其他

1985—2022年中国湖泊表层水温的变化特征研究

  • 张克新 , 1 ,
  • 汪田归 1 ,
  • 刘云龙 1 ,
  • 张洪昌 2 ,
  • 彭娇婷 , 1, * ,
  • 纪燕 3
展开
  • 1.贵州财经大学管理科学与工程学院,贵州 贵阳 550025
  • 2.贵州财经大学绿色发展战略研究院,贵州 贵阳 550025
  • 3.贵州财经大学科研处,贵州 贵阳 550025
彭娇婷。E-mail:

张克新(1980—),男,甘肃民勤人,博士,副教授,研究方向为区域气候变化和人工放射性核素示踪应用研究。E-mail:

收稿日期: 2024-10-09

  修回日期: 2025-03-28

  网络出版日期: 2025-09-25

基金资助

国家自然科学基金项目(42163001)

贵州省科技计划项目(黔科合基础-zk[2022]一般023)资助

版权

版权所有,未经授权,不得转载、摘编本刊文章,不得使用本刊的版式设计。

Variation characteristics of lake surface water temperature and impact factors in China from 1985 to 2022

  • Zhang Kexin , 1 ,
  • Wang Tiangui 1 ,
  • Liu Yunlong 1 ,
  • Zhang Hongchang 2 ,
  • Peng Jiaoting , 1, * ,
  • Ji Yan 3
Expand
  • 1. School of Management Science and Engineering, Guizhou University of Finance and Economics, Guiyang 550025, Guizhou, China
  • 2. Research Institute of Green Development Strategy, Guizhou University of Finance and Economics, Guiyang 550025, Guizhou, China
  • 3. Research Office, Guizhou University of Finance and Economics, Guiyang 550025, Guizhou, China

Received date: 2024-10-09

  Revised date: 2025-03-28

  Online published: 2025-09-25

Supported by

National Natural Science Foundation of China(42163001)

Science & Technology Planning Projects of Guizhou Province (Qian-Kehe-Jichu-zk[2022]-General023)

Copyright

Copyright reserved © 2025.

摘要

湖泊表层水温是湖泊生态系统中最重要的一个物理量之一,也是衡量气候变化的一个重要指标。本文以中国2260个面积>1 km2的湖泊为研究对象,分析1985—2022年湖泊表层水温的时空变化特征,同时分析气候因素和湖泊属性对湖泊表层水温变化的影响。结果表明:①1985—2022年中国湖泊表层水温年均值及其变化趋势的空间差异较为显著,均呈现出自西北向东南逐渐增加的分布态势。②在整个研究时段内,中国湖泊表层水温的年均值以(0.126 ± 0.016)℃/10a的速率呈显著上升趋势;五大湖区中增温速率最快的为东部平原湖区[(0.214 ± 0.037)℃/10a],最慢的是青藏高原湖区[(0.05 ± 0.015)℃/10a];不同面积湖泊的表层水温增温速率不同,面积越小,增温速率越显著。③东部平原湖区湖泊表层水温在四季均呈增温趋势,春季增温最快,冬季最慢;青藏高原湖区因结冰期长,春季表层水温呈微弱下降趋势,秋季增温最快;其他3个湖区均在秋季增温最快。④影响中国湖泊表层水温变化的主要因素是纬度、平均气温、海拔和湖泊面积;五大湖区湖泊表层水温均不同程度地受到上述因素以及风速和湖泊水深的影响。总之,气候因素和湖泊属性相互关联、交互作用,共同影响着湖泊表层水温的变化。

本文引用格式

张克新 , 汪田归 , 刘云龙 , 张洪昌 , 彭娇婷 , 纪燕 . 1985—2022年中国湖泊表层水温的变化特征研究[J]. 地理科学, 2025 , 45(9) : 2000 -2012 . DOI: 10.13249/j.cnki.sgs.20241148

Abstract

Lake surface water temperature (LSWT) is a crucial physical parameter in lake ecosystems and an important indicator of climate change. Studying the spatiotemporal variation patterns of LSWT in China over long-term time series and exploring the driving factors behind these changes hold significant scientific importance for understanding the impacts of future climate change on lake ecosystems. Furthermore, such research provides valuable insights for formulating practical and effective lake ecological management measures. This study systematically analyzed2260 Chinese lakes with a surface area exceeding 1 km2 to characterize the spatiotemporal dynamics of LSWT from 1985 to 2022. Multivariate regression modeling was employed to quantify the relative contributions of climatic drivers (e.g., air temperature, precipitation, etc.) and lake-specific attributes (e.g. area, depth) to the observed variations in LSWT. 1) From 1985 to 2022, the annual mean LSWT in China exhibited a significant upward trend at a rate of (0.126 ± 0.016)℃/10a, with the most pronounced increase observed in the eastern plain lake region [(0.214 ± 0.037)℃/10a] and the slowest in the Qinghai-Tibetan Plateau Lake region [(0.05 ± 0.015)℃/10a]. 2) The annual mean LSWT and its changing trend have significant spatial differences, showing a spatial distribution trend of gradually increasing from northwest to southeast. 3) The LSWT in the eastern plain lake region shows a warming trend in all four seasons, with the fastest warming in spring and the slowest in winter. In contrast, the Qinghai-Tibetan Plateau Lake region showed an insignificant decrease in spring due to the long duration of the lake freezing period but the fastest warming in autumn. The other three lake regions all experienced the fastest warming in autumn. 4) The primary factors influencing LSWT variations in China are latitude, mean air temperature, altitude, and lake area. Among them, latitude, altitude and lake area have a reverse effect on LSWT, while mean air temperature has a positive effect. The five major lake regions are all affected to varying degrees by the above factors as well as wind speed and lake water depth. From 1985 to 2022, the annual LSWT in China and the five major lake regions showed varying degrees of warming trends. On a seasonal scale, except for the insignificant cooling in the Qinghai-Tibetan Plateau Lake Region during spring, LSWT showed warming trends in all other regions and seasons. The main factors affecting the changes in LSWT in China are latitude, average temperature, altitude, and lake area. Among them, latitude, altitude, and lake area have an inverse effect on LSWT, while average temperature has a positive effect. In summary, climatic factors and lake’s own factors are interrelated and interact with each other, jointly influencing the variations in LSWT.

