°53′02″
旅顺121°10′11″38°51′17″
开发区121°47′10″39°03′01″
周水子121°34′16″38°57′23″
金州121°46′15″39°02′49″
双D港121°52′21″38°03′57″
七贤岭121°36′53″38°57′50″
青泥洼桥121°38′09″38°54′36″

新窗口打开

1.2 MODIS 遥感数据

中分辨率成像光谱仪(moderate-resolution imaging spectroradiometer, MODIS)是搭载在Terra和Aqua卫星上每天覆盖全球一次的重要传感器,利用其数据可获取AOD。王宏斌等人利用中国地区AERONET地基观测资料对Terra/Aqua MODIS气溶胶产品精度进行验证,提供资料可靠性分析[19]。本文采用的MODIS数据为MOD02 L1B,来源于NASA的官方网(http://ladsweb.naseom.nasa.gov/)。

本文使用ENVI软件打开已做好辐射校正的MODIS文件。数据列表有发射率(Emissive,Band 20-36)、辐射率(Radiance,Band 1-26)和反射率(Reflectance,Band 1-26)3个文件。选择Georeference Modis工具分别对反射率文件和发射率文件进行几何校正并导出GCP控制点文件。利用GCP控制点文件按照顺序依次对卫星天顶角(Sensor Zenith)、卫星方位角(Sensor Azimuth)、太阳天顶角(Solar Zenith)、太阳方位角(Solar Azimuth)角度数据集进行校正,将4个角度数据合成一个角度数据。利用Layer stacking工具对经过几何校正的发射率文件和反射率文件进行波段合成,导入大连市矢量地图对合成后的数据文件进行裁剪,对校正后的角度数据集做同样的裁剪处理。利用IDL编写的程序对发射率与反射率的波段合成结果进行除云处理,以免反射对结果造成影响。MOD02 L1B 1 km中的角度数据是扩大100倍后的,需要利用Band math工具将角度数据集缩小1/100进行还原,然后依次输入处理好的图像数据、角度数据和6S查找表进行AOD反演,6S参数查找表建立需要对太阳的天顶角和方位角、卫星的天顶角和方位角、反演日期以及海拔高度进行设置,选择合适的大气模式,地表类型为朗伯体地表,探测器高度选择在卫星上,探测器的光谱条件输入6S模式中已经给定的MODIS传感器的红通道、蓝通道以及中红外通的对应参数;通过计算结果精度和程序运算速度选择对550 nm气溶胶光学厚度步长为0.05进行计算。利用上述反演过程对2015年8月13日,2016年10月3日大连市气溶胶光学厚度反演,结果如图1所示。

图1   气溶胶反演结果

Fig.1   The result of aerosol optical depth inversion

2 数据处理与结果分析

2.1 AOD数据处理

本文基于MODIS网站(https://ladsweb.modaps.eosdis.nasa.gov/)下载了大连地区2015年6~12月及2016年6~12月共计14个月428 d的卫星遥感数据,以ENVI软件为数据处理平台,采用经典暗像元法对大连地区上空大气AOD进行反演研究,读取每一个监测站点经纬度坐标对应的光学厚度值,记录光学厚度值并将10个站点的数据取均值作为相关性研究的AOD数据。部分数据因传感器在接收数据的过程中会受到多方面噪声因素的影响,经过反演后得到的影像结果质量不佳,也需要剔除掉,筛选后得到172 d的气溶胶光学厚度反演结果数据作为本文研究的有效数据。以2015年6月为例,2015年6月筛选出19 d的AOD数据,其AOD均值数据统计见表2

表2   2015年6月AOD均值数据统计表

Table 2   AOD mean value data in June 2015

日期(月·日)06.0106.0206.0306.0406.0606.0706.0806.0906.1006.11
AOD0.6501.4330.1941.3000.2161.2220.3830.5000.7610.571
日期(月·日)06.1306.1406.1606.1806.1906.2006.2606.2706.28
AOD0.5550.5001.0000.6940.6660.9370.4441.3330.666

