Scientia Geographica Sinica  2012 , 32 (10): 1229-1235 https://doi.org/10.13249/j.cnki.sgs.2012.010.1229

Orginal Article

50年来秦岭金钱河流域水文特征及其对降水变化的响应

白红英, 侯钦磊, 马新萍, 章杰, 袁博

西北大学城市与环境学院,陕西 西安 710127

Hydrological Characteristic and Its Responses to Precipitation Change in Jinqian River Basin of Qinling Moutains During the Last 50 Years

BAI Hong-ying, HOU Qin-lei, MA Xin-ping, ZHANG Jie, YUAN Bo

College of Urban and Environmental Science , Northwest University, Xi′an ,Shaanxi 710127,China

中图分类号:  P333

文献标识码:  A

文章编号:  1000-0690(2012)10-1229-07

收稿日期: 2011-09-26

修回日期:  2012-02-20

网络出版日期:  2012-10-20

版权声明:  2012 《地理科学》编辑部 本文是开放获取期刊文献,在以下情况下可以自由使用:学术研究、学术交流、科研教学等,但不允许用于商业目的.

基金资助:  国家科技基础性专项重点项目(科技部)(2007FY110800)资助

作者简介:

作者简介:白红英(1962-),女,陕西凤翔人,教授,博士生导师,主要从事全球变化生态学、自然地理学等方面的科研与教学。E-mail:hongyingbai@163.com

展开

摘要

运用集中度和集中期、Kendall秩相关系数、R/S分析法、降水—径流双累积曲线模型及其他数理统计方法,分析了金钱河流域径流的变化特征,探讨了年际、季节及月尺度上径流变化的趋势并预测了未来趋势,用集中期指标反映了径流对降水响应的滞后效应,并定量分析了降水变化和人类活动对径流变化的贡献率。结果表明:50 a来径流量呈现出显著的递减趋势(p<0.05),递减率为34.33 m3/(s•10a),Hurst指数H=0.669>0.5,表明未来的一段时间内变化趋势与现在相同;1~12月各月径流均表现为下降趋势。流域内径流对降水的响应存在滞后效应,50 a径流对降水平均每年滞后23.6 d,且滞后天数具有明显上升趋势。50 a来径流系数呈极显著减小趋势,降水量转化为径流的部分在逐年减少,被植物截留、填洼、入渗和蒸发的部分增加;径流发生突变后比突变前径流系数降低了35.2%。50 a来降水变化对径流变化的影响率为53.4%,高于人类活动影响率46.6%,是导致径流变化的主要原因,人类活动为次要原因。

关键词: 金钱河流域 ; 径流 ; 集中度 ; 集中期 ; 径流系数 ; 滞后 ; 水文效应

Abstract

The response of river water resource to both human activities and climate changes, as the theoretical basis to understand the river hydrological process and the sustainable use of regional water resources, has gained more and more attentions in water research during the last decades. In this study, the seasonal and annual variations and the temporal trend of runoff in Jinqian River Basin were analyzed by using the methods of concentration frequency,concentration period, Kendall coefficient, rescaled range analysis and double mass curve for annual rainfall stream flow comprehensively, in which the runoff and precipitation lagging effect was represented by concentrated period index. The effects of the precipitation change and human activities on runoff were also analyzed quantitatively. The annual runoff of Jinqian River is mainly contributed by those occurred from July to October with a proportion of 65%. Regression analysis showed that the Jinqian River’s runoff decreased with time at a rate of 34.33 m3/(s•10a)significantly (p<0.05). The Hurst index was 0.669, which indicates that the decreasing trends of runoff in Jinqian River’s will continue in the future. There is an around 23.6 days hysteresis in the response of runoff to precipitation, and the hysteresis has obvious up trend. Through the annual runoff coefficient, It was found that the runoff from rainfall decreased with the time due to plant interception, infiltration and evaporation during last 50 years. Human activities and climate change both had significant impacts on the water resource of Jinqian River. The result of double mass analysis showed that the decreases of runoff in Jinqian River’s mainly attributed to climate change, and its contribution were 53.4%.

