辽宁师范大学海洋经济与可持续发展研究中心,辽宁 大连 116029
中图分类号: F129.9
文献标识码: A
文章编号: 1000-0690(2016)05-0705-10
收稿日期: 2015-03-15
修回日期: 2015-07-20
网络出版日期: 2016-07-20
版权声明: 2016 《地理科学》编辑部 本文是开放获取期刊文献,在以下情况下可以自由使用:学术研究、学术交流、科研教学等,但不允许用于商业目的.
基金资助:
作者简介:
作者简介:孙才志(1970-),男,山东烟台人,教授,博士生导师,主要从事水资源经济与海洋经济研究。E-mail: suncaizhi@lnnu.edu.cn
展开
摘要
基于海洋经济脆弱性内涵,结合“压力-状态-响应”模型(PSR)和“暴露度-敏感性-应对能力”模型,从压力、敏感性、应对能力3个方面构建海洋经济脆弱性测度评价指标体系,采用考虑了松弛变量权重的数据包络分析方法(WSBM)对2000~2011年环渤海地区17个沿海城市海洋经济脆弱性进行测算,并利用核密度估计模型分析了海洋经济脆弱性的动态演变,结果基本显示了环渤海地区海洋经济脆弱性的分布格局。其中微度脆弱地区为天津市、大连市、东营市、烟台市;轻度脆弱地区为秦皇岛市、丹东市、盘锦市、葫芦岛市、威海市、日照市;中度脆弱地区为青岛市、潍坊市、滨州市;高度脆弱地区为唐山市、沧州市、锦州市、营口市。同时对环渤海地区海洋经济脆弱性空间分异规律进行研究,研究成果对降低环渤海地区海洋经济脆弱性具有一定理论价值和现实意义。
关键词:
Abstract
The purpose of study of marine economy vulnerability is to explore means to reduce the vulnerability, which can realize sustainable development of the marine economy. In recent decades, the studies of vulnerability have made remarkable progress in various fields. How to quantify vulnerability has become a hot topic in academic circles. This article presents a new method for quantifying the marine economy vulnerability in Bohai Sea Ring Area. Data envelopment analysis (DEA), which combines multiple inputs and multiple outputs in examining relative efficiency and performance of decision making unit (DMU), has been widely used for the assessments in many domains. Based on understanding of the marine economy vulnerability, we establish assessment indicator system of the marine economy vulnerability from three aspects including pressure, sensitivity and adaptability by combining Pressure-State-Response model (P-S-R) with Exposure-Sensitivity-Adaptability model. This article measures the marine economy vulnerability of 17 coastal cities in Bohai Sea Ring Area from 2000 to 2011 by weighted slacks-based measure (WSBM) model. The kernel density estimation method is employed to analyze the dynamic evolution of the marine economy vulnerability in Bohai Sea Ring Area,and the results can basically reflect the spatio-temporal distribution pattern of the marine economy vulnerability during the study period. The analysis of temporal variation at three time points by kernel density estimation reveals that the marine economy vulnerability in Bohai Sea Ring Area reduced year by year. The spatial pattern for the marine economy vulnerability was divided into four groups: very low, low, moderate, and high. The cities with very low vulnerability are Tianjin, Dalian, Dongying, and Yantai; The cities with low vulnerability are Qinhuangdao, Dandong, Panjin, Huludao, Weihai, and Rizhao; The cities with moderate vulnerability are Qingdao, Weifang, and Binzhou; The cities with high vulnerability are Tangshan, Cangzhou, Jinzhou, and Yingkou. Finally, we study the law of spatial differences for the marine economy vulnerability in Bohai Sea Ring Area, which has certain theoretical value and practical significance for reducing the marine economy vulnerability in this area.
Keywords:
经过“十一五”时期的发展,中国海洋经济快速发展并取得了显著成就,同时也受到国际金融危机、自然灾害等不利因素影响,海洋经济发展面临着严峻挑战[1]。与传统的经济体系比较,海洋经济对资源的依赖性更强,海洋产业体系更不完整,海洋总体科技实力不足给新兴海洋产业带来较大的风险,保障发展体制机制相对欠缺,呈现出更加明显的脆弱性特征。海洋经济的脆弱性已经成为阻碍海洋经济可持续发展的重要因素。