新窗口打开

2.2 大气污染物质量浓度数据处理

根据筛选出的AOD有效数据对应的日期整理大连市10个地面监测站点的大气污染物质量浓度数据。本文研究的大气污染物质量浓度数据来自PM2.5实时监测网,分别将10个监测站点的24 h实时监测数据整理取平均得到1 d的数据,再将对应每一天的10个监测站点的数据取平均得到大连市的数据,从而得到6种大气污染物质量浓度数据。分析计算得到1种大气污染物1 d的数据需要统计收集240个采样点;本文整理172 d 这6种大气污染物的数据,共统计收集240×172×6个采样点;以2015年6月为例,筛选出19 d的AOD数据,对应整理出19 d的大气污染物数据,分析计算采样点为27 360个。2015年6月大气污染物质量浓度均值数据统计见表3

表3   2015年6月大气污染物质量浓度数据统计(μg/m3)

Table 3   Statistics result of atmospheric pollutant concentration in June 2015 (μg/m3)

日期PM2.5PM10SO2NO2COO3
2015.06.0168.02456.44113.77726.6750.546131.129
2015.06.0252.54658.23111.77323.6140.54687.009
2015.06.0351.92569.31517.43935.3191.00490.357
2015.06.0475.99588.06825.03239.8510.893119.800
2015.06.0678.74588.91611.33321.3750.953119.981
2015.06.0781.33389.31010.58322.4210.726132.000
2015.06.0857.81451.7179.04122.4720.61590.851
2015.06.0967.90772.42412.30030.3280.80591.231
2015.06.1054.62540.8778.20316.5410.43098.201
2015.06.1154.83733.4588.08018.1250.629109.463
2015.06.1372.36283.64214.98929.7000.981113.998
2015.06.1475.36071.12310.28323.6420.856115.279
2015.06.1673.85973.11611.95538.6000.831110.688
2015.06.1876.05369.2539.25023.6100.699126.549
2015.06.1958.35764.96610.05829.8840.69284.655
2015.06.2055.45945.56810.16922.6340.625102.465
2015.06.2643.72142.7668.00925.5370.59766.465
2015.06.2753.93546.3158.80527.3450.750102.855
2015.06.2863.18853.01410.73524.8950.731112.806

新窗口打开

2.3 大气污染物质量浓度和AOD的相关性分析

SPSS是一个集数据整理和数据分析功能于一体的统计软件,SPSS能够实现大数据量的数据分析,数据分析和统计的功能更多,数据处理的结果更加精准。本文按照“分析-回归-曲线估计”的模式,得出利用各种方法拟合的模型拟合结果和参数估计值。本文的回归建模以AOD为自变量,以PM2.5、PM10、SO2、NO2、CO和O3等大气污染物质量浓度为因变量,将自变量和因变量数据导入SPSS软件中进行回归分析,拟合线性、对数、三次、乘幂、指数5种类型函数进行相关性分析,各函数标准回归拟合方程如表4所示,参数设置以SPSS软件中的字母为准,b0为常数项,b1b2b3分别为各项系数[20]

表4   各函数标准回归拟合方程

Table 4   The standard regression equation of each function

序号拟合模型拟合方程对应的线性方程
1线性y=b0+b1xy=b0+b1x
2对数y=b0+ b1lnxy=b0+b1lnx
3三次y=b0+b1x+b2x2+b3x3
4乘幂y=b0(xb1)lny=lnb0+b1lnx
5指数y=b0eb1xlny=lnb0+b1x

新窗口打开

相关性分析得到模型拟合结果及参数估计的表格,R2为模型的拟合优度,具体指因变量的全部变异中可以通过计算由回归方程被自变量解释的比重[21],即建立的回归模型对观测值的拟合程度,R2越大说明拟合程度越好。Sig.值为概率P值,Sig.小于显著性水平规定的0.01,说明建立回归模型的2个参量之间是极显著相关的,建立的模型具有统计学意义;Sig.小于显著性水平规定的0.05,说明建立回归模型的2个参量之间是显著相关的,模型具有统计学意义;Sig.大于显著性水平规定的0.05,则2个参量之间是不相关的,建立的模型不具有统计学意义。挑选最优拟合模型的前提条件是回归模型具有统计学意义,即满足Sig.小于显著性水平规定的0.05之后,再选择拟合优度最大的,如此挑选出的回归模型为相关性拟合效果最好的。F表示自变量对因变量的解释力度,F值越小说明解释力度越差,此时拟合的模型没有意义。

本文分别将14个月的整合数据导入SPSS软件中进行相关性拟合,每个月的AOD数据分别与6种大气污染物质量浓度数据进行拟合,理想得到84个回归模型,但2016年12月只收集4组数据,数据量过少不具有普遍性,最终得到78个回归模型,按照上述规则筛选出8个具有统计学意义的模型加以分析。

