Scientia Geographica Sinica  2013 , 33 (9): 1125-1131 https://doi.org/10.13249/j.cnki.sgs.2013.09.1125

Orginal Article

TRMM降水数据在横断山区的精度

朱国锋1, 蒲焘2, 张涛2, 刘海龙1, 张学斌1, 梁峰1

1.西北师范大学地理与环境科学学院, 甘肃 兰州730000
2.中国科学院寒区旱区环境与 工程研究所冰冻圈科学国家重点实验室, 甘肃 兰州730000

The Accuracy of TRMM Precipitation Data in Hengduan Mountainous Region, China

ZHU Guo-feng1, PU Tao2, ZHANG Tao2, LIU Hai-long1, ZHANG Xue-bin1, LIANG Feng1

1.College of Geography and Environment Science, Northwest Normal University, Lanzhou, Gansu 730070, China
2. State Key Laboratory of Cryosphere Sciences, Cold and Arid Regions Environmental and Engineering Research Institute, Chinese Academy of Sciences, Lanzhou, Gansu 730000, China

中图分类号:  p426.1/p467

文献标识码:  A

文章编号:  1000-0690(2013)09-1125-07

收稿日期: 2012-09-20

修回日期:  2013-04-13

网络出版日期:  2013-09-30

版权声明:  2013 《地理科学》编辑部 本文是开放获取期刊文献,在以下情况下可以自由使用:学术研究、学术交流、科研教学等,但不允许用于商业目的.

基金资助:  国家自然科学基金项目(41273010、41271133、41261104)资助

作者简介:

作者简介:朱国锋(1983-),男,甘肃平凉人,博士,主要从事水文学研究。E-mail:guofengzhu@me.com

展开

摘要

利用相关系数法和散点斜率法对横断山区1998~2011年之间月尺度的TRMM 3B43降水数据精度进行了检验。研究表明,TRMM 3B43降水数据与实测数据相关性很强,但是比实测降水量偏大33.9%。在横断山北部大雪山以东地区和南部香格里-贡山-德钦一带三江并流区TRMM 3B43数据误差较大。各个季节TRMM 3B43降水与实测值误差的空间分布有较大区别,但是都表现为北部沿经向分布,南部沿纬向分布的趋势;横断山区高海拔地区气象站点稀少和复杂的下垫面环境是产生观测误差的主要原因。

关键词: 降水 ; TRMM 3B43 ; 相关系数法 ; Kriging插值 ; 横断山区

Abstract

Based on the correlation coefficients and scatter points slope methods, the accuracy of TRMM 3B43 data at monthly time scale during 1998-2011 was validated using 24 meteorological stations data, with the method of Kriging under ArcGIS,the error spatial distribution map of TRMM 3B43 data was drawn in order to research the regional difference. There was a strong correlation between TRMM 3B43 data and meteorological stations observation data(R=0.928;p<0.01), but the value of TRMM 3B43 precipitation was greater than meteorological station, the deviations were 32.0%(spring), 38.3%(summer), 36.8%(autumn), 34.9%(winter), respectively. The TRMM 3B43 data was accurate in the south and the northwest, while the northeast and middle area was poor, especially in east Mt. Daxue and three Parallel Rivers area, the deviation is greater than 35% in east Mt. Daxue and three Parallel Rivers area and 25%-35% in other areas. The error spatial distribution of TRMM 3B43 precipitation is quite different, but most distribution follows a basic structure that distributed along the longitude in north of Hengduan Mountains and along latitude in south. The meteorological stations in Hengduan Mountainous Region are spaced widely and distributed unevenly. The terrain is complicated and varied in the study area, the longitudinal range-gorge caused an obvious action that east and west blocked but north and south through, which impacted on the spatial distribution of southwest monsoon obviously, and the southwest monsoon is the crucial factor which influenced the precipitation of Hengduan Mountainous Region. In spring and summer, the precipitation spatial and temporal distribution is discontinuous because of range-gorge terrain. In autumn and winter, the precipitation equivalent area distributed continuously, the influence of terrain is not obvious. The main error sources of the meteorological stations are of scarcity at high elevation and the mountain terrain special surface.