Keywords: Jinqian River Basin ; runoff ; concentration frequency ; concentration period ; variations of runoff coefficient ; hysteresis effect ; hydrological effect

0

PDF (501KB) 元数据 多维度评价 相关文章 收藏文章

本文引用格式 导出 EndNote Ris Bibtex

白红英, 侯钦磊, 马新萍, 章杰, 袁博. 50年来秦岭金钱河流域水文特征及其对降水变化的响应[J]. , 2012, 32(10): 1229-1235 https://doi.org/10.13249/j.cnki.sgs.2012.010.1229

BAI Hong-ying, HOU Qin-lei, MA Xin-ping, ZHANG Jie, YUAN Bo. Hydrological Characteristic and Its Responses to Precipitation Change in Jinqian River Basin of Qinling Moutains During the Last 50 Years[J]. Scientia Geographica Sinica, 2012, 32(10): 1229-1235 https://doi.org/10.13249/j.cnki.sgs.2012.010.1229

水资源是人类生产与生活活动的基础自然资源,是生态环境建设的控制性因素,同时也是具有战略性的经济资源,是一个国家综合国力的有机组成部分[1]。河川径流作为水循环的重要环节,是水资源综合开发利用、科学管理、优化调度最重要的依据。随着全球变暖和人类活动影响的加剧,河川径流发生了显著的时空变化,直接影响了流域水资源的配置、开发与利用,以及河流生态系统的物理、化学和生物过程[2,3]

全球气候变化是导致径流发生变化的最直接原因,国内外许多研究学者已经对气候变化与径流变化之间的相互关系进行了研究。张士锋[4]等建立三江源地区的降水、气温和径流的驱动模型,分析了气候变化对径流的驱动。姚允龙[5]等利用水量平衡法和降水-径流经验模型,定量分析了受到气候变化和人类活动的双重影响的挠力河流域气候变化对径流的影响。傅丽昕[6]等探讨了过去半个世纪塔里木河源流区气候变化及其对河川径流的影响。以降水为主要补给来源的河流,其径流对降水一般存在滞后效应,如崔步礼[7]等利用集中期研究了青海湖流域的布哈河的径流对降水的响应。

金钱河系汉江支流,位于陕西秦岭南坡,是中国南水北调工程中线调水的给水地。据高翔[8]的研究,1959~2009年秦岭南坡降水量以14.7 mm/10a的递减率持续减少,降水的减少会对河川径流产生影响。本文基于实测径流资料和降水资料,以金钱河为研究对象,对金钱河流域50 a来径流的年际变化特征及其变化趋势进行研究,旨在揭示全球变化大背景下径流变化特征规律及由降水变化引起的水文效应,为流域水资源管理利用和生态预警提供理论依据。

1 研究区概况

金钱河地处陕西秦岭深处,发源于海拔2 320.5 m的秦岭主脊南侧,是汉江在秦岭南坡的一条支流,主要以降水补给为主。金钱河在陕西秦岭河段长度为199 km,介于109°9′E~110°19′E,33°11′N~33°52′N之间,流域面积4 516 km2。研究区位于金钱河上游,气候类型属于亚热带向暖温带过渡的季风性半湿润山地气候,年平均气温12~14℃,年降水量700~900 mm,主要集中在6~10月,约占年降水总量的71.49%。径流主要集中在7~10月,季节上表现为夏秋两季,约占年径流总量的61.49%。流域内主要分布有华山松(Pinus armandii)、油松(Pinus tabuliformis)、马尾松(Pinus massoniana)、栓皮栎(Quercus variabilis)、青冈栎(Cyclobalanopsis glauca)、胡枝子(Lespedeza bicolor )、水马桑(Weigela japonica var. sinica)、绣线菊(Spiraea salicifolia)、荆条草(Vitex negundo var. heterophylla)、芒草(Miscanthus sinensis)、龙须草(Eulaliopsis binate)等。

研究区内植被覆盖良好,人口密度较小,流域内没有大型的水利工程设施,自然环境受人为影响程度较小,是研究水资源与环境变化之间关系的有利场所。

2 资料和方法

2.1 资料选取

水文数据来源于《中华人民共和国水文年鉴》[9]和陕西省水文局,包括降水和径流要素的统计数据, 时间系列均为1960~2009年。其中,流域的平均降水量是根据流域内部的曹坪、张家坪、东江口、山阳、黑山、小河口、龚家坪、水草坪、长沟、漫川关以及邻近区域的金盆、石坪、高鹿坪13个雨量站数据, 采用泰森多边形法[10]获得。本文选用南宽坪水文站1960~2009年逐月实测径流资料研究径流的变化特征,南宽坪水文站的地理坐标为109°54′E,33°18′N。