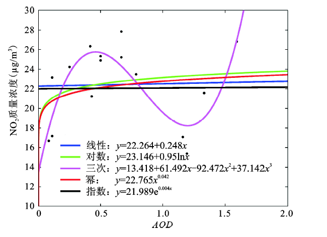
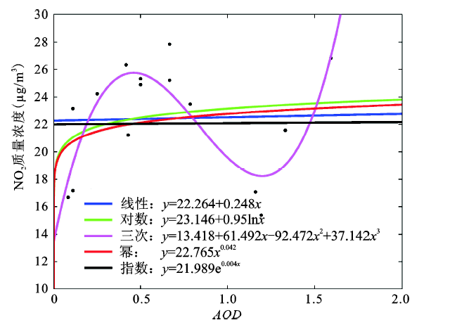
2015年8月共收集15组数据,NO2与AOD对应的散点图和拟合曲线见图2,模型拟合结果及得到的参数估计值见表5。从表中可以看出三次函数模型的Sig.为0.004小于显著性水平规定的0.05,拟合优度R2为0.685,三次函数的拟合方程为:

y=13.418+61.492x-92.472x2+37.142x3(1)

图2   2015年8月NO2与AOD拟合曲线

Fig.2   Fitting curve of NO2 and AOD in August 2015

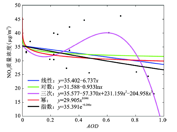
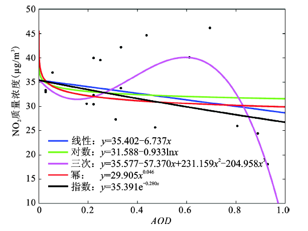
2015年9月共收集19组数据,NO2与AOD对应的散点图和拟合曲线见图3,模型拟合结果及得到的参数估计值见表5。从表中可以看出三次函数的模型满足Sig.小于0.05,R2为0.404,三次函数的拟合方程为:

y=35.577-57.370x+231.159x2-204.958x3(2)

图3   2015年9月NO2与AOD拟合曲线

Fig.3   Fitting curve of NO2 and AOD in September 2015

表5   大气污染物质量浓度与AOD拟合模型参数汇总表

Table 5   The summary table of fitting model parameters between the atmospheric pollutant and AOD

函数2015年8月NO2与AOD拟合
模型参数
2015年9月NO2与AOD拟合
模型参数
2015年10月O3与AOD拟合
模型参数
2015年11月PM2.5与AOD
拟合模型参数
R2FSig.R2FSig.R2FSig.R2FSig.
线性0.0010.0110.9190.0540.9790.3360.3627.3640.0180.0220.1780.684
对数0.0480.6570.4320.0140.2450.6270.2524.3820.0560.0330.2770.613
三次0.6857.9910.0040.4043.3930.0460.3812.2610.1380.8018.0310.016
0.0410.5610.4670.0320.5680.4610.2574.5000.0540.0620.5310.487
指数0.0000.0020.9700.0881.6360.2180.3677.5280.0170.0090.0700.799
函数2015年11月PM10与AOD拟合模型参数2016年6月NO2与AOD拟合
模型参数
2016年8月CO与AOD拟合
模型参数
2016年10月SO2与AOD拟合
模型参数
R2FSig.R2FSig.R2FSig.R2FSig.
线性0.0090.0740.7920.63710.5180.0180.5363.4660.1600.4027.4060.020
对数0.0520.4400.5260.5818.3250.0280.81012.7910.0370.3606.1770.030
三次0.84510.9220.0080.6705.0780.0630.7613.1880.2390.4142.1180.168
0.0890.7780.4040.5858.4430.0270.80212.1170.0400.4157.7940.018
指数0.0010.0060.9420.6239.9030.0200.5463.6090.1540.48210.2200.009

新窗口打开

2015年10月共收集15组数据,O3与AOD对应的散点图和拟合曲线见图4,模型拟合结果及得到的参数估计值见表5。从表中可以看出线性和指数的模型满足Sig.小于0.05,指数函数的拟合优度最高为0.367,指数函数对应的线性拟合方程为:

lny=ln59.586+0.488x(3)