脆弱性概念源起于对自然灾害的研究[2],2005年以来许多国际性的科学研究计划和机构(IHDP、IGBP等)都把脆弱性作为重要的研究区域[3, 4],在灾害管理、生态学、气候变化、可持续利用、人地系统等重要研究领域已经取得较大进展。但由于研究主题、区域以及学科研究视角的不同,对脆弱性概念的界定角度与侧重点有较大差异。例如经济、贫困、可持续利用、生计等社会科学领域认为脆弱性是承受不利影响的能力,侧重对脆弱性产生的人文驱动因素进行分析[5~8];自然灾害、气候变化和生态学等自然科学领域认为脆弱性是指暴露于不利影响的可能性或者是遭受到不利影响损害的程度,着重对自然驱动因素造成的潜在影响和结果进行分析[9~12]。海洋经济脆弱性问题是涉及到包括经济、社会、资源与环境的一个复杂的巨系统,即受陆域系统的作用影响,又有海洋本身的特殊性。因此,结合以往相关学者对脆弱性的探讨以及研究需要,本文认为海洋经济脆弱性是指受到压力扰动下海洋经济系统的敏感程度以及应对能力,是系统所受到的压力、自身敏感性以及具备的应对能力三者相互作用的结果。
海洋经济脆弱性研究的目的在于探求降低海洋经济脆弱性的手段和途径以实现可持续发展,相关研究已逐渐受到国内外学者的关注。目前国外学者主要从海洋渔业和海岸带经济系统方面去研究其脆弱性[13~15];国内学者对海岸带生态脆弱性、海岸带环境脆弱性、人海经济系统脆弱性进行了研究[16~18]。总体来看,国内外对海洋经济脆弱性研究的文章还相对较少,实践经验和理论积淀都有待进一步拓展和完善。海洋经济脆弱性的研究方法也存在一些不足。前人研究常用的评价方法主要有两种:综合指数法和脆弱性函数模型法。这两种方法在使用过程中存在一定的局限性:① 脆弱性的概念及形成的因果关系不明确,选取指标代表性不够;② 指标权重设定和脆弱性函数构建具有明显主观性,影响结果的说服力。
数据包络分析是评价具有多投入和多产出决策单元效率的方法,被广泛应用于许多领域的评估[19~21]。本研究通过运用基于松弛变量权重的数据包络分析模型(Weighted Slacks-based Measure)解释了脆弱性是由过度压力与敏感性以及缺乏应对能力导致的,海洋经济脆弱性可以由这些“过度”和“不足”进行测度所得。本文在海洋经济以及脆弱性的内涵理解的基础上,以环渤海17个沿海城市为研究对象,将“压力-状态-响应”模型(P-S-R)和“暴露度-敏感性-应对能力”模型结合,构建包括压力、敏感性、应对能力3个维度在内的海洋经济脆弱性测度评价指标体系,运用WSBM模型对环渤海地区海洋经济脆弱性进行综合测度,并对其结果进行时空差异分析,揭示其内在变化规律,以期能够丰富海洋经济脆弱性的理论以及指导海洋经济发展实践,具有一定的理论价值和现实意义。
环渤海地区是指由环绕着渤海全部及黄海的部分沿岸地区所组成的广大经济区域,范围涵盖大连、丹东、营口、盘锦、锦州、葫芦岛、天津、秦皇岛、唐山、沧州、滨州、东营、潍坊、烟台、威海、青岛和日照共17个沿海城市,海岸线长度6 924.2 km,占全国海岸线长度的38.47%,2011年环渤海地区海洋经济总产值为16 442亿元,占全国海洋生产总值的36.1%,该区域已经成长为中国除长三角和珠三角之外的沿海经济增长“第三极”。由于该区域的沿海经济发展方式粗放、海洋资源不合理开发,出现了海洋生物物种减少、赤潮、海洋污染、供水危机等一系列的脆弱性事件,已对海洋经济发展造成了不利的影响,环渤海地区海洋经济脆弱性特征越发显著。
1.2.1 WSBM模型
数据包络分析是以相对效率概念为基础,借助于数学规划和统计数据来对决策单元的相对有效性进行评价。从本质上讲它是一个系统的“投入-产出”运行效率的评价模型,对各单元相对的投入产出效率进行评价。海洋经济的脆弱性也可以从“投入-产出”的角度进行分析,压力、敏感性作为脆弱性增加的投入,应对能力作为脆弱性减少的产出,使用投入产出的效率值来测量海洋经济系统对不利扰动影响的应对效率[22]。
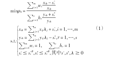
传统非参数数据包络分析如CCR、BCC模型[23],从径向(投入和产出以等比例缩小或放大)和角度(投入或产出角度)两个方面来对效率进行度量,这样并不能把投入产出的松弛性纳入考虑范围,使得效率值的度量不够准确。Tone提出了一种基于松弛变量测度的非径向非角度的DEA分析方法,即SBM模型。它与传统非参数数据包络分析模型的不同之处在于把“松弛”变量直接放入了目标函数中,在SBM模型下,传统DEA模型的投入和产出“松弛”问题就不存在了,此方法优点在于效率值随着投入和产出的松弛程度的变化而严格单调递减,SBM模型比传统DEA模型有更强的分辨能力。为了体现出松弛变量的重要性,有必要给予他们不同的权重[24,25]。因此本文尝试运用WSBM模型计算得出的相对效率值对海洋经济脆弱性进行测度分析。假设有n个决策单元DMUj(即n个城市进行评估,j=1, 2,…,n),任一DMUj均有m种投入(X∈Rm×n)和s种产出(Y∈Rs×n),xij代表第j个城市的第i种投入量,yrj代表第j 个城市的第r种产出量,则第k个决策单元的效率可由下面模型(1)求得:

式中,xik和yrk分别表示第k个决策单元的投入和产出值向量s–∈Rm和s+∈Rs分别为投入和产出的松弛变量,s–B∈Rm和s+B∈Rs分别为投入和产出松弛变量的上界,它们都是根据实际情况假定的;λ∈Rm是一个非负的矢量,w和h分别为投入和产出的权重,ρk即为第k个决策单元的效率,Wi(xik-s-i)/xik表示第i个投入量的加权相对减少率,hr(yrk-s+r)/yrk表示第r个产出量的加权增加率。根据WSBM模型含义,若某一城市的评价单元的ρ值越接近于1,则表示这个DMU单元具有较高的产出投入比,单元的生产效率水平就会越高。如果ρ=1则说明DEA有效,生产效率水平达到最高,松弛变量s+和s-都等于0,海洋经济系统能有效的应对不利扰动的影响,不存在压力与敏感性的过度以及应对能力的不足,它们之间到达了一种平衡的状态,要不就会存在减少投入s-和增加产出s+的改进使DEA有效。本文的海洋经济脆弱性得分为1-ρ[22],可以看出,脆弱性得分越高,海洋经济越脆弱。
1.2.2 核密度估计(Kernel Density Estimation)
核密度估计是在概率论中用来估计未知的密度函数,属于非参数检验方法之一。对于数据x1,x2,…, xn核密度估计的形式为:

式中,h为窗宽,核函数(kernel function)K是一个加权函数,包括高斯核、Epanechnikov核、三角核、四次核等类型,选择依据是分组数据的密集程度。
本研究的估计采用高斯核函数:

Silverman [26]指出,通常在大样本的情况下,非参数估计对核的选择并不敏感,窗宽h的选取对估计量的影响较大,本文窗宽的选择是根据Silveman提出的方法,具有较大的通用性。