2.2 研究方法

本文利用集中度Cd、集中期D[11]、累积滤波器法、Kendall秩相关系数、R/S分析法、Mann-Kendall突变检验、降水—径流双累积曲线法及其他数理统计方法,分析金钱河流域径流量在年际、季节、月份等时间尺度上的变化特征,并试图建立降水量与径流量之间的内在联系。对于季节的定义:春、夏、秋、冬四季分别为3~5月、6~8月、9~11月和12月~翌年2 月。本文对集中度和集中期做了一定程度的概化处理,以1月份径流向量所在位置定为0°,依次按30°等差角度表示2~12月径流所在位置(表1),具体的计算方法见参考文献[12]。

累积滤波器只能反映时间序列定性的变化趋势[13],本文选用Kendall秩相关系数对径流变化趋势进行定量分析,其基本原理和计算公式参见参考文献[14]。R/S分析法(Rescaled Range Analysis),无论时间序列是正态还是非正态分布,其分析结果的稳定性均不受影响[15,16]。本文将其用于研究流域径流序列变化的持续性特征。R/S法从定性的角度认识序列过去与未来是否存在相同或相反的变化特征,着重揭示未来的变化特征[17]。Kendall秩相关系数和R/S分析法综合就可以得出未来的趋势特征。

双累积曲线法[18,19] (Double mass analysis)的基本思想是两个变量按同一时间长度逐步累加,一个变量作为横坐标,另一个变量作为纵坐标,其拐点可作为分析变量阶段性变化的依据。可以揭示人类活动对径流影响的阶段性变化,可以定量反映降水变化和人类活动变化对径流变化的贡献率。

3 结果与分析

3.1 流域河流水文特征

3.1.1 径流的变化趋势分析

结合图1表2分析,金钱河流域径流变化表现为递减趋势。图1显示50 a来金钱河流域径流递减率为34.33 m3/(s•10a),Kendall秩序相关系数检验的M值为-1.962,说明金钱河流域径流量递减趋势显著。用R/S分析法来预测金钱河流域径流量变化的未来趋势,计算后得到Hurst指数H=0.669>0.5,说明未来径流量变化与现在保持相同的态势,即有持续递减的特征。结合M值和Hurst指数分析,若金钱河流域的气候变化和人类活动依然保持现有趋势或变化更为剧烈时,其径流量依然继续保持显著递减的状态。

表1   全年各月包含的角度及月中代表的角度值

Table 1   Contained angle and representative angle of each month in a year

月份(月)123456
包含角度345°~15°15°~45°45°~75°75°~105°105°~135°135°~165°
代表角度30°60°90°120°150°
月份(月)789101112
包含角度165°~195°195°~225°225°~255°255°~285°285°~315°315°~345°
代表角度180°210°240°270°300°330°

新窗口打开

图1   1960~2009年金钱河年平均流量变化

Fig.1   Dynamic of annual runoff of Jinqian River in 1959-2009

结合图2表3分析可以看出,金钱河流域四季径流量均表现为递减趋势,递减率依次为13.870 m3/(s•10a)、5.665 m3/(s•10a)、20.111 m3/(s•10a)和3.003 m3/(s•10a);通过Kendall秩相关系数检验可以看出,春季和冬季的M值分别为-3.144和-2.980,递减趋势极显著;夏季的M值为-1.240,递减趋势不显著;秋季的M值为-2.176,递减趋势显著。用R/S法对春夏秋冬四季的未来变化趋势进行预测,Hurst指数依次为H=0.797、H=0.664、H=0.691、H=0.827,H值均大于0.5,表明四季变化趋势与过去保持一致,结合M值和H值分析表明,未来一段时间内,金钱河流域春季和冬季径流量将会继续持续极显著的递减趋势、秋季径流量为显著的递减趋势、夏季径流量为不显著的递减趋势。