图4   2015年10月O3与AOD拟合曲线

Fig.4   Fitting curve of O3 and AOD in October 2015

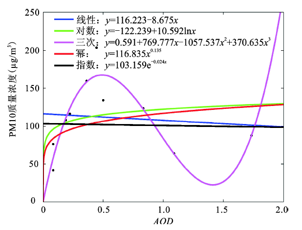
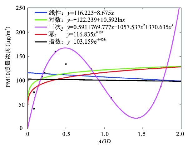
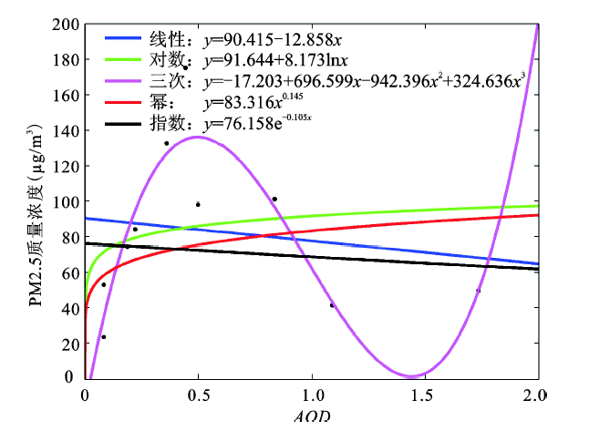
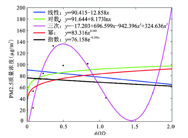
2015年11月共收集10组数据,PM2.5和PM10与AOD对应的散点图和拟合曲线见图5、6,模型拟合结果及得到的参数估计值见表5。从表中可以看出三次函数的模型满足Sig.小于0.05,R2分别为0.801和0.845,三次函数的拟合方程分别为:

y=-17.203+696.599x-942.396x2+324.636x3y=0.591+769.777x-1057.537x2+370.635x3(4)

图5   2015年11月PM2.5与AOD拟合曲线

Fig.5   Fitting curve of PM2.5 and AOD in November 2015

图6   2015年11月PM10与AOD拟合曲线

Fig.6   Fitting curve of PM10 and AOD in November 2015

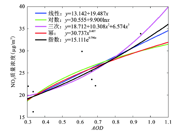
2016年6月共收集8组数据,NO2与AOD对应的散点图和拟合曲线见图7,模型拟合结果及得到的参数估计值见表5。从表中可以看出线性、对数、乘幂、指数的模型满足Sig.小于0.05,线性函数的拟合优度R2最高为0.637,线性函数的拟合方程为:

y=13.142+19.487x(5)

图7   2016年6月NO2与AOD拟合曲线

Fig.7   Fitting curve of NO2 and AOD in June 2016

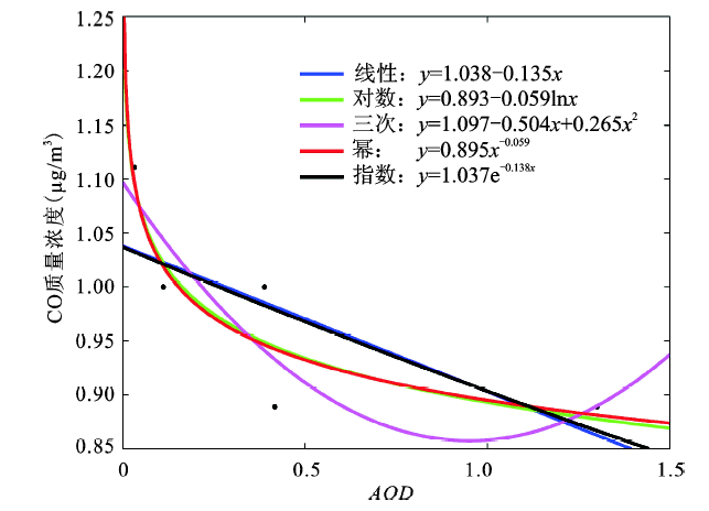
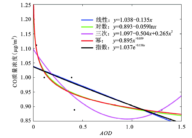
2016年8月共收集5组数据,CO与AOD对应的散点图和拟合曲线见图8,模型拟合结果及得到的参数估计值见表5。从表中可以看出对数和乘幂的模型满足Sig.小于0.05,对数函数的R2最高为0.810,对数函数的拟合方程为:

y=0.893-0.059lnx(6)