湖泊表层水温(Lake surface water temperature,LSWT)是湖泊环境的重要物理指标,也是湖泊表面与空气之间热量和水分交换的一个关键因素,对气候变化的响应非常敏感[1-2]。已有研究表明,最近几十年湖泊表层水温普遍呈上升趋势,且随着湖泊表面水温升高,湖泊的物理、化学和生物过程均受到显著影响,从而扰乱整个湖泊水生生态系统[3-6]。在气候变化影响下,1981—2020年全球9万多个湖泊表层水温均呈现出增温趋势(0.24℃/10a),但增温趋势慢于同期地表气温的变化率(0.29℃/10a)[7]。吕恒等[8]基于1991—2010 年模拟的全球气候数据,揭示了全球湖泊与邻近陆地的表面温度差异的时空格局。Huang 等[5]发现中国91个大型湖泊(>100 km2)在1979—2018年湖泊表层水温以0.04℃/a(P < 0.05)的速率上升,且空间变化较大;王溪雯[9]重建了中国168 个湖泊表层水温数据(1950—2021年),显示1980 年后中国湖泊表层水温的年均值平均以0.11℃/10a的速率显著上升。尤其是位于云贵高原的星云湖,其表层水温在2001—2020年的增温速率达0.5℃/10a,不同类型的湖泊(城市型湖泊、半城市型湖泊、自然型湖泊)受人类活动的影响不同[10]。湖泊在陆地上的布局分散,使得生物的迁移面临较大困难,湖泊深层的缺氧与水温的升高共同对水生生物的栖息环境构成威胁,可能会对水生生态系统造成生态灾难[11]。另外由于湖泊在地球表层系统中的高度敏感性和重要的反馈作用,气候变化和人类活动共同影响下的湖泊水文−环境−生态过程是全球变化研究中最活跃的领域之一,湖泊表层水温的变化对全球变化的响应研究一直被学术界所关注[12]
根据2020年最新遥感监测结果,中国1 km2以上天然湖泊有2670个,总面积为80662.4 km2 [12]。目前,对中国湖泊表层水温的研究在空间尺度上仅限于部分湖泊[5,9-10],且因观测数据时空覆盖有限,缺乏对全国湖泊表层水温的长期变化及其驱动因子的综合研究。因此,本文以全国2260个面积>1 km2 的湖泊为研究对象,分析1985—2022年湖泊表层水温的时空变化特征,同时分析气候因素(平均气温、降水、风速)和湖泊属性(湖泊面积、湖泊平均水深、海拔和纬度等)对湖泊表层水温变化的影响。研究中国湖泊表层水温长时间序列的时空变化规律,并探究影响其变化的因素,对于理解未来气候变化对湖泊生态系统的影响具有重要科学意义,同时也对制定切实可行的湖泊生态管理措施具有重要的参考价值。

1 数据来源和研究方法

1.1 数据来源

本文采用1985—2022年中国湖泊表层水温日尺度数据集开展研究,该数据集来自于国家青藏高原科学数据中心(https://data.tpdc.ac.cn/zh-hans/data/73ebed0f-a019-43c9-9705-c60462999ac6,数据下载日期:2024-05-16)。该数据集利用ERA5-Land (European Centre for Medium-range Weather Forecasts Reanalysis v5-Land)的气温数据作为驱动数据,以由NASA(https://www.nasa.gov/,2024-06-22)和USGS(https://www.usgs.gov/,2024-06-22)提供的Landsat地表温度产品作为湖泊表层水温的参考,结合物理/统计混合模型Air2Water[13-14],构建了2260个面积>1 km2湖泊表层水温的长时间序列数据集(1985年1月1日—2022年12月31日)。本数据与中国6个湖泊(纳木错、泸沽湖、洱海、千岛湖、太湖、呼伦湖)的原位观测数据进行了验证,相关系数均高于0.96,平均均方根误差为1.75℃,平均绝对误差为1.38℃,验证结果可信。此外,为了更好地分析湖泊表层水温空间差异,根据湖泊的水文、气候和地貌等特征,可将中国湖泊划分为五大湖区[1]:青藏高原湖区(占全国湖泊总数的38%)、东北平原与山地湖区(12%)、新疆−内蒙古湖区(15%)、东部平原湖区(29%)和云贵高原湖区(5%)(图1)。其他数据如湖泊面积,湖泊平均水深、海拔等数据均来源于国家青藏高原科学数据中心[14];1985 — 2022年的月平均气温、降水和风速数据来自于美国国家海洋和大气管理局的国国家环境信息中心(https://www.ncei.noaa.gov/data/,2024-06-22)。
图1 中国及五大湖区的湖泊分布

基于审图号GS(2023)2767号(自然资源部监制)标准地图制作,底图边界无修改

Fig. 1 Distribution of lakes and 5 lake regions in China

1.2 研究方法

1.2.1 趋势分析

采用Sen斜率计算各个湖泊表层水温的变化趋势,并使用Mann-Kendall (M-K)方法判别湖泊表层水温变化趋势的显著性[15]。整个研究区湖泊表层水温用2260个湖泊的算数平均值表示;季节划分为:春季(3—5月)、夏季(6—8月)、秋季(9—11月)和冬季(12月至次年2月)。