Keywords: precipitation ; TRMM 3B43 ; correlation analysis ; Kriging interpolation ; Hengduan Mountainous region

0

PDF (666KB) 元数据 多维度评价 相关文章 收藏文章

本文引用格式 导出 EndNote Ris Bibtex

朱国锋, 蒲焘, 张涛, 刘海龙, 张学斌, 梁峰. TRMM降水数据在横断山区的精度[J]. , 2013, 33(9): 1125-1131 https://doi.org/10.13249/j.cnki.sgs.2013.09.1125

ZHU Guo-feng, PU Tao, ZHANG Tao, LIU Hai-long, ZHANG Xue-bin, LIANG Feng. The Accuracy of TRMM Precipitation Data in Hengduan Mountainous Region, China[J]. Scientia Geographica Sinica, 2013, 33(9): 1125-1131 https://doi.org/10.13249/j.cnki.sgs.2013.09.1125

引言

降水量时空变异性较大,对各种时空尺度的大气和水文过程都有深刻的影响,是水文学、气候学和生态学等研究中必须的基础性数据[1~5]。横断山区地形复杂多变,下垫面情况异常复杂,受到西南季风、东南季风、盛行西风、西北季风等多种气候系统影响,降水的不确定性极强[6~8]。根据WMO推荐的站网密度标准[9],山区站点密度应高于平原地区,但是中国目前站网密度却呈现平原区高而山区低的现象,横断山区气象站点密度总量偏小且空间分布很不均匀,全国现有752个基本地面气象站中分布在横断山区的仅37个,海拨4 000 m以上的气象站仅有石渠站。在现有的地基台站基础上开展气候、水文和生态相关研究受到诸多限制。常规地基台站以及机载仪器难以同时开展长时间和大范围的监测,多卫星微波遥感技术克服了地基平台雷达以及地基雨量计的局限,实现全球尺度降水和云的观测,且微波能够穿透云体,利用云内降水粒子和云粒子与微波的相互作用对云、雨进行更为直接的探测[10]

1997年底携带高分辨率的微波成像仪(TMI)的热带测雨卫星(TRMM)发射以来国内外学者对于微波反演降水开展一系列的研究[3,4,10~14]。TRMM数据能够保证不同海拔高度降水数据的均一性,且融合TMI、PR、VIRS多个卫星数据,数据质量较高[10~13],随尺度增加TRMM估测精度会大幅度提高[10~13]。本文借助TRMM(The Tropical Rainfall Measuring Mission) 3B43数据,对地基台站降水数据缺乏的横断山区降水时空分布进行分析并探讨TRMM 3B43数据在季节尺度上与地基台站降水数据的差异。

1 数据和研究方法

TRMM 3B43数据来自NASA(http://www.nasa.gov/topics/earth),其空间分辨率为0.25°×0.25°,时间分辨率为月,时段为1998~2011年。用于TRMM 3B43数据验证的实测降水资料来自于中国气象局国家气象信息中心(http://www.nmic.gov.cn/)。利用数据质量控制软件RClimDex和数据非均一化检验软件RHtest遴选出了1998~2011 年横断山区24个国家基准与基本站观测数据(http://cccma.seos.uvic.ca/ETCCDI/software.shtml)(图1表1)。用于讨论影响降水的高程和植被因素的数据来自于玉龙雪山冰川与环境观测研究站。

横断山区是世界上最典型的纵向山脉分布区之一,“通道-阻隔”作用非常明显[15,16],即区内东西向阻隔作用的绝对性和南北通道作用的相对性,气候上深受西南季风和西风环流交替影响。以往针对TRMM数据的检验多在海洋或地势相对较平坦的区域[3,11],而对下垫面较复杂的区域检验不足,本文利用相关系数法、散点斜率法和地统计方法对横断山区的TRMM 3B43数据精度进行分析验证 [16~19]