图8   2016年8月CO与AOD拟合曲线

Fig.8   Fitting curve of CO and AOD in August 2016

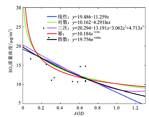
2016年10月共收集到13组数据,SO2与AOD对应的散点图和拟合曲线见图9,模型拟合结果及得到的参数估计值见表5。从表中可以看出线性、对数、乘幂、指数的模型满足Sig.小于0.05,指数函数的R2最高为0.482,指数函数对应的线性拟合方程为:

lny=ln19.756-0.806x(7)

图9   2016年10月SO2与AOD拟合曲线

Fig.9   Fitting curve of SO2 and AOD in October 2016。

3 结论

本文从反演气溶胶光学厚度着手,利用暗像元算法对大连地区的气溶胶光学厚度值进行反演,并经过筛选得到了满足要求的反演结果,从理论上探究了AOD与大气污染物质量浓度的相关关系,建立二者之间的回归模型,并选出最优拟合模型,以期达到利用MODIS卫星遥感数据反演气溶胶光学厚度来预测大气污染物质量浓度的目的。在具有一定统计学意义的前提下,进行回归分析得到如下结果:气溶胶光学厚度与NO2、O3、PM2.5、PM10、CO和SO2均存在较好的相关关系。通过回归分析,证明了气溶胶光学厚度与大气污染物质量浓度存在显著相关性,可以进行回归分析并建立统计模型,为利用遥感数据在大范围内监测大连市大气污染物质量浓度提供依据,为大气气溶胶治理提供基础数据。但本文建立的相关性模型只是单纯的考虑气溶胶光学厚度和大气污染物质量浓度二者之间的关系,若加入其他影响因子,例如季节、气候、湿度和人类活动等多方面因素并加以修正,回归模型的拟合优度可能会进一步提高。

The authors have declared that no competing interests exist.


参考文献

[1] 秦玮,范广强,袁琦.

南京市近地面颗粒物浓度与MODIS气溶胶产品定量关系研究

[J].环境科技,2016,29(4):64-69.

[本文引用: 1]     

[Qin Wei, Fan Guangqiang, Yuan Qi.

Research on quantitative relationship between particulate concentration and MODIS aerosol products in Nanjing City

. Environmental Technology, 2016,29(4):64-69.]

[本文引用: 1]     

[2] 林海峰,辛金元,张文煜,.

北京市大气污染物浓度与气溶胶光学厚度相关性分析研究

[J].环境科学,2013,34(3):826-834.

[本文引用: 1]     

[Lin Haifeng, Xin Jinyuan, Zhang Wenyu et al.

Analysis of correlation between the concentration of particulate matter and aerosol optical thickness in Beijing

. Environmental Science,2013,34(3):826-834.]

[本文引用: 1]     

[3] 郑小波,罗宇翔,赵天良,.

中国气溶胶分布的地理学和气候学特征

[J].地理科学,2012,32(3):265-272.

Magsci      [本文引用: 1]      摘要

中国人口地理分界线——胡焕庸线根据人口、地理,气候和经济等特点把中国(不包括港、澳、台地区)分为东、西两部分。用2000~2010年MODIS大气气溶胶光学厚度(AOD)资料,分析气溶胶分布的地理学和气候学特征后发现,胡焕庸线还可被视为中国气溶胶地理学的分界线,在其两侧气溶胶的性质和浓度都有明显差别。在人口稠密和海拔较低的东部,由人类活动产生的气溶胶为主,年平均AOD约为0.45;在西部,自然过程释放的气溶胶主导的AOD约为0.25。近10 a来东部AOD的年际间变化呈现增加趋势,西部AOD出现微弱减少的趋势。东部人为气溶胶年际间变化受亚洲季风影响。西部自然气溶胶年际间变化主要受沙漠地区沙尘气溶胶排放源的影响,沙尘天气过程主要控制其气溶胶的释放。

[Zheng Xiaobo, Luo Yuxiang, Zhao Tianliang et al.

Geographical and climatological characteristics of aerosol distribution in China

. Scientia Geographica Sinica, 2012, 32(3):265-272.]