1.2.2 多元线性回归

假设某一个因变量yz个自变量x1x2…,xz的影响,其n组观测值为(yax1ax2a,…,xza),a=1,2,…,n。若z个自变量之间存在某种线性关系,则可以把问题归结为z元线性回归模型:
$ y_a=\beta_0+\beta_1x_{1a}+\beta_2x_{2a}+\cdots+\beta_zx_{za}+\varepsilon $
式中,β0β1β2βz为待定参数;ε为随机变量。
b0b1b2,…,bz分别为β0β1β2,…,βz的拟合值,则回归方程为:
$ {y}=b_0+b_1 x_1+b_2 x_2+\cdots+b_z x_z $
式中,b0为常数。
b0b1b2bz称为偏回归系数。
偏回归系数bii=1,2,…,z)的含义是,当其他自变量xjji)都固定时,自变量xi 每变化一个单位而使因变量y 平均改变的数值。根据最小二乘法原理,得到回归系数[15-16]。影响湖泊表层水温的因素是多方面的,为了更好地理解影响湖泊表层水温的影响因素,对数据进行标准化之后,使用多元回归分析方法分析其影响,从而确定影响中国及五大湖区湖泊表层水温的主要因子。

2 结果分析

2.1 湖泊表层水温的空间变化特征

2.1.1 湖泊表层水温的年空间变化特征

本文所选2260个湖泊表层水温在1985—2022年多年均值及其变化趋势的空间分布如图2所示。中国湖泊表层水温多年平均值范围在0.91~27.58℃(图2a),整体呈现出从西北向东南升高的特点。位于青藏高原、新疆−内蒙古和东北平原与山地湖区的湖泊表层水温多年平均值相对较低,而位于云贵高原和东部平原湖区的湖泊表层水温相对较高。1985—2022年中国湖泊表层水温年均值的变化总体呈现上升趋势(−0.01~0.47℃/10a)(图2b),空间差异显著。所选湖泊中有2060个湖泊的表层水温的年平均值变化趋势呈显著上升趋势(P<0.01)(表1),其变化趋势大于0.28℃/10a的湖泊大多位于东部平原地区和新疆−内蒙古西北地区。本研究所选湖泊中仅有3个湖泊的表层水温年平均值的变化趋势呈不显著的降低趋势,且这3个湖泊均位于青藏高原湖区。Huang等[5]基于1979—2018年模拟数据,对中国91个面积超过100 km2的大型湖泊表层水温进行研究,发现84%的湖泊呈现显著增温趋势(平均0.53℃/10a),在青藏高原西北部的7个湖泊则呈现显著的降温趋势(−0.64℃/10a);且从区域来看东部平原地区湖泊的升温趋势最高(0.49℃/10a),云贵高原湖泊的升温趋势最低(0.16℃/10a)。综上所述,中国湖泊表层水温的变化趋势也呈现出自西北向东南逐渐增大的空间分布态势。
图2 1985—2022年中国湖泊表层水温年平均值及其变化趋势的空间分布特征

基于审图号GS(2023)2767号(自然资源部监制)标准地图制作,底图边界无修改

Fig. 2 Spatial distribution characteristics of annual mean lake surface water temperature and change trends of lakes in China from 1985 to 2022

表1 1985—2022年中国湖泊表层水温变化趋势呈正−负趋势的湖泊数量/个

Table 1 Number of lakes with positive-negative trends in lake surface water temperature over China from 1985 to 2022

湖泊表层水温 正趋势 负趋势 0趋势 总变化趋势
  注:括号里面的数字是表示湖泊表层水温变化趋势显著性通过P<0.01的湖泊数量。
年变化趋势 22572060 3(2) 0 增加
春季变化趋势 14191100 841(309) 0 增加
夏季变化趋势 1948(1553 312(73) 0 增加
秋季变化趋势 22602249 0 0 增加
冬季变化趋势 1060(387) 69 1131 增加

2.1.2 湖泊表层水温的季节空间变化特征

从全国湖泊表层水温的季节空间变化分布图(图3a、3c、3e、3g)可以看出,1985—2022 年春季湖泊表层水温介于−0.17~28.30℃、夏季处于2.40~34.51℃的范围内、秋季在1.38~28.18℃的区间内、冬季则在−0.64~23.15℃之间。从春季到冬季,湖泊表层水温的空间分布格局差异非常显著:春、秋季湖泊表层水温的空间分布较为相似,东部平原、新疆−内蒙古和云贵高原地区的湖泊表层水温较高,其他2个区域的湖泊表层水温相对较低;除青藏高原地区湖泊外,夏季湖泊表层水温明显高于其他季节。冬季,湖泊表层水温的空间分布呈现出明显的南北差异,湖泊表层水温相对较高的湖泊主要集中在云贵高原和东部平原地区,其他地区湖泊表层水温相对较低。特别是青藏高原湖区,由于冬季湖泊结冰期的存在,该地区部分湖泊的表层水温接近于0℃。由图3可以看出,中国湖泊表层水温的季节多年平均值除东北平原与山地湖区和青藏高原湖区偏低外,其他3个湖区大体上呈现出西北低东南高的分布特征,且存在明显的纬向带状变化趋势。
图3 1985—2022年中国湖泊表层水温多年平均季节值及其变化趋势的空间分布

基于审图号GS(2023)2767号(自然资源部监制)标准地图制作,底图边界无修改

Fig. 3 Multi-year average seasonal values of lake surface water temperature and its change trend in China from 1985 to 2022