本文所建立的海洋经济脆弱性评价指标体系共涉及29个指标,横向覆盖环渤海地区17个沿海城市,指标体系中所有数据均来源于2001~2012年的《中国统计年鉴》、《中国城市统计年鉴》、《中国区域经济统计年鉴》、《中国海洋统计年鉴》、《河北经济年鉴》、《辽宁统计年鉴》、《山东统计年鉴》[27~33]等,部分指标数据是根据年鉴数据综合处理所得。
结合P-S-R模型和暴露度-敏感性-应对能力模型,分别以压力、敏感性和应对能力3个维度作为WSBM模型投入产出因素,构建海洋经济脆弱性测度的指标体系。按照陆海统筹的原则,以环渤海地区2000~2011年17个沿海城市为基本评价单元,考虑到数据的可获得性与代表性,对模型投入产出因素的评价指标进行如下遴选(表1)。
表 1 海洋经济脆弱性测度指标体系
Table 1 Index system for marine economy vulnerability assessment
| 维度层 | 准则层 | 量化指标 |
|---|---|---|
| 压力 | 海洋资源利用 | 海区资源相对开发率(P1,负),海水养殖面积(P2,负),沿海规模以上港口生产用码头泊位数(P3,负) |
| 经济增长压力 | 人口密度(P4),人口自然增长率(P5),百万元海洋生产总值取水(P6),百万元海洋生产总值耗能(标准煤)(P7) | |
| 环境污染 | 每公里海岸线废水排放入海量(P8),单位国土面积工业固体废弃物产生量(P9),工业废水排放量(P10) | |
| 敏感性 | 海洋产业结构 | 海洋产业结构与就业结构偏离系数(S1),渔业产值占海洋总产值比重(S2),海洋产业结构多元化程度(S3,负) |
| 海洋生态基础 | 人均滩涂面积(S4,负),人均涉海湿地保护区面积(S5,负),海洋类型自然保护区数量(S6,负) | |
| 贸易冲击 | 货物出口总额占海洋生产总值比重(S7),外贸依存度(S8) | |
| 从业负担与能源变动 | 能源弹性系数(S9),每一涉海就业人员负担人口(S10) | |
| 应对能力 | 海洋经济能力 | 海岸线经济密度(C1),海洋经济总量(C2),海洋经济区位商(C3),海洋产业全员劳动生产率(C4) |
| 环境管制 | 沿海污染治理项目本年投资总额占GDP比重(C5),沿海地区污染治理竣工项目(C6),工业废水排放达标率(C7) | |
| 科技教育 | 科技教育投入力度(C8),科学研究地质服务和地质勘探从业人员(C9) |
1) 由海洋资源利用、经济增长压力和环境污染形成的压力是海洋经济脆弱性形成的驱动因素和原动力,反映了海洋经济承受来自内外部冲击的扰动所带来的压力。海洋资源利用指标(P1~P3)主要是衡量海洋资源的开发以及利用状况,从根本上会影响陆域资源的消耗,减轻海洋经济发展的压力。经济增长压力主要来自人口和能源利用效率两方面,它反映了海洋经济发展对区域造成的负荷。P4与P5体现了人口的密集程度与增长速度,反映沿海经济增长导致的人口集聚化给社会经济发展带来巨大压力。P6 与P7体现海洋经济发展对能源的依赖程度,是制约可持续发展的指标。由于陆域污染物是海域污染物的元凶,所以选取P8、P9、P10作为海洋环境污染影响因素指标,它们表现为废水、废弃物对海域与陆域的影响程度,反映了经济增长对环境造成的压力。
2) 由海洋产业结构、海洋生态基础、贸易冲击、就业负担与能源变动决定的敏感性是自身在响应内外干扰时所表现出来的特质,是脆弱性形成的物质基础,反映了海洋经济系统面对扰动时所固有的反映特征,即所处的状态。海洋产业结构包括S1、S2、S3这3个指标。S1直接反映产业结构的劳动力资源配置状况。传统资源型海洋产业易受扰动的影响,S2反映海洋经济发展对资源型海洋产业的依赖程度。S3表示海洋产业结构发展的均衡程度,体现产业结构的稳定性。海洋生态基础(S4~S6)衡量的是海洋的生态状况,反映了该区域抵御扰动的能力,起到降低自身敏感性的作用。贸易冲击能够增加海洋经济发展的不稳定性。S7表示经济的外向程度,反映经济增长对国际市场的依赖性,S8表示海洋经济发展对外资的依赖性,依存度越高海洋经济越脆弱。而S9体现能源消耗相对经济增长的敏感程度,S10反映涉海劳动力人口在经济和社会两方面的负担程度,负担的程度越大,当海洋经济受到扰动时所造成的影响越大。
3) 由海洋经济能力、环境管制、科技教育影响的应对能力是面临扰动时表现出来的反应,即自身弹性以及应变的能力。应对能力指标可分为两组:一组是表示内部因素的指标,C1、C2、C3、C4体现了高单位距离产值和高社会效益,使海洋经济系统具有更强应对扰动的能力,其中C1与C3反映海洋经济集中程度与质量,C2反映了系统在应对扰动方面的整体的经济实力,C4反映涉海人员劳动效率;另一组是表示外部因素的指标,通过环境管制与科技教育来反映出当地与政府外在的应对扰动及其影响的能力,其中C5反映污染治理投资力度,C6反映污染治理投资效果,C7反映了政府对环境污染的监督与控制,C8与C9分别反映科教投入的力度与当前的科研实力,良好的教育和较高的科学技术水平可以减少扰动造成的损失,提高应对扰动的效益,增强对环保政策的执行能力,维护社会经济的稳定。
DEA对所能处理的输入输出项数目并非毫无限制,即受评价的DMU个数至少为投入个数与产出个数之和的两倍的检验法则,才可以保证DEA方法区分决策单位效率高低的能力。因此,尽可能保证DMU个数的前提下,减少投入或产生项的变量,才能提高DEA效率的区分能力。主成分分析法可在力保原始数据信息丢失最小情况下,经过线性变换和舍弃部分信息,对高维变量空间进行降维处理,以少数的综合变量取代原有的多维变量[34]。为了尽可能的区分决策单位效率和最大保留投入产出变量提供的信息,本文选2000~2011年环渤海17个城市为研究对象,总共204个DMU,以提取主成分因子作为DEA的输入和输出指标[35]。
利用SPSS软件对海洋经济的压力(P1~P10)、敏感性(S1~S10)和应对能力(C1~C9)的原始数据分别进行主成分分析,根据公因子特征值大于1的标准分别提取压力主成分、敏感性主成分和应对能力主成分,为更有效提取并方便解释主因子,对载荷矩阵做正交旋转,以降低各因子在主成分上的载荷,进而得到各主成分的载荷矩阵[36],并且以各因子方差贡献率作为该主成分因子权重(表2)。
表2 正交旋转后主成分因子载荷分布及方差贡献率
Table 2 Principal factor loading matrix after orthogonal rotation and variance contribution rate
| 指标 | 压力主成分 | 指标 | 敏感性主成分 | 指标 | 应对能力主成分 | |||||||
|---|---|---|---|---|---|---|---|---|---|---|---|---|
| 1 | 2 | 3 | 1 | 2 | 3 | 4 | 1 | 2 | 3 | |||
| P1 | -0.874 | S1 | 0.720 | C1 | 0.913 | |||||||
| P2 | 0.755 | S2 | 0.821 | C2 | 0.813 | |||||||
| P3 | -0.882 | S3 | -0.441 | C3 | 0.794 | |||||||
| P4 | 0.658 | 0.474 | S4 | 0.874 | C4 | 0.815 | ||||||