Magsci      [本文引用: 1]      摘要

中国人口地理分界线——胡焕庸线根据人口、地理,气候和经济等特点把中国(不包括港、澳、台地区)分为东、西两部分。用2000~2010年MODIS大气气溶胶光学厚度(AOD)资料,分析气溶胶分布的地理学和气候学特征后发现,胡焕庸线还可被视为中国气溶胶地理学的分界线,在其两侧气溶胶的性质和浓度都有明显差别。在人口稠密和海拔较低的东部,由人类活动产生的气溶胶为主,年平均AOD约为0.45;在西部,自然过程释放的气溶胶主导的AOD约为0.25。近10 a来东部AOD的年际间变化呈现增加趋势,西部AOD出现微弱减少的趋势。东部人为气溶胶年际间变化受亚洲季风影响。西部自然气溶胶年际间变化主要受沙漠地区沙尘气溶胶排放源的影响,沙尘天气过程主要控制其气溶胶的释放。
[4] 杨鹏,陈静,高祺,.

京津冀地区气溶胶光学厚度反演及其空间分布特征

[J].气象与环境学报,2017,33(3):52-58.

[本文引用: 1]     

[Yang Peng, Chen Jing, Gao Qi et al.

Inversion and spatial distribution of aerosol optical thickness in beijing-tianjin-hebei region

. Journal of Meteorology and Environment, 2013,33(3):52-58.]

[本文引用: 1]     

[5] Wang J, Christopher S A.

Intercomparison between satellite-derived aerosol optical thickness and PM2.5 mass: Implications for air quality studies

[J]. Geophysical Research Letters, 2003, 30(21): 267-283.

[本文引用: 1]     

[6] Donkelaar A V, Martin R V, Brauer M et al.

Global estimates of ambient fine particulate matter concentrations from Satellite-based Aerosol Optical Depth: Development and application

[J]. Environmental Health Perspectives, 2010, 118(6): 847-855.

https://doi.org/10.1289/ehp.0901623      URL      [本文引用: 1]     

[7] Engel-Cox J A, Holloman C H, Coutant B Wet al.

Qualitative and quantitative evaluation of MODIS satellite sensor data for regional and urban scale air quality

[J]. Atmospheric Environment, 2004, 38(16): 2495-2509.

https://doi.org/10.1016/j.atmosenv.2004.01.039      URL      [本文引用: 1]     

[8] 陈良富,陈水森,钟流举,.

卫星数据和地面观测结合的珠三角地区颗粒物质量浓度统计估算方法

[J].热带地理,2015,35(1):7-12.

Magsci      [本文引用: 1]      摘要

<p>利用卫星观测的气溶胶光学厚度资料和模式模拟数据,与地面颗粒物观测资料结合,探讨近地面颗粒物质量浓度的估算方法。具体包括:利用区域气侯模式RAMS(Regional Atmospheric Modeling System)模拟的边界层高度对气溶胶光学厚度进行垂直订正,获得近地面颗粒物消光系数;利用模式模拟的相对湿度和颗粒物吸湿增长经验模型对消光系数进行湿度订正,获得近地面颗粒物干消光系数;并基于干消光系数与颗粒物质量浓度地面站点资料建立的统计关系估算获得每个像元的颗粒物质量浓度。利用地面站点观测的颗粒物浓度资料验证表明,基于卫星资料可以获得近地面颗粒物质量浓度,而且细颗粒物质量浓度具有更好的估算精度。</p>

[Chen Liangfu, Chen Shuisen, Zhong Liuju et al.

Statistical estimation of particulate mass concentration in the Pearl River Delta Region combined with satellite data and ground observation

. Tropical Geography, 2015, 35(1):7-12.]

Magsci      [本文引用: 1]      摘要

<p>利用卫星观测的气溶胶光学厚度资料和模式模拟数据,与地面颗粒物观测资料结合,探讨近地面颗粒物质量浓度的估算方法。具体包括:利用区域气侯模式RAMS(Regional Atmospheric Modeling System)模拟的边界层高度对气溶胶光学厚度进行垂直订正,获得近地面颗粒物消光系数;利用模式模拟的相对湿度和颗粒物吸湿增长经验模型对消光系数进行湿度订正,获得近地面颗粒物干消光系数;并基于干消光系数与颗粒物质量浓度地面站点资料建立的统计关系估算获得每个像元的颗粒物质量浓度。利用地面站点观测的颗粒物浓度资料验证表明,基于卫星资料可以获得近地面颗粒物质量浓度,而且细颗粒物质量浓度具有更好的估算精度。</p>
[9] 刘桂青,李成才,朱爱华,.

长江三角洲地区大气气溶胶光学厚度研究

[J]. 环境保护,2003(8):50-54.