图3显示了1985—2022 年中国湖泊表层水温季节变化趋势的空间分布。在整个研究时段内,春季的湖泊表层水温变化趋势范围介于−0.24~1.02℃/10a之间;其中有1100个湖泊的表层水温增温趋势明显(表1),这些湖泊主要位于新疆−内蒙古地区的西北部和中部、云贵高原和东部平原的大部分地区(图3b)。而有841个湖泊表层水温的变化趋势是呈降低趋势,其中309个湖泊的表层水温呈显著降低趋势,其范围在−0.24~0℃/10a之间,这些湖泊主要分布在青藏高原大部分地区和东北地区。夏季,中国湖泊表层水温的变化趋势介于−0.21~0.55℃/10a,有1553个湖泊的表层水温增温趋势显著(表1)。夏季除了中国青藏高原部分湖泊的表层水温呈降低趋势外(−0.21~0℃/10a),其他地区的湖泊表层水温均呈现显著增温趋势(图3d);其中增温趋势大于0.32℃/10a的湖泊零散分布在新疆−内蒙古西部和东部平原湖区的东北部。秋季中国湖泊表层水温均呈增温趋势(0.06~0.45℃/10a),其中有2249个湖泊增温趋势显著(图3f)。冬季由于部分湖泊有结冰期,中国湖泊表层水温变化趋势空间差异最为明显;其中有1131个湖泊表层水温变化趋势为0,这些湖泊大多分布在青藏高原北部、新疆−内蒙古和东北大部分地区(图3h表1)。冬季云贵高原部分湖泊表层水温的变化趋势呈下降趋势(−0.14~0℃/10a);增温显著的湖泊主要集中在新疆−内蒙古、青藏高原南部及东部平原部分地区。

2.2 湖泊表层水温的时间变化特征

2.2.1 湖泊表层水温的年际变化特征

图4为中国1985—2022年湖泊表面水温年均值的年际变化。从全国范围来看(图4a),湖泊的表层水温呈现出显著的增温趋势,其平均变化速率为(0.126±0.016)℃/10a(P<0.01)。此外,从图5中可以看出1985—2000年湖泊表层水温平均值(10.98℃)略低于2001—2022年平均值(11.20℃),但其在1985—2000年的变化速率0.185℃/10a(P<0.01)却高于2001—2022年的变化速率0.146℃/10a(P<0.01)。从五大湖区来看(图4b-f),各个湖区湖泊表层水温的年际变化趋势均呈显著增温趋势。其中东部平原湖区增温趋势最为显著,其增温速率为( 0.214±0.037)℃/10a,其次为新疆−内蒙古湖区[(0.160±0.019)℃/10a]、云贵高原湖区[(0.143 ±0.024)℃/10a]和东北平原与山地湖区[(0.106±0.022)℃/10a],增温趋势最慢的是青藏高原湖区,仅为(0.05±0.015)℃/10a。
图4 1985—2022年中国及五大湖区湖泊表面水温年均值的年际变化趋势

Fig. 4 Trend of annual mean lake surface water temperature in China and 5 lake regions from1985 to 2022

图5 1985—2000年和2001—2022年中国湖泊表层水温平均值及变化趋势

Fig. 5 Average value of lake surface water temperature and its trends in 1985—2000 and 2001—2022

1985—2000年,五大湖区的湖泊表层水温年平均值均低于2001—2022年的平均值(图5),但在不同时段各个湖区湖泊表层水温的变化趋势却各有不同。青藏高原和云贵高原湖区1985—2000年湖泊表层水温的变化趋势低于2001—2022年的变化趋势;其他3大湖区新疆−内蒙古、东部平原和东北平原与山地湖泊表层水温在1985—2000年的变化趋势均明显高于2001—2022年的变化趋势。例如,东北平原与山地湖泊表层水温在2000年前快速上升,增温趋势为0.243℃/10a,但在2000年后其表层水温虽呈增温趋势,但趋势不显著,仅为0.067℃/10a;2000年前的增温速率约是2000年后的3倍。综上所述,在整个研究时段内,中国湖泊表层水温均呈增温趋势,且2000年前的增温速率大于2000年之后的增温速率。

2.2.2 不同季节湖泊表层水温的变化特征

不同季节中国湖泊表层水温的多年平均值及其变化趋势具有显著差异(表2)。总体来看,1985—2022年中国湖泊表层水温多年平均值在夏季最高,多年均值高达20.58℃,其次为秋季和春季,冬季湖泊表层水温最低,多年均值仅为3.07℃。五大湖区湖泊表层水温也呈现出夏、秋季较高,冬、春季较低的态势,季节差异明显。夏季湖泊表层水温最大值出现在东部平原湖区,高达28.55℃,最小值出现在青藏高原湖区,仅为12.44℃。冬季湖泊表层水温最大值出现在云贵高原,为12.69℃,最小值主要位于青藏高原、新疆−内蒙古和东北平原−山地湖区,均在1℃以下。青藏高原、新疆−内蒙古和东北平原−山地湖区的部分湖泊在冬春季有结冰期是导致冬春季湖泊表层水温较低的一个原因;研究发现青藏高原湖区湖泊的冰期约在168 d左右[17],东北平原−山地湖区约有91 d,新疆−内蒙古湖区的冰期也约有33 d[18]。而东部平原和云贵高原湖区由于所处纬度较低冬季没有结冰期,且云贵高原和东部平原中南部同属于亚热带季风气候,这或许是由于云贵高原的抬升地形,一方面缓解了夏季的升温幅度,另一方面也阻挡了冬季冷气团的侵袭。
表2 1985—2022年不同季节中国湖泊表层水温的多年平均值(℃)及其变化趋势(℃/10a)