| P5 | 0.702 | S5 | 0.875 | C5 | 0.790 | |||||||
| P6 | 0.794 | S6 | 0.606 | C6 | 0.770 | |||||||
| P7 | 0.773 | S7 | -0.702 | 0.425 | C7 | 0.483 | ||||||
| P8 | 0.817 | S8 | -0.774 | C8 | 0.651 | -0.434 | ||||||
| P9 | -0.701 | S9 | 0.956 | C9 | 0.846 | |||||||
| P10 | 0.821 | S10 | 0.578 | 0.509 | ||||||||
| 贡献率 | 0.395 | 0.175 | 0.126 | 贡献率 | 0.226 | 0.186 | 0.152 | 0.100 | 贡献率 | 0.336 | 0.202 | 0.156 |
根据压力主成分因子载荷矩阵分布(表2)知,第一个公因子在P1、P3、P8、P10等4个指标上载荷较高,表明第一个公因子承载了这4个指标信息,主要反映海洋经济发展面临资源与环境的压力,故可命名为“资源环境因子”;第二个公因子在P6、P7、P9等3个指标上载荷相对较高,可将该因子命名为“能源利用因子”;第三个公因子在P2、P4、P5等3个指标上载荷较高,可将该因子命名为“人口因子”。
根据敏感性主成分因子载荷矩阵分布知,第一个公因子在S6、S7、S8等3个指标上载荷较高,可将该因子命名为“贸易冲击因子”;第二个公因子在S4、S5等2个指标上载荷较高,可将该因子命名为“生态因子”;第三个公因子在S1、S2等2个指标上载荷较高,可将该因子命名为“产业结构因子”;第四个公因子在S9上载荷较高,故命名为“能源弹性因子”。
根据应对能力主成分因子载荷矩阵分布知,第一个公因子在C1、C2、C8、C9等4个指标上载荷较高,可将该因子命名为“经济质量与科教因子”;第二个公因子在C5、C6、C7等3个指标上载荷较高,可将该因子命名为“环境治理因子”;第三个公因子在C3、C4等2个指标上载荷较高,可将该因子命名为“海洋经济效率因子”。
由于经主成分分析缩减原始变量所得到的因子得分会存在负值,而DEA模型的输出值不能为负值,需要对数据进行标准化处理。采用最小-最大规范化方法,将原数据列线性变换,映射到新的数据区间上[1,5][36],形成新的数据列,公式为:
(4)
式中,V'表示规格化处理后的数据,V表示原始数据,maxA和minA分别表示原始数据列的最大值和最小值,new_maxA和new_minA分别表示新数据列的最大值和最小值。
将规格化处理过后的压力主成分因子、敏感性主成分因子作为投入,应对能力主成分因子作为产出,各个主成分的方差贡献率分别作为投入和产出的权重,运用WSBM模型分别计算出环渤海地区2000~2011年17个城市的效率水平,最终得到海洋经济脆弱性得分(表3)。
表3 2000~2011年环渤海地区城市海洋经济脆弱性得分
Table 3 Vulnerability degree of marine economy of cities in the Bohai Sea Ring Area from 2000 to 2011
| 2000 | 2001 | 2002 | 2003 | 2004 | 2005 | 2006 | 2007 | 2008 | 2009 | 2010 | 2011 | 平均值 | |
|---|---|---|---|---|---|---|---|---|---|---|---|---|---|
| 天津 | 0.000 | 0.336 | 0.293 | 0.320 | 0.318 | 0.000 | 0.000 | 0.000 | 0.000 | 0.105 | 0.000 | 0.000 | 0.114 |
| 唐山 | 0.658 | 0.602 | 0.615 | 0.595 | 0.589 | 0.564 | 0.490 | 0.460 | 0.464 | 0.473 | 0.462 | 0.475 | 0.537 |
| 秦皇岛 | 0.481 | 0.459 | 0.462 | 0.410 | 0.436 | 0.418 | 0.331 | 0.342 | 0.281 | 0.000 | 0.000 | 0.000 | 0.302 |
| 沧州 | 0.667 | 0.604 | 0.569 | 0.482 | 0.492 | 0.462 | 0.423 | 0.383 | 0.370 | 0.423 | 0.421 | 0.417 | 0.476 |
| 大连 | 0.000 | 0.000 | 0.197 | 0.000 | 0.000 | 0.000 | 0.000 | 0.187 | 0.115 | 0.000 | 0.000 | 0.000 | 0.042 |
| 丹东 | 0.471 | 0.417 | 0.262 | 0.178 | 0.000 | 0.000 | 0.197 | 0.115 | 0.000 | 0.121 | 0.000 | 0.000 | 0.147 |
| 锦州 | 0.574 | 0.535 | 0.536 | 0.501 | 0.434 | 0.374 | 0.460 | 0.394 | 0.318 | 0.310 | 0.259 | 0.325 | 0.418 |
| 营口 | 0.644 | 0.635 | 0.575 | 0.563 | 0.457 | 0.418 | 0.408 | 0.462 | 0.476 | 0.397 | 0.426 | 0.374 | 0.486 |
| 盘锦 | 0.552 | 0.482 | 0.468 | 0.441 | 0.287 | 0.195 | 0.000 | 0.000 | 0.000 | 0.000 | 0.000 | 0.000 | 0.202 |
| 葫芦岛 | 0.469 | 0.399 | 0.365 | 0.344 | 0.123 | 0.261 | 0.000 | 0.233 | 0.000 | 0.000 | 0.000 | 0.000 | 0.183 |
| 青岛 | 0.448 | 0.414 | 0.378 | 0.375 | 0.361 | 0.000 | 0.321 | 0.286 | 0.280 | 0.297 | 0.254 | 0.245 | 0.305 |
| 东营 | 0.141 | 0.000 | 0.206 | 0.000 | 0.000 | 0.151 | 0.000 | 0.000 | 0.022 | 0.000 | 0.000 | 0.000 | 0.043 |
| 烟台 | 0.000 | 0.294 | 0.319 | 0.000 | 0.196 | 0.000 | 0.000 | 0.000 | 0.000 | 0.000 | 0.000 | 0.000 | 0.067 |
| 潍坊 | 0.472 | 0.211 | 0.174 | 0.212 | 0.000 | 0.236 | 0.272 | 0.298 | 0.306 | 0.283 | 0.278 | 0.266 | 0.250 |