表1   气象站点

Table 1   Meteorological stations

站点经度纬度海拔(m)站点经度纬度海拔(m)
大理100°6′36″25°25′12″1990.5丽江100°7′48″26°31′12″2392.4
道孚101°4′12″30°35′24″2957.2马尔康102°8′24″31°32′24″2664.4
稻城100°10′48″29°1′48″3528木里101°9′36″27°33′36″2426.5
德格98°20′60″31°28′48″3349若尔盖102°34′48″33°21′0″3439.6
德钦98°32′60″28°17′24″3319石渠98°3′36″32°35′24″4518
丁青95°21′36″31°15′0″3873.1松潘103°20′24″32°23′24″2850.7
甘孜100°0′0″31°22′12″3393.5西昌102°9′36″27°32′24″1590.9
贡山98°24′0″27°32′42″1583.3香格里99°42′0″27°29′24″3281
华坪101°9′36″26°28′48″1244.8小金102°12′36″31°0′0″2369.2
九龙101°17′60″29°0′0″3009新龙100°11′24″30°33′36″3890
康定101°34′48″30°1′48″2615.7盐源101°18′36″27°15′36″2545
理塘100°9′36″30°0′0″3948.9越西102°18′36″28°23′24″1659.5

新窗口打开

图1   研究区(a)及TRMM格网分布(b)

Fig.1   Study area (a) and TRMM grid distribution (b)

2 结果与分析

2.1 TRMM 3B43降水数据在横断山区的精度

气象站实测的不同季节和年降水量与TRMM 3B43反演的降水量之间呈现出较高的相关性(R=0.928,P<0.01)(表2),贡山和德钦站降水量实测值与TRMM 3B43的相关系数分别为0.674、0.788,相关性相对较弱,仅有德格站冬季降水量与TRMM 3B43的相关系数为0.32且未通过P<0.05显著性检验,其余都通过P<0.01显著性检验。这说明TRMM 3B43反演的降水数据与站点实测值的分布和变化趋势有很强的一致性。

表2   TRMM 3B43与实测降水量的相关性(P<0.01)

Table 2   Correlation between measured precipitation and TRMM 3B43 (P<0.01)

站点春季夏季秋季冬季站点春季夏季秋季冬季
大理0.9380.7830.9250.9310.932丽江0.9440.8430.9660.7220.969
道孚0.8830.8690.9170.5440.959马尔康0.9600.8380.9400.8380.961
稻城0.8540.9290.9710.9320.984木里0.9470.4960.8800.7560.916
德格0.8920.7840.9340.3200.956若尔盖0.8190.7910.9420.7620.936
德钦0.4690.6920.7390.9280.788石渠0.8710.6890.8100.6810.921
丁青0.8610.8660.9320.6880.964松潘0.8190.6710.9340.8310.905
甘孜0.9590.8680.9360.8960.971西昌0.8770.8090.9260.8510.954
贡山0.5780.6060.6960.7380.674香格里0.7940.7560.8630.6410.910
华坪0.9290.6480.8920.5350.923小金0.8740.7700.8980.6840.934
九龙0.9610.8370.9730.5640.966新龙0.8940.7690.9340.7420.956
康定0.9370.8840.9080.9550.951盐源0.9270.5990.8780.7710.923
理塘0.8430.9060.9640.8040.977越西0.8600.5500.8740.6580.908

新窗口打开

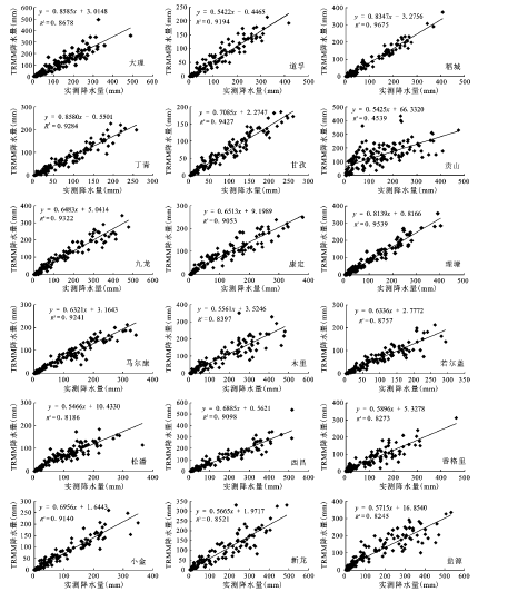
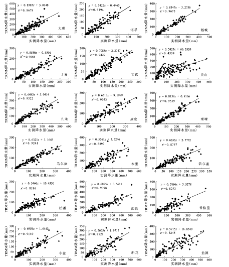
TRMM 3B43与气象台站观测数据决定系数R2=0.862 5,K=0.662。 整体而言,TRMM 3B43数据的降水量比实测值偏大。从检验的结果可知,TRMM 3B43数据在整体上与实测数据有一致的分布规律和变化趋势,但是实测数据是单点数据,而TRMM数据是格网数据,相关性分析容易掩盖单点数据与对应格网的TRMM 3B43数据之间的差异。事实上降水受地形、地势、海拔、大气环流、海陆位置等因素影响,具有时空不连续性与高度非线性特征,对部分气象站点进行回归检验(图2)。