Table 2 Multi-year average value of lake surface water temperature (℃) and their variation trends (℃/10a) in China during different seasons in 1985—2022

 
多年平均值 变化趋势 多年平均值 变化趋势 多年平均值 变化趋势 多年平均值 变化趋势
  注:*表示该变化趋势的显著性通过P<0.01。
全国 9.37 0.149* 20.58 0.134* 7.57 0.198* 3.07 0.030
青藏高原湖区 2.90 −0.029 12.44 0.033 4.79 0.149* 0.35 0.008*
新疆−内蒙古湖区 8.82 0.216* 21.89 0.200* 9.58 0.245* 0.56 0.023*
东部平原湖区 17.36 0.322* 28.55 0.218* 20.12 0.246* 7.91 0.070*
东北平原与山地湖区 7.13 0.112 23.59 0.150* 9.90 0.219* 0.29 0.005*
云贵高原湖区 18.55 0.191* 24.07 0.141* 19.61 0.213* 12.69 0.003
在1985—2022年中国湖泊表层水温在春、夏、秋季增温趋势显著,增幅分别为0.149、0.134和0.198℃/10a(P<0.01),特别是秋季其增温速率最快;但在冬季,湖泊表层水温虽也呈增温趋势,但增温趋势不显著(表2)。青藏高原湖泊表层水温的变化趋势在春季呈下降趋势,其下降速率为−0.029℃/10a;其他3个季节湖泊表层水温均呈上升趋势,且秋季增温趋势最为显著,为0.149℃/10a。新疆−内蒙古、云贵高原和东北平原与山地湖区的湖泊表层水温变化趋势在四季均呈不同程度的增温趋势,但均在秋季增温趋势最为显著,秋季增温趋势分别为0.245、0.219和0.213℃/10a。东部平原湖区的湖泊表层水温虽然在四季也呈增温趋势,但和其他几大湖区不一样的是其在春季增温趋势最为显著,达到0.322℃/10a;这可能会导致东部平原湖区的湖泊春夏季季节性减弱。Huang等[5]研究发现湖泊表层水温的增加也因季节而变化,冬、春季升温较快,夏、秋季升温较慢,这和本文的研究结果相一致。此外,从表2还可以看出,东部平原湖区湖泊表层水温的变化趋势在各个季节均高于其他湖区,是五大湖区中增温最为明显的一个区域,而青藏高原湖区是五大湖区中增温幅度最小的区域。

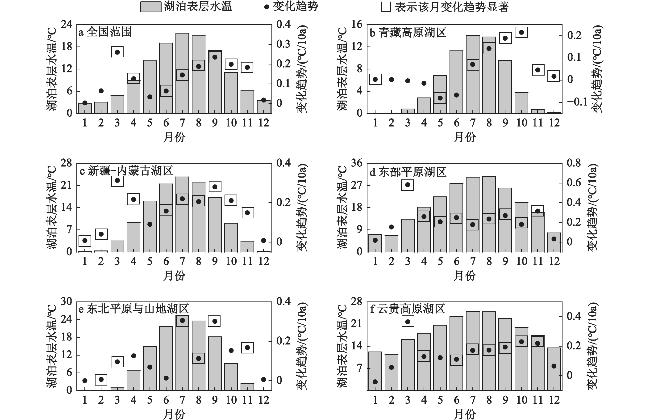
2.2.3 湖泊表层水温在不同月份的年际变化特征

1985—2022年中国湖泊表层水温各月的年变化趋势均呈增温趋势,增温趋势范围介于0.004~0.235℃/10a(图6a)。除1、2、5、12月湖泊表层水温的增温趋势不显著外,其他月份均增温趋势显著。9月的增温趋势在年内达到最大,为0.235℃/10a,其次是10月,为0.199℃/10a;这进一步证明中国湖泊表层水温在秋季增温趋势最为显著。此外,中国湖泊表层水温的最小值出现在1月,仅为2.64℃,从1月开始中国湖泊表层水温逐渐升高,到 7月达到最大值,为21.70℃;7月之后又逐渐降低。中国湖泊表层水温的年内变化和中国地表温度和气温的年内变化基本一致[18],均在1月份出现最小值,到7月达到最大值。
图6 1985—2022 年全国范围及五大湖区湖泊表层水温的月变化平均值及其变化趋势

Fig. 6 Monthly average variations and trends of lake surface water temperature in China and 5 lake regions from 1985 to 2022