表2   金钱河南宽坪站年平均径流变化趋势的定量检验

Table 2   Statistical test on average annual runoff of Jinqian River

水文站Kendall秩相关系数累积滤波器法Hurst指数未来趋势
M趋势显著性
南宽坪-1.9622递减1.96显著递减0.6691递减

注:α显著性检验水平0.05。

新窗口打开

图2   金钱河季节径流量变化

Fig.2   Yearly variations of seasonal runoff in Jinqian River

表3   金钱河流域四季径流变化趋势定量检验

Table 3   Statistical test on seasonal changes of annual runof in Jinqian River

季节Kendall秩相关系数累积滤波器法Hurst指数未来趋势
M趋势=0.05=0.01显著性
-3.1444递减1.962.57极显著递减0.7970递减
-1.2397递减1.962.57不显著递减0.6637递减

-2.1756
-2.9802
递减
递减
1.96
1.96
2.57
2.57
显著
极显著
递减
递减
0.6906
0.8265
递减
递减

新窗口打开

根据Kendall秩相关系数对金钱河流域1960~2009年月径流序列进行分析,结果如图3所示,1~12月各月径流均表现为下降趋势,且除8月外,其余各月都呈现为显著趋势。

图3   金钱河流域南宽坪站月径流量演化趋势(注:图中虚线为显著性系数α=0.05时的临界值M=-1.96。)

Fig. 3   Monthly runoff trend of Nankuanping station in Jinqian River Basin

3.1.2 径流的集中度与集中期

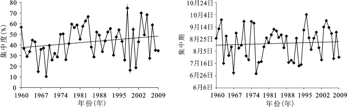
图4是金钱河流域径流量集中度和集中期的年际变化,从图中可以看出,径流量集中度随年际变化上下波动,50 a中的34 a径流集中度集中在30%~60%之间,占68%,最小值为10.22%,最大值为74.72%,说明金钱河径流集中在一年内的某几个月内。并且从径流集中度趋势线可以看出集中度有上升的趋势。金钱河径流量集中期存在上下波动趋势,并且从趋势线可以看出随时间的推移,发现集中期逐渐向后推移,从分布的时间范围上来看主要集中在8月中旬至9月中旬,50 a中有30 a落在这一时段内,占总年份的60%。

3.2 流域降水的集中度和集中期

金钱河流域降水集中度和集中期年际分布如图5所示,从图中可以看出,降水集中度分布在33.13%~66.40%之间,大部分集中在45%~55%之间。从趋势线的走势可以看出,集中度有上升的趋势。降水集中期分布在6月底至8月下旬,有31a的集中期在7月10日至8月10日,占总年份的62%,且从趋势线走势可以发现降水集中期有前移的趋势。

金钱河流域地处秦岭以南,主要以降水为主要补给来源,径流受降水量的直接影响[17,18],因此,需要考虑降水量和径流之间的关系。采用金钱河流域年径流深和年降水量进行关联分析(图6),年降水量和年径流深的相关系数r=0.886(p<0.001),说明年降水量和年径流深之间的回归方程有较好的拟合度,即年降水量增加径流量会相应的增加,反之亦然。

通常用径流系数来说明降水量跟径流之间的关系,图7是金钱河流域径流系数的年际变化,金钱河流域年径流系数呈递减趋势,且r=0.371>0.354=α0.01(50) (p<0.01),表明递减趋势极显著,说明降水量转化为径流的部分在逐年减少,被植物截留、填洼、入渗和蒸发的部分增加。用Mann-kendall检验法对金钱河径流突变点进行检验发现流域径流量在1993年发生了由多到少的突变,突变前(1960~1992年)平均径流系数为0.37,突变后(1993~2009年)为0.24,说明突变后更多的降水转变为蒸发、入渗等。

径流的形成受到流域内气候和下垫面的影响,是流域内各种自然地理因素综合作用的产物。从降水到形成径流需要经历停蓄阶段、漫流阶段和河槽集流阶段3个特征阶段,由于每次降水的强度和持续性不同,加之流域下垫面的影响,径流的形成需要时间,因此, 流域内每次降水汇流至河道内需要一定的时间,本文应用降水和径流的集中期来探讨径流对降水的滞后效应。

图4   金钱河径流量集中度和集中期年际变化

Fig. 4   Yearly variations of concentration frequency and period of annual runoff in Jinqian River

图5   金钱河流域降水量集中度和集中期年际变化

Fig .5   Yearly variations of concentration frequency and concentration period of precipitation in the Jinqian River Basin

图6   金钱河流域径流深度与降水量回归分析

Fig. 6   Regression analysis between runoff depth and annual precipitation in the Jinqian River Basin