图2   TRMM 3B43数据与实测数据

Fig.2   Scatter diagram of TRMM 3B43 and meteorological station data

实测数据与TRMM 3B43数据线性回归方程的斜率K揭示各个气象站所对应格网的TRMM 3B43数据偏离实测数据的程度。利用下式计算TRMM 3B43数据高(低)估程度(表3)。

B= (K-1)×100%

式中,B为实际误差,正值表示高估,负值表示低估,单位为%;K为线性回归方程的斜率。

2.2 不同季节TRMM 3B43数据误差空间分布

为分析各个台站TRMM 3B43数据与观测数据之间误差的分布规律,采用克里金插值法对春、夏、秋、冬和年的误差进行插值,得到误差在横断山区的空间分布图(图3)。整体来看,TRMM 3B43数据低估了横断山区33.9%的降水量(表3图3)。从不同季节误差的空间分布来看,春季和冬季降水量误差的空间差异性较大(表3图3);从空间分布来看,横断山北部地区从西到东误差依次增大,沙鲁里山北段以西误差较小,在30%左右,误差高值区出现在北部雅砻江以东的大雪山和邛崃山一带,为30%~40%;南部地区年降水量误差在30%~40%之间;哈巴雪山和大雪山南端一带误差较大,其余区域误差较小;误差等值区域在横断山北部表现为沿纵向山脉呈经向分布,在南部则表现为纬向上从南至北纬向分布。各个季节TRMM 3B43降水与实测值误差的空间分布有较大区别,但是都遵循北部经向分布,南部纬向分布的基本分布趋势(图3);春、夏、秋和冬季误差分别为32.0%,38.3%,36.8%和34.9%。春季(图3a)误差是全年中最小的,除哈巴雪山一带误差较大外,其余地区误差普遍较小,在25%左右,大雪山中段和沙鲁里山南段一带春季降水量误差普遍低于25%。夏季(图3b)误差空间分布与年误差空间分布基本一致,说明夏季降水量决定年降水量的空间分布态势,误差等值区域在北部经向上表现为沿纵向山脉呈纵向分布,在南部表现为纬向上从南至北东西向分布,西北部和东南部误差较小,基本小于30%,东北部误差较大,大于45%,其余广大地区误差介于30%~45%。秋季(图3c)误差在20%~60%间,大部分区域都在35%左右,北部大雪山以西、南部宁静山以西、玉龙雪山和锦屏山以南的广大地区低于35%。南部哈巴雪山地区和北部大渡河流域误差相对较大,在50%左右。冬季(图3d)整个横断山北部和东部误差比较均一,基本都在45%左右,西南部误差较小,哈马雪山、玉龙雪山一带误差较小,在20%左右。

整体来看,TRMM 3B43数据估算的降水量比实测值偏大,在横断山东北部的大雪山以东地区和横断山西部香格里-贡山-德钦一带的三江并流区误差较大,其余区域误差在30%左右。

表3   TRMM 3B43降水量误差(%)

Table 3   Precipitation error of TRMM 3B43 data (%)

站点春季夏季秋季冬季站点春季夏季秋季冬季
大理14920514.15丽江2929285822.69
道孚4452537645.87马尔康3247363336.79
稻城2918202916.53木里2960514344.39
德格2541228027.46若尔盖4437405536.64
德钦7943662457.84石渠3932322526.82
丁青2812175914.2松潘2967423145.34
甘孜2431293629.15西昌2723315731.15
贡山456457-9545.75香格里504549141.41
华坪3112195418.18小金4452556952.76
九龙1340287335.17新龙3040365530.44
康定193238-1734.87盐源3148593743.35