在不同湖区内,青藏高原湖区湖泊表层水温的年内变化趋势差异较大,3—6月呈降低趋势,变化趋势分别为−0.003、−0.013、−0.081(P<0.01)、和−0.067℃/10a(图6b)。1—2月和7—12月均呈增加趋势,除2月增加趋势不显著外,其余月份均增温显著,10月增温趋势最大,为0.216℃/10a,9月次之,为0.189℃/10a。青藏高原湖区湖泊表层水温的最小值出现在1—2月,约接近于0℃;最大值出现在7月,为14.08℃。新疆−内蒙古湖区湖泊表层水温的年内变化趋势均呈增温趋势(图6c),除5月和12月增温趋势不显著外,其他月份均增温趋势显著。该区域湖泊9月增温趋势最大,为0.281℃/10a;7月次之,为0.220℃/10a;12月和1月的增温趋势均为0.009℃/10a。新疆−内蒙古湖泊表层水温的最小值也出现在1月,约为0.17℃,最大值出现在7月,为23.73℃。东部平原湖区湖泊表层水温的年内变化趋势也均呈增温趋势(图6d),除1、2、12月外,其他月份均增温趋势显著。东部平原湖区湖泊表层水温在3月的增温趋势尤为显著,达到0.583℃/10a,约为年变化趋势(0.214℃/10a)的3倍;4月的增温趋势为0.260℃/10a。东部平原湖区湖泊表层水温在3—5月增温显著,这也使得该区域春季湖泊表层水温的增加趋势最为显著。此外,东部平原湖区湖泊表层水温的最大、最小值分别出现在8月和2月,分别为30.69℃和6.72℃,这和其他湖区表层水温最大、最小值出现的月份不一致。东北平原与山地湖区湖泊表层水温的年内变化趋势差异较大(图6e),7月和9月的增温趋势最为明显,分别为0.305和0.301℃/10a;1、12月虽呈增加趋势,但增温趋势较为缓慢且不显著。东北平原与山地湖区湖泊表层水温的最高值出现在7月,为25.46℃;最低值出现在1、2月,接近于0℃。云贵高原湖区湖泊表层水温的年内变化趋势除1月是降低的趋势以外(−0.041℃/10a),其他月份均呈增温态势;3月变化趋势最为显著,为0.365℃/10a(图6f),10月次之,为0.229℃/10a。云贵高原湖区湖泊表层水温的最低值出现在2月,为11.44℃,远高于其他湖区湖泊表层水温的最低值;最高值出现在7月,为24.96℃。云贵高原湖区湖泊表层水温在12月到次年5月相对较高原因主要是因为该湖区所处纬度较低,湖泊冬季均不结冰所致;这使得该区域湖泊季节间的差异和其他湖区相比明显较小。

2.3 不同面积湖泊的表层水温年际变化趋势

为了更深入地分析湖泊表层水温随时间的变化特性,本文依据湖泊面积大小将所选湖泊划分为7类,分别探讨不同面积湖泊表层水温的年际变化特征(表3)。不同面积的湖泊表层水温年际变化趋势在1985—2022年虽均呈显著增温趋势,但增幅大小各有差异。本文中湖面面积在1~10 km2的湖泊数量最多,占总湖泊数量的67.21%,其增温趋势也最为显著,达0.136℃/10a;当湖泊面积从1~10 km2增大到501~750 km2 时,湖泊表层水温的年际变化趋势逐渐降低,其增温趋势从0.136℃/10a降低到0.089℃/10a。这是因为当湖泊面积较小时,其水体的总量有限,对气候变化的响应较为敏感,其表层水温容易受到气温、风速等气候因子的影响而发生较大波动;而随着湖泊面积的增加,水体总量逐渐增多,湖泊的热容量也会随之增大,对气候变化的缓冲作用增强,使得湖泊表层水温的年际变化趋势逐渐降低。当湖泊面积进一步增大到750~1000 km2及以上时,其表层水温的变化趋势又增加到0.129和0.113℃/10a。这可能是因为面积更大的湖泊往往具有更为复杂的生态系统和气候环境,且湖泊内部水流和混合更加复杂,进而使得湖泊表层水温的变化趋势增大。由此可以得出,在相同的气候条件下,面积较小的湖泊则更容易受到全球气候变化的影响,表层水温变化较为迅速;而面积较大的湖泊对气候变化的响应速度相对较慢。
表3 1985—2022年中国不同面积的湖泊表层水温变化趋势

Table 3 Trend of lake surface water temperature in China from 1985 to 2022

代码 分类(面积/km2 占比/% 变化趋势/(℃/10a)
  注:所有类型湖泊变化趋势的显著性均为P<0.01。
[1,10] 67.21 0.136
(10,50] 22.57 0.127
(50,100] 4.96 0.098
(100,500] 4.38 0.092
(500,750] 0.31 0.089
(750,1000] 0.27 0.129
1000 0.31 0.113

2.4 湖泊表层水温变化的影响因素

采用多元回归分析方法计算各因子对湖泊表层水温的系数,从而确定影响湖泊表层水温变化的主导因子。从表4可以看出,影响中国湖泊表层水温变化的主要因素是纬度、平均气温、海拔和湖泊面积大小。其中纬度、海拔和湖泊面积对湖泊表层水温是反向作用,而平均温度与湖泊表层水温是正向作用。低纬度地区的湖泊由于气温较高、接收到的太阳辐射相对较多,其表层水温相对较高;而高纬度地区的湖泊则相反。平均气温也是影响湖泊表层水温的主要因素;当平均气温升高时,湖泊表层水温通常也会随之升高。这是因为大气温度与湖泊水温之间存在热传递;较高的气温使得空气向湖泊传递更多的热量,从而使湖泊表层水温上升;反之,气温下降时,湖泊表层水温也会降低。Huang等[5]的研究也证实了湖泊表层水温变化的最主要气候驱动因素是气温、风速和向下长波辐射。位于高海拔地区的湖泊,其表层水温通常较低。这是因为随着海拔的升高,大气压力减小,空气稀薄,对热量的吸收和保留能力较弱,从而导致湖泊表层水温相对较低。此外,较大面积的湖泊具有更大的热容量,这说明面积更大的湖泊表层水温升高时,需要更多的热量。相比之下,小面积湖泊的热容量较小,其表层水温对外部热量变化的反应更为迅速。
表4 湖泊表层水温与各因素的标准化偏回归系数

Table 4 Standardized partial regression coefficient for main influential factors and lake surface water temperature in China