图8可以看出,径流集中期均出现在降水集中期之后,并且波动趋势大致相同,径流对降水存在滞后效应。径流集中期相对降水集中期滞后的天数大致集中在15~40 d内,50 a中有32 a滞后时间集中在这一区间,占64%。径流对降水平均每年滞后天数为23.6 d,说明从流域降水开始经过停蓄、漫流、河槽集流,然后汇流至金钱河河道大概需要20 d左右的时间。此外,从滞后天数的趋势线可以看出,滞后时间有增大的趋势,20世纪60年代至21世纪00年代,各年代平均滞后天数为18.7 d、20.4 d、27.3 d、22.6 d和28.5 d,除20世纪90年代外,径流对降水滞后天数随时间推移具有明显的上升趋势。

结合年径流系数和径流对降水的滞后天数可以发现,随着径流系数的逐渐减小,径流对降水的滞后时间逐渐增加,说明降水大部分转化为径流时,径流对降水的滞后时间短,而降水大部分被截留、入渗和蒸发时,径流对降水的滞后时间长。

图7   金钱河流域径流系数年际变化

Fig .7   Yearly variations of runoff coefficient in the Jinqian River Basin

图8   金钱河流域降水和径流的集中期对比及滞后时间年际变化

Fig.8   Comparison of concentration period of annual precipitation and runoff as well as the runoff hysteretic days

3.3 降水变化对径流的影响

图9显示降水—径流双累积曲线自1975年开始发生显著偏移,降水—径流双累积曲线发生显著偏移前的时段可以作为河流径流量未受人类活动干扰的基准期。因此,确定基准期为1960~1974年,并依此对金钱河径流序列划分年段,具体见图9

图9   金钱河流域降水—径流双累积曲线

Fig.9   Double mass curve for annual precipitation runoff of Jinqian River Basin

依据基准期年降水和年径流资料,建立基准期内的径流序列R和降水序列P的相关方程,其方程为:R=0.035P-14.411,r=0.932。

根据年降水量与年径流量的相关方程可得各站点不同时段的理论平均径流量,并将其作为天然径流量的近似值。基准期实测值与各个时段的计算值的差值即为此时段降水变化对径流变化的影响值;基准期实测值与各时段实测值的差值减去降水变化的影响值即为人类活动对径流变化的影响值。

分析表4可以发现除1983~1992年比较特殊之外,其余时段降水对径流变化的影响逐渐减小,人类活动对径流的影响增大,1975~2009年降水变化对径流的影响率为53.42%,高于人类活动的影响率46.58%。而1983~1992年,径流量和降水量相对于基准期而言都有所增加,但降水计算值还是小于径流实测值,这说明该时段内应该有外来水源注入金钱河,导致径流量的增大,关于这一时段的具体特点,还需更深层的分析。

表4   降水对金钱河径流影响计算结果

Table 4   Influence of precipitation on the Jinqianhe River runoff

年份(年)降水(mm)径流(108m3)降水因素人为因素
实测计算总减少影响值(108m3影响率(%)影响值(108m3影响率(%)
1960~1974733.60811.315
1975~1982654.6388.3038.3703.0122.94597.7620.0672.238
1983~1992780.9113.20712.765-----
1993~2002647.955.4468.1385.8693.17754.1382.69245.862
2003~2009726.3578.68210.8662.6330.44917.0442.18482.956
1975~2009703.1498.96310.0592.3521.25653.4191.09646.581

新窗口打开

4 结 论

1) 50 a来金钱河径流量呈现出显著的递减趋势,未来的一段时间内变化趋势与现在相同。季节上,现在和未来的时间内,春季和冬季径流量都呈极显著的递减趋势、夏季径流量表现为不显著的递减趋势、秋季径流量表现为显著的递减趋势。

2) 流域内径流对降水存在滞后效应,50 a平均滞后天数为23.6 d,且滞后天数具有明显的上升趋势。

3) 受气候变化和人类活动的影响,金钱河径流在1993年发生突变;50 a来流域内年径流系数逐渐减小,说明50 a来降水转变为径流的部分减少,更多的降水被植物截留、填洼、入渗和蒸发。

4) 50 a来降水变化对径流减少的贡献率为53.42%,降水以外其他因素的贡献率为46.58%,说明流域内降水变化对径流变化的影响较大。此外,人类活动随时间的推移对径流的影响逐渐增大,近些年人类活动成为影响径流变化的主要因素。

本文只是分析了降水变化对径流变化的影响,土地利用与土地覆被变化对径流减少的也有明显作用[20],径流对降水的滞后时间随年际变化呈增大趋势,这也可能是由于地表覆被变化(如研究区内植被指数NDVI的显著升高)或人类对降水进行拦截引起的。因此金钱河流域内土地利用方式的转变对河川径流存在什么样的影响?金钱河流域内径流对降水滞后的时间增大是否与该流域土地利用方式的转变有关?这些都需要进一步的研究和探讨。

The authors have declared that no competing interests exist.