新窗口打开

图3   TRMM 3B43降水数据与实测数据相对误差空间分布

Fig.3   Spatial distribution of relative error between TRMM 3B43 precipitation and measured data

3 讨 论

3.1 高程对TRMM 3B43数据误差的影响

图4看出,TRMM数据与实测数据的误差随着高程的升高呈减小趋势,其原因是横断山区站点海拔普遍偏低,山区降雨量存在随海拔高度增加而增加的特征,因此高海拔站点测得的降水量值会更接近TRMM数据。为进一步理解气象站数据与TRMM数据偏差的原因,利用横断山区南部的玉龙雪山和中部贡嘎山梯度气象站数据进行分析。在11月至翌年4月玉龙雪山高海拔气象站会被积雪覆盖无法测量,能够测量在5~10月的液态降水。玉龙雪山地处典型的西南季风区,受季风环流影响,每年5~10月的雨季降水量几乎占全年降水量的90%[6],所以分析5~10月的降水量及降水梯度随高程的空间变化可以基本代表该区域的实际降水空间分布状况。

图4   不同高程(m)TRMM数据与实测数据的误差

Fig.4   The error between TRMM 3B43 data andmeasured value in different altitude (m)

2009年5~10月玉龙雪山东坡海拔为2 400、3 046、4 300、4 800 m处的雨季降水总量依次为788.4、1 884.3、735.3、1 680.7 mm,表明降水量随海拔高度发生了明显变化[20]。如图5a所示,玉龙雪山东坡不同海拔处5~10月各月降水量随海拔的升高均呈现“增加-减少-增加”的过程;在3 000 和4 900 m 分别出现2个降水量较多的地带。贡嘎山东坡海拔1 600~3 800 m 高度为第一大降水带,5 500 m左右为第二大降水带[21]。李吉均和苏珍[6]研究认为,一般而言,山地降水量是随海拔升高而不断增加,到一定高度后又减少,然后从非冰川区过渡到冰川区降水量又有所增加。 但由于山地所处地理位置、走向、地形等因素的影响,各山地的最大降水带高度不一致。

图 5   2009年5~10月玉龙雪山不同海拔高度降水量分布[20]

Fig.5   Precipitation distribution in different altitude of Yulong Mountain from May to October in 2009

TRMM 数据降水量比站点实测数据高出22.69 %。TRMM数据在(100°0′~100°15′N,26°30′~26 °45′N)格网的平均高程为3 100.14 m,那么该区域的实际降水量应该为1 018.6 mm。TRMM数据测得该区域降水量为1 021.3 mm,可见TRMM 3B43对玉龙雪山地区降水量的估计有很高的精度,一般来说,高海拔地区的实际降水量高于低海拔地区,由于在海拔3 500 m以上站点降水资料严重缺乏,TRMM 数在横断山区高海拔地区降水量的分布研究方面有着很好的前景。

3.2 研究区地形对TRMM 3B43数据误差的影响

研究区地形复杂多变,立体气候显著。横断山西北部自西向东分布着大雪山、大渡河、邛崃山;香格里拉三江并流区自西往东南北纵向排列着高黎贡山、怒山-碧罗雪山、云岭、香格里拉大雪山和沙鲁里山,怒江、澜沧江、金沙江穿行在这几座大山之中。纵向岭谷地貌形成明显的东西阻隔,南北贯通作用,对西南季风的空间分布会产生明显的影响,而西南季风是影响横断山区降水最关键的因素,春季和夏季降水量时空分布表现出空间不连续特征即是岭谷地形作用的体现,秋季和冬季降水等值区基本连续分布,地形的影响并不明显。

4 结 论

1) 气象站实测与TRMM 3B43降水量之间呈现出较高的相关性(R=0.928;P<0.01);与TRMM 3B43数据决定系数R2=0.862 5,K=0.662,说明TRMM 3B43 数据的降水量比实测值偏大。春、夏、秋和冬季误差分别为32.0%,38.3%,36.8% 和34.9%。

2) TRMM 3B43 数据精度在横断山东北部大雪山以东地区和香格里-贡山-德钦一带误差大于35%。其余区域误差在25%~35%之间。

3) 不同季节TRMM 3B43降水与实测值误差的空间分异明显,但是都遵循北部沿经向从西到东误差依次增大,南部沿纬向误差不规则分布的分布规律,导致误差的主要原因是高海拔地区气象站点稀少、格网与单点数据的尺度误差和独特的纵向岭谷对降水分布的影响。

The authors have declared that no competing interests exist.