| 威海 | 0.421 | 0.373 | 0.344 | 0.290 | 0.246 | 0.000 | 0.167 | 0.094 | 0.061 | 0.000 | 0.055 | 0.000 | 0.171 |
| 日照 | 0.390 | 0.367 | 0.393 | 0.000 | 0.422 | 0.427 | 0.000 | 0.357 | 0.299 | 0.000 | 0.000 | 0.000 | 0.221 |
| 滨州 | 0.201 | 0.339 | 0.069 | 0.000 | 0.326 | 0.357 | 0.346 | 0.340 | 0.317 | 0.270 | 0.312 | 0.304 | 0.265 |
根据海洋经济脆弱性得分,应用核密度估计描绘出2000~2011年环渤海17个城市海洋经济脆弱性测度分布图(图1)。图中横轴表示海洋经济脆弱性得分,纵轴表示核密度。图中给出了2000年、2005年、2011年Kernel的密度图,大致解释了17个城市海洋经济脆弱性测度分布的演进状况,海洋经济脆弱性分布演进具有以下几个明显特征:
首先,从形状上来看,海洋经济脆弱性呈现双峰分布的总体态势不变,则说明环渤海地区海洋经济脆弱性测度分布呈现两极分化的形势。在2000年,左峰对应的核密度值较小,右峰对应的核密度值较大,说明高脆弱性水平城市所占的比重大于低脆弱性水平城市所占的比重,整体海洋经济脆弱性水平相对比较高。随着时间的推移,右峰逐渐下落,左峰逐渐上升,到2005年双峰的高度基本持平,这表明两极分化程度降低,到2011年左峰高度大大超过右峰高度,这说明两极分化程度再次加剧,但是低脆弱性城市的比重有所扩大,高脆弱性城市的比重逐渐缩小,环渤海地区海洋经济脆弱性整体水平有所降低。
图1 环渤海地区海洋经济脆弱性的核密度分布
Fig.1 Kernel density distribution of marine economy vulnerability in the Bohai Sea Ring Area
其次,从位置上来看,3 a的密度函数曲线呈现大体向左移动的趋势,说明了该区域各市的海洋经济脆弱性水平总体上是逐年降低的。
最后,从峰度上来看,海洋经济脆弱性测度分布在2000~2011年间出现了宽峰形向尖峰形发展的变化趋势。2000年海洋经济脆弱性水平呈现宽峰形特征,随时间推移右峰的面积迅速缩小,且左拖尾向左移动的幅度明显小于右拖尾,说明高脆弱性水平城市进步速度要快于低脆弱性水平的城市,反映出环渤海地区海洋经济脆弱性水平之间差异幅度逐渐缩小,两极分化得到了缓解。
根据ISODATA模糊聚类模型[37],将17个城市的脆弱性得分按照年份的不同进行模糊划分,得到的各类别划分的F统计值(类别数3:F值=10.646 8;类别数4:F值=12.378 8;类别数5:F值=12.251 5;类别数6:F值=9.345 5)。F值越大说明划分结果的类内联系越密切,而类间的联系越分散,故将环渤海地区海洋经济脆弱性空间格局划分为4类(图2)。
图2 环渤海地区海洋经济脆弱性测度空间格局
Fig.2 Vulnerability of marine economy in the Bohai Sea Ring Area
3.2.1 微度脆弱地区
该类型包括天津、大连、东营、烟台。大连在环渤海地区脆弱性评价得分最低,它拥有丰富的海洋资源和较强的科研实力,对污染治理投入的力度较大,在生态环境方面表现突出。未来大连市的工作重心着力向社会经济与生态环境协调发展方向转移,同时注重通过扩大内需来减少区域经济发展受到国际市场贸易冲击的影响,继续保持海洋经济稳定增长的态势。
天津拥有良好的港口资源和区位优势,海洋经济对经济发展的贡献较大,在科研水平以及海洋产业结构优化方面的成绩较为突出,因此该市海洋经济具有较强的应对能力。未来天津市应该继续加大科研投入力度,进一步优化海洋产业结构,促进海洋经济又好又快的发展。
烟台市和东营市在环境污染与治理方面都表现得较好,能源利用效率在环渤海地区处于高位,海洋经济承受的压力及其敏感性都较低。今后两市应在确保生态环境良好的基础上,改造提升传统海洋产业,积极发展海洋服务业与海洋新兴产业,构建具有高效生态特质的现代海洋产业体系。
3.2.2 轻度脆弱地区
该类型包括秦皇岛、丹东、盘锦、葫芦岛、威海、日照。秦皇岛市和葫芦岛市在海洋经济效率和环境污染治理方面得分均较高。该区拥有丰富的港口和旅游资源,但是海洋专业人才匮乏,传统海洋产业所占比重较大,新兴海洋产业均处于起步发展阶段。未来该地区应该加大科研投入力度,加快海洋科研机构的建设,培养引进海洋科技人才。
丹东市在环境治理方面得分较低,海洋经济的应对能力较差。今后丹东市应该严格管制工业废水排放入海,保护鸭绿江滨海湿地的生态系统功能。盘锦市的优势海洋资源是油气资源,但依靠海上油气开采业发展的海洋经济不仅会造成海水富营养化等海水污染的问题,而且有限的油气资源终会枯竭,这些都增加了海洋经济的脆弱性。未来盘锦市应提高对石油化工工业产品的深加工,努力延伸产业链,同时要重视循环经济的发展,充分体现全面协调可持续发展的要求。
日照市和威海市在海洋产业结构以及海洋经济效率方面得分较高,海洋经济应对能力较强。未来日照市应充分利用“蓝天,碧海,金沙滩”的自然优势发展滨海旅游业;威海市应该继续加大科教投入力度,利用海洋科技优势发展未来海洋产业,努力实现科学技术向现实生产力的转化。
3.2.3 中度脆弱地区
该类型包括青岛、潍坊、滨州。青岛、潍坊作为山东半岛海洋经济区的中心城市,面临着人口压力大、经济增长对国际市场依赖性高等问题。该区凭借一流的海洋科学研究和全面的海洋产业基础,海洋经济增长暴露出来的问题在一定程度上得到了缓解。未来潍坊市海洋经济发展应该立足于大型港口发达城市的辅助地位,发展特色海洋经济,减低海洋经济发展对外的依赖性;青岛市在各项海洋产业发展过程中应该继续注重对海洋生态环境的保护。滨州市海洋经济的弊端在于科研教育与环境治理的投入不足,使得该市海洋经济应对能力较差。今后滨州市应该加大对环境污染治理的投入力度,真正改善滨州市海洋经济脆弱性状况。
3.2.4 高度脆弱地区
该类型包括唐山、沧州、锦州、营口。唐山市和沧州市海洋产业种类少,传统海洋产业比重偏高,长期以来粗放型的经济增长方式,使得海洋产业结构性矛盾日益突出,在敏感性方面指标得分较低。今后两市的工作重心应该着力于海洋产业结构优化方面,制定优惠政策重点扶持优势产业和高新技术产业。
营口市在环境管制与海洋经济效率方面得分较低。港口护堤的建设与滨海各工业园区的建设破坏了海岸带的自然生态环境。未来营口市的工作重心应该向以环境保护推动海洋经济发展的方向转变。锦州市海洋经济高脆弱性的两个主要原因是:首先,海洋经济发展基础薄弱,海洋科技实力较差;其次,海洋经济发展对国际的依赖性较大,使其容易受到贸易冲击的影响。未来锦州市应该加大科教投入力度,通过扩大内需来减少区域经济对国际市场的依赖。
本文根据脆弱性形成的因果关系,将 “压力-状态-响应”模型(PSR)和“暴露度-敏感性-应对能力”模型结合,构建包括压力、敏感性、应对能力的评价指标体系,并运用WSBM模型对环渤海地区海洋经济脆弱性进行评价,为海洋经济脆弱性的研究提供新的分析框架。