参考文献

[1] 陈志恺.

中国水资源的可持续利用问题

[J].水文,2003,23(1):1~5.

[本文引用: 1]     

[2] 曹建廷,秦大河,罗勇,.

长江源区1956~2000年径流量变化分析

[J].水科学进展,2007,18(1):29~33.

[本文引用: 1]     

[3] 王国庆,张建云,贺瑞敏.

环境变化对黄河中游汾河径流情势的影响研究

[J].水科学进展,2006,17(6) :853~858.

[本文引用: 1]     

[4] 张士锋,华东,孟秀敬.

三江源气候变化及其对径流的驱动分析

[J].地理学报,2011,66(1):13~24.

[本文引用: 1]     

[5] 姚允龙,吕宪国,王蕾,.

气候变化对挠力河径流量影响的定量分析

[J].水科学进展,2010,21(6):765~770.

[本文引用: 1]     

[6] 傅丽昕,陈亚宁,李卫红,.

塔里木河源流区近50a径流量与气候变化关系研究

[J].中国沙漠,2010,30(1):204~209.

[本文引用: 1]     

[7] 崔步礼,李小雁,李岳坦,.

青海湖流域河川径流特征及其对降水的滞后效应

[J].中国沙漠,2011,31(1):247~253.

[本文引用: 1]     

[8] 高翔,白红英,张善红,.

1959~2009年秦岭山地气候变化趋势研究

[J].水土保持通报,2012,32(1):207~211.

[本文引用: 1]     

[9] 长江流域水文处.

中华人民共和国水文年鉴第6卷长江流域水文资料第14册汉江区

[M].武汉:长江流域规划办公室,1970~1982.

[本文引用: 1]     

[10] 董官臣,冶林茂,符长锋.

面雨量在气象预报中的应用

[J].气象,2000,26(1): 9~13.

[本文引用: 1]     

[11] 汤奇成,程天文,李秀云.

中国河川月径流的集中度和集中期的初步研究

[J].地理学报,1982,37(4):383~393.

[本文引用: 1]     

[12] 刘贤赵,李嘉竹,宿宁,.

基于集中度和集中期的径流年内分配研究

[J].地理科学,2007,(6):91~795.

[13] 陈仁升,康尔泗.

甘肃省河西地区近50 年气象和水文系列的变化趋势

[J]. 兰州大学学报(自然科学版) , 2002,38(2) : 163~170.

[本文引用: 1]     

[14] George E P Box,Jenkins G M, Reinsel G, et al.

Time Series Analysis Forecasting and Control (Third Edition)

[M].NJ, USA: Wiley,1994.

[15] Mandelbrot B B.

The Geometry of Nature

[M]. New York: W. H. Freeman, 1982.

[本文引用: 1]     

[16] 燕爱玲,黄强,刘招.

R /S法的径流时序复杂特性研究

[J]. 应用科学学报, 2007, 25(2) : 214~217.

[本文引用: 1]     

[17] 徐宗学,李占玲,史晓崑.

石羊河流域主要气象要素及径流变化趋势分析

[J].资源科学,2007,29(5): 121~128.

[本文引用: 2]     

[18] Yue S, Pilon P, Phinney B.

Canadian stream flow trend detection : impacts of serial and cross correlation

[J]. Hydrological Science Journal,2003,48(1): 51-63.

[本文引用: 2]     

[19] 侯钦磊,白红英,任园园,.

50年来渭河干流径流变化及其驱动力分析

[J].资源科学,2011,33(8):1505~1512.

[本文引用: 1]     

[20] 朱丽,秦富仓,姚云峰,.

北京市红门川流域森林植被/土地覆被变化的水文响应

[J]. 生态学报,2010,30(16) : 4287~4294.

[本文引用: 1]     

/