参考文献

[1] 张强,孙鹏,陈喜,.

1956~2000年中国地表水资源状况:变化特征成因及影响

[J].地理科学,2011,31(12):1430~1436.

[本文引用: 1]     

[2] Yair A,Raz-Yassif N.

Hydrological processes in a small arid catchment:scale effects of rainfall and slope length

[J].Geomorphology,2004,61:155-196.

[3] 刘奇,傅云飞.

基于TRMM/TMI的亚洲夏季降水研究

[J].中国科学(D辑·地球科学),2007,37(1):111~122.

[本文引用: 2]     

[4] 刘俊峰,陈仁升,卿文武,.

基于TRMM降水数据的山区降水垂直分布特征

[J].水科学进展,2011,22(4):447~454.

[本文引用: 1]     

[5] 陈辉,刘劲松,王卫.

冀北地区植被指数变化特征及影响因素分析

[J].地理科学,2008,28(6):793~798.

[本文引用: 1]     

[6] 李吉均,苏珍.横断山冰川[M].北京:科学出版社,1996:125~133.

[本文引用: 3]     

[7] 朱国锋,蒲焘,何元庆,.

横断山区土壤相对湿度时空分异

[J].地理科学,2012,32(7):872~877.

[8] Zhu G,He Y,Pu T,et al.

Spatial distribution and temporal trends in potential evapotranspiration over Hengduan Mountains region from 1960 to 2009

[J].Journal of Geographical Sciences, 2012,22(1):71-85.

[本文引用: 1]     

[9] World Meteorologie Organization.

International meteorologieal vocabulary[R].

World Meteorologie Organization,1992:182-784.

[本文引用: 1]     

[10] Olson W S,Kummerow C D,Heymsfield G M,et al.

A method for combined passive-active microwave retrievals of cloud and precipitation profiles

[J].Journal of Applied Meteorology,1996,35:1763-1789.

[本文引用: 4]     

[11] Simpson J,Adler R F,North G R.

A proposed Tropical Rainfall Measuring Mission(TRMM) Satellite

[J].Bulletin American Meteorological Society,1988,69:278-295.

[本文引用: 1]     

[12] Kummerow C D,Barnes W,Kozu T,et al.

The Tropical Rainfall Measuring Mission(TRMM) sensor package

[J].Journal of Atmospheric and Oceanic Technology,1998,15:808-816.

[13] Olson W S,Kummerow C D,Heymsfield G M,et al.

A method for combined passive-active microwave retrievals of cloud and precipitation profiles

[J].Journal of Applied Meteorology,1996,35:1763-1789.

[本文引用: 2]     

[14] 刘俊峰,陈仁升,韩春坛.

多卫星遥感降水数据精度评价

[J].水科学进展,2010,21(3):343~348.

[本文引用: 1]     

[15] 尤卫红,何大明,段长春.

云南纵向岭谷地区气候变化对河流径流量的影响

[J].地理学报,2005,60(1):95~105.

[本文引用: 1]     

[16] 曾红伟,李丽娟.

澜沧江及周边流域TRMM 3B43 数据精度检验

[J].地理学报,2011,66(7):994~1004.

[本文引用: 2]     

[17] Goovaerts P.Geostatistics for natural resources evaluation[M].New York:Oxford University Press,1997.

[18] Yamamoto J K.

Correcting the smooth effect of ordinary Kriging estimates

[J].Mathematical Geology,2005,37(11):69-94.

[19] Yamamoto J K.

On unbiased backtransform of lognormal kriging estimates

[J].Computational Geoscience,2007,11:219-234.

[本文引用: 1]     

[20] 辛惠娟,何元庆,李宗省,.

玉龙雪山东坡气温和降水梯度年内变化

[J].地球科学,2012,37(5):188~194.

[本文引用: 2]     

[21] 杨梅学,姚檀栋,Kenichi UENO.

1998年夏季7~8月藏北降水的某些特征分析

[J].资源科学,2000,22(6):43~45.

[本文引用: 1]     

/