[本文引用: 1]     

[Liu Guiqing, Li Chengcai, Zhu Aihua et al.

Study on the optical thickness of atmospheric aerosol in the Yangtze River Delta

. Environmental Protection,2003(8):50-54.]

[本文引用: 1]     

[10] 葛邦宇,杨磊库,陈兴峰,.

暗目标法的Himawari-8静止卫星数据气溶胶反演

[J].遥感学报,2018,22(1):38-50.

[本文引用: 1]     

[Ge Bangyu, Yang Leigku, Chen Xingfeng et al.

The Himawari-8 stationary satellite data aerosol inversion

. Journal of Remote Sensing, 2011,22(1):38-50.]

[本文引用: 1]     

[11] 贺婧婧,张敏,陈显尧,.

香港气溶胶光学厚度与PM_(10)质量浓度的季节变异及相关性

[J].中国科学:地球科学,2015,45(4):444-454.

[本文引用: 1]     

[He Jingjing, Zhang Min, Chen Xianyao et al.

Seasonal variation and correlation of aerosol optical thickness and PM_(10) mass concentration in Hong Kong

. Chinese Science: Earth Science,2015,45(4):444-454.]

[本文引用: 1]     

[12] 李慧娟,胡列群,李帅.

北疆地区MODIS 3 km气溶胶光学厚度与PM_(10)质量浓度的相关性分析

[J].环境科学学报,2018,38(3):1109-1116.

[本文引用: 1]     

[Li Huijuan, Hu Liequn, Li Shuai.

Correlation analysis of the optical thickness and PM_(10) mass concentration of the MODIS 3 km aerosol in north xinjiang

. Journal of Environmental Science, 2011,38(3):1109-1116.]

[本文引用: 1]     

[13] 王文欢.

基于多源数据的城市地区PM2.5估算及溯源研究

[D]. 成都:电子科技大学,2016.

[本文引用: 1]     

[Wang Wenhuan.

Study on the estimation and trace-ability of PM2.5 in urban areas based on multi-source data

. Chengdu: University of Electronic Science and Technology,2016.]

[本文引用: 1]     

[14] 张新蕾,黄凤荣.

基于大连市MODIS数据的气溶胶光学厚度与PM2.5和PM10的相关性分析

[J].国土与自然资源研究,2017(6):59-61.

[本文引用: 1]     

[Zhang Xinlei, Huang Fengrong.

Analysis on the correlation between aerosol optical thickness and PM2.5 and PM10 in the data of MODIS in Dalian

. Research on Land and Natural Resources,2017(6):59-61.]

[本文引用: 1]     

[15] 王旭,胡引翠,田冰,.

京津冀地区AOD和PM_(2.5)质量浓度的特征及相关性分析

[J].环境工程学报,2016,10(9):5069-5074.

[本文引用: 1]     

[Wang Xu, Hu Yincui, Tian Bing et al.

Characteristics and correlation analysis of quality concentration of AOD and PM_(2.5) in Beijing-Tianjin-Hebei region

. Journal of Environmental Engineering, 2016,10(9):5069-5074.]

[本文引用: 1]     

[16] 付帼.

大连城市建设用地扩展的时空动态变化和增长研究

[D].大连:辽宁师范大学,2012.

[本文引用: 1]     

[Fu Guo.

Study on the spatial and temporal dynamic changes and growth of urban construction land expansion in Dalian

. Dalian: Liaoning Normal University,2012.]

[本文引用: 1]     

[17] 朱安豹.

兰州市两类典型重污染个例及其边界层结构影响的数值模拟研究

[D].兰州: 兰州大学,2017.

[本文引用: 1]     

[Zhu Anbao.

Numerical simulation study on the influence of two typical heavy pollution cases and their boundary layer structures in Lanzhou

. Lanzhou: Lanzhou University,2017.]

[本文引用: 1]     

[18] 邵平,辛金元,安俊琳,.

长三角工业区夏季近地层臭氧和颗粒物污染相互关系研究

[J].大气科学,2017,41(3):618-628.

[本文引用: 1]     

[Shao Ping, Xin Jinyuan, An Junlin et al.

Study on the relationship between ozone and particulate pollution in summer in the Yangtze river delta

. Atmospheric Science, 2011,41(3):618-628.]

[本文引用: 1]     

[19] 王宏斌,张镭,焦圣明,.