经过模型计算,初步揭示了环渤海地区海洋经济脆弱性的时空分异特征。从时间差异分析来看,环渤海地区各个城市海洋经济脆弱性的水平以及差距逐渐减小,但是依然存在向两极分化的现象;从空间分异分析来看,环渤海地区脆弱性整体得分状况省际排序(由小到大)为:天津市、山东省、辽宁省、河北省,并对环渤海地区17个城市脆弱性的空间格局进行分析,可以明显的暴露出海洋经济发展的弊端,并且针对性的提出发展对策。
本文对海洋经济脆弱性的研究只涉及了脆弱性的驱动因素、评估的概念框架以及方法、该如何应对海洋经济脆弱性,而在海洋经济脆弱性的形成机理和预警机制方面缺乏深入的探讨,这将是本研究未来需要拓展的主要研究方向。
The authors have declared that no competing interests exist.
| [1] |
国务院.全国海洋经济发展"十二五"规划 [EB/OL].. |
| [2] |
A framework for vulnerability analysis in sustainability science [J]. |
| [3] |
Science Plan: Urbanization and Global Environmental Change [M] |
| [4] |
Global land project:Science plan and implementation strategy[R].IGBP Report No.53/ |
| [5] |
辽源市经济系统的脆弱性及其规避措施研究 [J].
脆弱性理论是研究人地耦合系统脆弱性重要理论工具。将脆弱性应用于矿业城市经济系统研究中,提出矿业城市经济系统脆弱性内涵。以吉林省辽源市为例,分析辽源市经济系统脆弱性特征和影响因素,选取1990~2007年共18个评价样本,对辽源市经济系统敏感性、恢复力、脆弱性进行评价分析,并提出辽源市经济系统脆弱性的规避措施。
Research on Vulnerability and Counter Measure of Economic System of Liaoyuan City.
脆弱性理论是研究人地耦合系统脆弱性重要理论工具。将脆弱性应用于矿业城市经济系统研究中,提出矿业城市经济系统脆弱性内涵。以吉林省辽源市为例,分析辽源市经济系统脆弱性特征和影响因素,选取1990~2007年共18个评价样本,对辽源市经济系统敏感性、恢复力、脆弱性进行评价分析,并提出辽源市经济系统脆弱性的规避措施。
|
| [6] |
McDermott M,Bezborodko E et al.Economic Vulnerability to Climate Change in Coastal New Jersey:A Stakeholder-Based Assessment [J]. |
| [7] |
基于集对分析的旅游城市经济系统脆弱性评价 [J].
<p>基于经济系统脆弱性的内涵,从敏感性和应对能力2个方面建立了旅游城市经济系统脆弱性评价指标体系,采用熵值法确定各评价指标的权重,运用集对分析法构建了脆弱性评估模型。以群岛旅游城市舟山为例,分析了1995~2010年舟山市旅游型经济系统脆弱性的演变特征及主要影响因素。结果表明:① 舟山市经济系统对不利扰动的敏感性呈下降趋势,区域应对能力波动上升,系统脆弱性整体上呈现不断下降态势;② 敏感性的强弱对舟山经济系统脆弱性的影响居于主导地位;③ 总游客量增长率、旅游外汇收入占旅游总收入比重、地方财政自给率、客源市场集中度等是影响系统脆弱性的关键因子;地方财政自给率低、产业结构不合理及教育投入不足是阻碍区域应对能力提升的主要因素。</p>
Vulnerability Assessment of Tourism City’s Economic System Based on the Set Pair Analysis: A Case Study of Zhoushan City.
<p>基于经济系统脆弱性的内涵,从敏感性和应对能力2个方面建立了旅游城市经济系统脆弱性评价指标体系,采用熵值法确定各评价指标的权重,运用集对分析法构建了脆弱性评估模型。以群岛旅游城市舟山为例,分析了1995~2010年舟山市旅游型经济系统脆弱性的演变特征及主要影响因素。结果表明:① 舟山市经济系统对不利扰动的敏感性呈下降趋势,区域应对能力波动上升,系统脆弱性整体上呈现不断下降态势;② 敏感性的强弱对舟山经济系统脆弱性的影响居于主导地位;③ 总游客量增长率、旅游外汇收入占旅游总收入比重、地方财政自给率、客源市场集中度等是影响系统脆弱性的关键因子;地方财政自给率低、产业结构不合理及教育投入不足是阻碍区域应对能力提升的主要因素。</p>
|
| [8] |
Bringing social theory to hazards research:conditions and consequences of the mitigation of environmental hazards [J].https://doi.org/10.2307/1389080 URL [本文引用: 1] 摘要
This article relates some examples of current research on the mitigation of environmental hazards to recent sociological work in the theory of action. My intentions are to isolate common themes in an otherwise heterogeneous literature, to encourage debate on mitigation issues, and to enhance the legitimacy of this research program by bringing it to the center of contemporary theoretical concerns in the discipline. Much of the current debate in the field of mitigation still harbors implicit ties to sociological functionalism. These ties are made explicit and critiqued. It is argued that functional conceptions of mitigation present an unbalanced picture of mitigation as a reaction to potential extremes in the environment to the neglect of mitigation's active role in altering hazard potentials.
|
| [9] |
近20年来沿海地区风暴潮灾害脆弱性评价 [J].