  纬度 面积 平均水深 海拔 平均气温 风速
  注:*表示该因素对湖泊表层水温变化的显著性P<0.01。
全国范围 0.5556 * 0.0009 * 0.0003 0.0032 * 0.3022 * 0.1227
青藏高原湖区 0.4083 * 0.0011 * 0.0345 * 0.0034 * 0.0787 * 0.1554
新疆−内蒙古湖区 0.6018 * 0.0011 0.0245 * 0.0032 * 0.2893 * 0.2160 *
东部平原湖区 0.6658 * 0.0010 * 0.0159 * 0.0020 * 0.5951 * 0.1637
东北平原与山地湖区 0.3637 * 0.0043 * 0.0084 * 0.0033 * 0.2085 * 0.2865 *
云贵高原湖区 0.8467 * 0.0063 0.0051 0.0029 * 0.3285 * 0.2218 *
对不同区域的湖泊而言,青藏高原和东部平原湖区湖泊表层水温的变化除了受到上述4个因素的作用外,还受到湖泊平均水深的影响。深水湖泊由于水量大、热容量大,其表层水温的日变化和季节变化相对较小[19]。新疆−内蒙古湖区湖泊表层水温变化主要受纬度、平均温度、风速、平均水深和海拔这5个因素的影响。由于该地区气候较为干燥,湖泊往往具有较大的蒸发面。当风速增大时,它会加速湖泊表面的蒸发过程,从而带走更多的热量[5]。但是,在这种情况下蒸发带走的热量可能并不是直接降低湖泊表层水温,而是促进了湖泊与大气之间的热量交换。当蒸发带走的热量导致湖泊表面温度下降时,较暖的深层水体会通过对流等方式上升到表层,从而补充被蒸发的水体并带来较高的温度,使得湖泊表层水温在整体上呈现上升趋势或受到的影响较小。前人对新疆典型湖泊2000—2017年表层水温的研究表明,湖泊表层水温与区域气温及降水量之间存在显著的相关关系[20]。但在本研究中,降水对湖泊表层水温的影响却不显著。在东北平原与山地湖区,湖泊表层水温的变化受到纬度、风速、平均气温、平均水深、面积和海拔的共同作用,其中风速与湖泊表层水温呈反向作用、平均水深与湖泊表层水温呈正向作用。在东北平原与山地湖区,风速的增大加速了湖泊表面的蒸发过程,从而带走了更多的热量;外加气候条件和湖泊自身特性的影响,这种蒸发带走的热量可能无法被及时补充,从而导致湖泊表层水温下降。但对于水深较深的湖泊,其表层水温可能相对较高,因为深层水体中的热量可以通过对流等方式传递到表层。云贵高原湖区湖泊表层水温的变化与纬度、海拔有反向作用,而与平均气温和风速有正向作用。在云贵高原湖区,风速对湖泊表层水温的影响主要体现在水体的混合和热量交换上;当风速增大时,它会加强湖泊表层水体与大气之间的热量交换,使得表层水体能够更快地吸收或释放热量,从而导致表层水温的升高。此外,有研究表明:人类活动也是影响湖泊表层水温的一个因素,对于不同类型的湖泊,人类活动对其影响存在空间和季节差异[20-21];特别是在云贵高原地区的湖泊,当人类活动使湖泊表面水温升温1℃时,湖泊表面水温平均变暖2.98℃[10]。综上所述,本研究中除降水外,其他气候因素和湖泊属性相互作用,共同对湖泊表层水温的变化产生影响。

3 结论

1)1985—2022年,中国湖泊表层水温年均值以(0.126 ± 0.016)℃/10a的速率呈显著上升趋势,但空间差异较为显著,增温速率自西北向东南逐渐递增。其中增温速率最快的是东部平原湖区[(0.214 ± 0.037)℃/10a],最慢的是青藏高原湖区[(0.05 ± 0.015)℃/10a]。不同面积的湖泊,其表层水温的增温速率不同,面积越小,增温速率越显著。
2)在整个研究时段内,中国湖泊表层水温的多年平均值的范围在0.90~27.58℃之间,整体呈现出从西北向东南升高的特点。其中,青藏高原、新疆−内蒙古和东北平原与山地湖区的湖泊表层水温多年平均值低于云贵高原和东部平原湖区的湖泊表层水温。此外,不同季节的湖泊表层水温多年平均值及其变化趋势也存在明显的空间差异。
3)影响中国湖泊表层水温变化的主要因素是纬度、平均温度、海拔和湖泊面积大小,其中纬度、海拔和湖泊面积对湖泊表层水温是反向作用,而平均温度与湖泊表层水温是正向作用。东北平原与山地湖区和新疆−内蒙古湖区不但受上述因素的影响,而且还受到湖泊水深和风速的影响。总之,气候因素和湖泊属性相互关联,交互作用,共同影响着湖泊表层水温的变化。
由于受到数据条件的限制,本研究没考虑湖泊其他因素(如太阳辐射、水面蒸发、湖泊补给类型等)以及人类活动对湖泊表层水温的影响。未来的研究应建立更全的数据集,以揭示多种因素作用下湖泊表层水温变化的驱动机制和人类活动对湖泊表层水温变化的贡献。
[1]
Wang X W, Shi K, Zhang Y L et al. Climate change drives rapid warming and increasing heatwaves of lakes[J]. Science Bulletin, 2023, 68(14): 1574-1584.

[2]
Woolway R I, Kraemer B M, Lenters J D et al. Global lake responses to climate change[J]. Nature Reviews Earth & Environment, 2020, 1(8): 388-403.

[3]
Woolway R I, Anderson E J, Albergel C. Rapidly expanding lake heatwaves under climate change[J]. Environmental Research Letters, 2021, 16(9): 094013.

DOI

[4]
Woolway R I, Jennings E, Shatwell T et al. Lake heatwaves under climate change[J]. Nature, 2021, 589: 402-407.