中国地区MODIS气溶胶产品的验证及反演误差分析

[J].高原气象,2016,35(3):810-822.

https://doi.org/10.7522/j.issn.1000-0534.2015.00043      Magsci      [本文引用: 1]      摘要

<p>利用中国地区AERONET(AErosol RObotic NETwork)地基观测资料对Terra/Aqua MODIS(ModerateResolution Imaging Spectroradiometer)气溶胶产品精度进行验证,提供资料可靠性分析,并分析了各地区MODIS 反演气溶胶光学厚度(Aerosol Optical Depth,AOD)的误差来源,为进一步改进算法提供依据。结果表明:(1)香河、兴隆、榆林、寿县、合肥、香港和台湾等站点MODIS AOD的质量较好。对大多数站点,Terra 和Aqua MODIS AOD质量差别不大,除个别站点Terra 略优于Aqua。(2)选取香河、太湖、SACOL、北京、兴隆和台湾成功大学站进行详细分析。香河站Terra 和Aqua MODIS AOD质量均较好,相关系数分别为0.96 和0.97,且落在期望误差内的百分数分别为72%和65%。太湖和北京站MODIS AOD存在统一高估现象,可以通过拟合直线的截距对其进行订正,得到较接近真实值的AOD。SACOL,Terra 和Aqua MODIS AOD与AERONET AOD的相关系数分别为0.66 和0.77,且存在一定的高估。同时验证SACOL MODIS Deep Blue AOD,总体上其精度低于MODIS C005 AOD。兴隆和成功大学站反演误差均小于期望误差,数据质量较好。(3)误差分析表明香河和SACOL站的MODIS反演误差主要来自地表反射率关系的不合适;太湖和北京站的反演误差可能是由于地表和气溶胶模型两方面的共同作用导致的。个别站点随着云量增大,MODIS反演结果对AOD的高估也越大。</p>

[Wang Hongbin, Zhang Lei, Jiao Shengming et al.

Validation and inversion error analysis of MODIS aerosol products in China

. Plateau Meteorology,2016,35(3):810-822.]

https://doi.org/10.7522/j.issn.1000-0534.2015.00043      Magsci      [本文引用: 1]      摘要

<p>利用中国地区AERONET(AErosol RObotic NETwork)地基观测资料对Terra/Aqua MODIS(ModerateResolution Imaging Spectroradiometer)气溶胶产品精度进行验证,提供资料可靠性分析,并分析了各地区MODIS 反演气溶胶光学厚度(Aerosol Optical Depth,AOD)的误差来源,为进一步改进算法提供依据。结果表明:(1)香河、兴隆、榆林、寿县、合肥、香港和台湾等站点MODIS AOD的质量较好。对大多数站点,Terra 和Aqua MODIS AOD质量差别不大,除个别站点Terra 略优于Aqua。(2)选取香河、太湖、SACOL、北京、兴隆和台湾成功大学站进行详细分析。香河站Terra 和Aqua MODIS AOD质量均较好,相关系数分别为0.96 和0.97,且落在期望误差内的百分数分别为72%和65%。太湖和北京站MODIS AOD存在统一高估现象,可以通过拟合直线的截距对其进行订正,得到较接近真实值的AOD。SACOL,Terra 和Aqua MODIS AOD与AERONET AOD的相关系数分别为0.66 和0.77,且存在一定的高估。同时验证SACOL MODIS Deep Blue AOD,总体上其精度低于MODIS C005 AOD。兴隆和成功大学站反演误差均小于期望误差,数据质量较好。(3)误差分析表明香河和SACOL站的MODIS反演误差主要来自地表反射率关系的不合适;太湖和北京站的反演误差可能是由于地表和气溶胶模型两方面的共同作用导致的。个别站点随着云量增大,MODIS反演结果对AOD的高估也越大。</p>
[20] 陈良富. 气溶胶遥感定量反演研究与应用[M].北京: 科学出版社,2011.

[本文引用: 1]     

[Chen Liangfu.Research and application of aerosol remote sensing quantitative inversion. Beijing: Science Press, 2011.]

[本文引用: 1]     

[21] 王重,刘黎明.

拟合优度检验统计量的设定方法

[J].知识丛林,2010,305(5):154-156.

[本文引用: 1]     

[Wang Zhong, Liu Liming.

The method for setting the test statistics of goodness of fit

. Knowledge Jungle,2010,305(5):154-156.]

[本文引用: 1]     

/