采用1990~2009年风暴潮灾害损失数据,选择中国东部沿海地区11个省市为研究对象,借鉴沿海脆弱性指数(Coastal Vulnerability Index,CVI)方法的评估思路,构建风暴潮灾害脆弱性指数SSVI(Storm Surge Vulnerabil-ity Index,SSVI),采用加法模型评价中国沿海省区风暴潮灾害的物理脆弱性。结果表明:沿海地区风暴潮脆弱性存在较大年际变化;高和很高脆弱性等级主要分布于东南沿海各省区,低和很低脆弱性等级主要分别于北部沿海各省区,而中等脆弱性等级空间分布则变化较大。
Wang Jun et al. Assessment on Storm Surge Vulnerability of Coastal Regions during the Past Twenty Years.
采用1990~2009年风暴潮灾害损失数据,选择中国东部沿海地区11个省市为研究对象,借鉴沿海脆弱性指数(Coastal Vulnerability Index,CVI)方法的评估思路,构建风暴潮灾害脆弱性指数SSVI(Storm Surge Vulnerabil-ity Index,SSVI),采用加法模型评价中国沿海省区风暴潮灾害的物理脆弱性。结果表明:沿海地区风暴潮脆弱性存在较大年际变化;高和很高脆弱性等级主要分布于东南沿海各省区,低和很低脆弱性等级主要分别于北部沿海各省区,而中等脆弱性等级空间分布则变化较大。
|
| [10] |
A relative vulnerability estimation of flood disaster using data envelopment analysis in the Dongting Lake region of Hunan [J].https://doi.org/10.5194/nhess-13-1723-2013 URL 摘要
The vulnerability to flood disaster is addressed by a number of studies. It is of great importance to analyze the vulnerability of different regions and various periods to enable the government to make policies for distributing relief funds and help the regions to improve their capabilities against disasters, yet a recognized paradigm for such studies seems missing. Vulnerability is defined and evaluated through either physical or economic-ecological perspectives depending on the field of the researcher concerned. The vulnerability, however, is the core of both systems as it entails systematic descriptions of flood severities or disaster management units. The research mentioned often has a development perspective, and in this article we decompose the overall flood system into several factors: disaster driver, disaster environment, disaster bearer, and disaster intensity, and take the interaction mechanism among all factors as an indispensable function. The conditions of flood disaster components are demonstrated with disaster driver risk level, disaster environment stability level and disaster bearer sensitivity, respectively. The flood system vulnerability is expressed as vulnerability = f(risk, stability, sensitivity). Based on the theory, data envelopment analysis method (DEA) is used to detail the relative vulnerability's spatiotemporal variation of a flood disaster system and its components in the Dongting Lake region. The study finds that although a flood disaster system's relative vulnerability is closely associated with its components' conditions, the flood system and its components have a different vulnerability level. The overall vulnerability is not the aggregation of its components' vulnerability. On a spatial scale, zones central and adjacent to Dongting Lake and/or river zones are characterized with very high vulnerability. Zones with low and very low vulnerability are mainly distributed in the periphery of the Dongting Lake region. On a temporal scale, the occurrence of a vibrating flood vulnerability trend is observed. A different picture is displayed with the disaster driver risk level, disaster environment stability level and disaster bearer sensitivity level. The flood relative vulnerability estimation method based on DEA is characteristic of good comparability, which takes the relative efficiency of disaster system input-output into account, and portrays a very diverse but consistent picture with varying time steps. Therefore, among different spatial and time domains, we could compare the disaster situations with what was reflected by the same disaster. Additionally, the method overcomes the subjectivity of a comprehensive flood index caused by using an a priori weighting system, which exists in disaster vulnerability estimation of current disasters.
|
| [11] |
沿海区域水灾脆弱性及风险的的初步分析 [J].
在理清自然灾害风险系统构成的基础上,总结其风险评估的三种方法:基于历史数据、指标体系和情景模拟。文章采用由果及因的演绎思路,据历史灾情参考全球尺度灾害风险评估国际计划做脆弱性的评估,探讨水灾脆弱性的区域分异规律,并分析其社会经济因素。由于历史数据局限,引入信息扩散的模糊数学方法,对沿海各省区的受灾率进行风险评估,并将区域风险与脆弱性的次序进行对比,表明:脆弱性是风险的重要组分,减少脆弱性可有效降低风险,但探寻灾害发生规律、降低人类社会的暴露性,也是减少灾害风险的必要环节。
Shi Chun et al. Flood Vulnerability and Risk in Coastal Regions of China.
在理清自然灾害风险系统构成的基础上,总结其风险评估的三种方法:基于历史数据、指标体系和情景模拟。文章采用由果及因的演绎思路,据历史灾情参考全球尺度灾害风险评估国际计划做脆弱性的评估,探讨水灾脆弱性的区域分异规律,并分析其社会经济因素。由于历史数据局限,引入信息扩散的模糊数学方法,对沿海各省区的受灾率进行风险评估,并将区域风险与脆弱性的次序进行对比,表明:脆弱性是风险的重要组分,减少脆弱性可有效降低风险,但探寻灾害发生规律、降低人类社会的暴露性,也是减少灾害风险的必要环节。
|
| [12] |
下辽河平原景观格局脆弱性及空间关联格局 [J].https://doi.org/10.5846/stxb201303200465 URL [本文引用: 1] 摘要
以东北三省开发强度最大的辽河中下游地区——下辽河平原为研究对 象,根据景观格局脆弱性的概念及内涵,通过景观敏感度指数和景观适应度指数构建景观格局脆弱度指数,并借助地统计学和空间自相关模型分析的理论方法,对下 辽河平原景观格局脆弱度的空间分布特征、变异规律以及空间关联格局进行探讨,结果表明:①1989-2010年下辽河平原景观格局脆弱度总体上呈递减趋 势;②1989-2010年研究区景观格局脆弱度Moran'sⅠ表现为一定程度的正相关,且相关程度略微呈下降趋势;③1989-2010年研究区景观 格局脆弱度局部空间自相关和显著性水平均发生了明显的变化;④研究区各时期景观格局脆弱度的空间相关性是受结构性因素和非结构性因素共同影响,C0所占的 比例在3a期间有逐步上升趋势,表明非结构性因素对景观格局脆弱度演变的影响程度不断加深,但是结构性因素(地形地貌、水文、土壤植被类型等)仍然对本区 景观格局脆弱度的空间分布起决定性作用.