DOI

[5]
Huang L, Wang X H, Yan Y Z et al. Attribution of lake surface water temperature change in large lakes across China over past four decades[J]. Journal of Geophysical Research: Atmospheres, 2023, 128 e2022JD038465

DOI

[6]
喻臻钰. 湖泊表面水温变化归因及其时空变化趋势预测关键技术与理论研究[D]. 昆明: 云南师范大学, 2022

Yu Zhenyu. Study on the attribution of lake surface water temperature change and the key technology and theory of predicting its spatio-temporal change trend—A case study of nine plateau lakes in Yunnan Province. Kunming: Yunnan Normal University, 2022.

[7]
Tong Y, Feng L, Wang X C et al. Global lakes are warming slower than surface air temperature due to accelerated evaporation[J]. Nature Water, 2023, 1: 929-940.

DOI

[8]
吕恒, 王伟, 万梓文, 等. 1991—2010年全球湖泊表面温度效应的时空格局及生物物理因子拆分[J]. 理学报, 2022, 77(9): 2266-2279.

DOI

Lyu Heng, Wang Wei, Wan Ziwen et al. Biophysical attribution of surface temperature difference between global lakes and their surrounding lands from 1991 to 2010 Acta Geographica Sinica, 2022, 77(9): 2266-2279.

DOI

[9]
王溪雯. 中国湖泊表层水温和热浪的变化规律及未来预估[D]. 兰州: 兰州大学, 2023

Wang Xiwen. Change pattern and future projection of surface water temperature and heatwaves in Chinese lakes. Lanzhou: Lanzhou University, 2023.

[10]
段海梅. 人类活动对湖泊表面水温变化的影响——以云贵高原主要湖泊为例[D]. 昆明: 云南师范大学, 2023

Duan Haimei. The impact of anthropogenic activities on lake surface water temperature changes: A case study of lakes in the Yunnan-Guizhou Plateau. Kunming: Yunnan Normal University, 2023.

[11]
Till A, Rypel A L, Bray A et al. Fish die-offs are concurrent with thermal extremes in north temperate lakes[J]. Nature Climate Change, 2019, 9(8): 637-641.

DOI

[12]
张运林, 秦伯强, 朱广伟, 等. 论湖泊重要性及我国湖泊面临的主要生态环境问题[J]. 学通报, 2022, 67(30): 3503-3519.

Zhang Yunlin, Qin Boqiang, Zhu Guangwei et al. Importance and main ecological and environmental problems of lakes in China Science Bulletin, 2022, 67(30): 3503-3519.

[13]
Wang W J, Shi K, Wang X W et al. The impact of extreme heat on lake warming in China[J]. Nature Communications, 2024, 15(1): 70-76.

DOI

[14]
施坤, 王玮佳. 中国湖泊表层温度及去除极端高温的湖泊表层温度日尺度数据集(1985—2022)[DB]. 北京: 国家青藏高原科学数据中心. https://doi.org/10.11888/Terre.tpdc.300801.

Shi Kun, Wang Weijia. Daily scale dataset of lake surface water temperature and lake surface water temperature after removing heat extremes in China (1985—2022). Beijing: National Tibetan Plateau/Third Pole Environment Data Center. https://doi.org/10.11888/Terre.tpdc.300801.

[15]
徐建华. 计量地理学[M]. 第三版. 北京: 高等教育出版社, 2017

Xu Jianhua. Quantitative Geography. 3rd ed. Beijing: Higher Education Press, 2017.

[16]
张克新, 赵莉, 彭娇婷, 等. 1960—2019年河西地区风蚀气候侵蚀力时空演变及其影响因素分析[J]. 理科学, 2023, 43(12): 2240-2246.

Zhang Kexin, Zhao Li, Peng Jiaoting et al. Temporal-spatial distribution characteristics in wind erosion climatic erosivity and its influencing factors in Hexi Area from 1960 to 2019 Scientia Geographica Sinica, 2023, 43(12): 2240-2246.

[17]
张克新, 赵莉, 汪田归, 等. 1978—2016年青藏高原湖冰物候时空变化特征及其影响因素分析[J]. 江流域资源与环境, 2024, 33(5): 1089-1098.

Zhang Kexin, Zhao Li, Wang Tiangui et al. Lake ice phenology variations and influencing factors in the Qinghai-Xizang Plateau during 1978—2016 Resources and Environment in the Yangtze Basin, 2024, 33(5): 1089-1098.

[18]
廖要明, 陈德亮, 刘秋锋. 中国地气温差时空分布及变化趋势[J]. 候变化研究进展, 2019, 15(4): 374-384.

Liao Yaoming, Chen Deliang, Liu Qiufeng. The spatiotemporal characteristics and long-term trends of surface-air temperature difference in China Climate Change Research, 2019, 15(4): 374-384.

[19]
Zhu L P, Ju J T, Qiao B J et al. Physical and biogeochemical responses of Tibetan Plateau lakes to climate change[J]. Nature Reviews Earth & Environment, 2025, 6: 284-298.

[20]
徐泽源. 2000—2017年间新疆地区典型湖泊表面温度变化过程[D]. 乌鲁木齐: 新疆大学, 2020

Xu Zeyuan. Exploring typical lake water surface temperature changes across Xinjiang during 2000—2017. Urumqi: Xinjiang University, 2020.

[21]
彭宗琪. 中国主要大型湖泊表面水温变化特征与驱动因素分析[D]. 昆明: 云南师范大学, 2022

Peng Zongqi. Analysis on the characteristics and driving factors of surface water temperature variation of major large lakes in China. Kunming: Yunnan Normal University, 2022.

文章导航

/