Evaluation of the landscape patterns vulnerability and analysis of spatial correlation patterns in the lower reaches of Liaohe River Plain. https://doi.org/10.5846/stxb201303200465 URL [本文引用: 1] 摘要
以东北三省开发强度最大的辽河中下游地区——下辽河平原为研究对 象,根据景观格局脆弱性的概念及内涵,通过景观敏感度指数和景观适应度指数构建景观格局脆弱度指数,并借助地统计学和空间自相关模型分析的理论方法,对下 辽河平原景观格局脆弱度的空间分布特征、变异规律以及空间关联格局进行探讨,结果表明:①1989-2010年下辽河平原景观格局脆弱度总体上呈递减趋 势;②1989-2010年研究区景观格局脆弱度Moran'sⅠ表现为一定程度的正相关,且相关程度略微呈下降趋势;③1989-2010年研究区景观 格局脆弱度局部空间自相关和显著性水平均发生了明显的变化;④研究区各时期景观格局脆弱度的空间相关性是受结构性因素和非结构性因素共同影响,C0所占的 比例在3a期间有逐步上升趋势,表明非结构性因素对景观格局脆弱度演变的影响程度不断加深,但是结构性因素(地形地貌、水文、土壤植被类型等)仍然对本区 景观格局脆弱度的空间分布起决定性作用.
|
| [13] |
A fuzzy logic expert system to estimate intrinsic extinction vulnerabilities of marine fishes to fishing [J].https://doi.org/10.1016/j.biocon.2005.01.017 URL [本文引用: 1] 摘要
Fishing has become a major conservation threat to marine fishes. Effective conservation of threatened species requires timely identification of vulnerable species. However, evaluation of extinction risk using conventional methods is difficult for the majority of fish species because the population data normally required by such methods are unavailable. This paper presents a fuzzy expert system that integrates life history and ecological characteristics of marine fishes to estimate their intrinsic vulnerability to fishing. We extract heuristic rules (expressed in IF鈥揟HEN clauses) from published literature describing known relationships between biological characteristics and vulnerability. Input and output variables are defined by fuzzy sets which deal explicitly with the uncertainty associated with qualitative knowledge. Conclusions from different lines of evidence are combined through fuzzy inference and defuzzification processes. Our fuzzy system provides vulnerability estimates that correlate with observed declines more closely than previous methods, and has advantages in flexibility of input data requirements, in the explicit representation of uncertainty, and in the ease of incorporating new knowledge. This fuzzy expert system can be used as a decision support tool in fishery management and marine conservation planning.
|
| [14] |
Walker B L E.A framework to assess the vulnerability of California commercial sea urchin fishermen to the impact of MPAs under climate change [J].
|
| [15] |
Vulnerability of national economies to the impacts of climate change on fisheries [J].https://doi.org/10.1097/JCP.0b013e31828052ac URL [本文引用: 1] 摘要
J Clin Psychopharmacol. 2013 Apr;33(2):276-9. doi: 10.1097/JCP.0b013e31828052ac. Letter
|
| [16] |
海平面上升背景下环渤海海岸敏感性研究 [J].
<p>在全球气候变化、海平面上升背景下,全球许多海岸已经成为承受巨大压力的生态系统。应用海岸敏感性指数(Coastal Sensitivity Index, CSI)对中国环渤海海岸进行敏感性分析,采用岩性、海岸坡度、地貌、岸线变化速率、相对海平面上升水平、平均波高以及平均潮差多种变量的不同组合计算环渤海海岸479个单元格的敏感性数值。结果表明,增加变量数目或以岩性代替岸线变化能有效提高敏感性指数的区分能力,但不同组合下环渤海海岸敏感性宏观空间格局无较大差异。总体上,胶辽隆起带与大兴安岭-太行隆起带的山地丘陵基岩海岸敏感性相对较低,而以辽东湾辽河口附近沿岸平原海岸和渤海湾-黄河三角洲-莱州湾南岸平原海岸为代表的渤海、华北沉降带表现的敏感性相对较高。研究结果有助于海岸管理与规划人员在全球变化背景下识别海岸敏感区域,从而有选择性地采取应对措施缓解海岸带压力,并且为开展河口海岸生态系统脆弱性研究奠定科学基础。从长远来看,海岸敏感性分析如果与社会因子相结合更能有效提升海岸带系统整体的脆弱性研究水平。</p>
Shi Ping et al. Sensitivity Analysis Along the Bohai Coast Under the Background of Sea Level Rise.
<p>在全球气候变化、海平面上升背景下,全球许多海岸已经成为承受巨大压力的生态系统。应用海岸敏感性指数(Coastal Sensitivity Index, CSI)对中国环渤海海岸进行敏感性分析,采用岩性、海岸坡度、地貌、岸线变化速率、相对海平面上升水平、平均波高以及平均潮差多种变量的不同组合计算环渤海海岸479个单元格的敏感性数值。结果表明,增加变量数目或以岩性代替岸线变化能有效提高敏感性指数的区分能力,但不同组合下环渤海海岸敏感性宏观空间格局无较大差异。总体上,胶辽隆起带与大兴安岭-太行隆起带的山地丘陵基岩海岸敏感性相对较低,而以辽东湾辽河口附近沿岸平原海岸和渤海湾-黄河三角洲-莱州湾南岸平原海岸为代表的渤海、华北沉降带表现的敏感性相对较高。研究结果有助于海岸管理与规划人员在全球变化背景下识别海岸敏感区域,从而有选择性地采取应对措施缓解海岸带压力,并且为开展河口海岸生态系统脆弱性研究奠定科学基础。从长远来看,海岸敏感性分析如果与社会因子相结合更能有效提升海岸带系统整体的脆弱性研究水平。</p>
|
| [17] |
辽宁省海岸带环境脆弱性研究 [J].https://doi.org/10.3969/j.issn.1009-6094.2011.06.035 URL 摘要
海岸带是海岸动力与沿岸陆地相 互作用、具有海陆过渡特点的独立环境体系,是人类赖以生存发展的最重要的居住地和经济资源开发利用强度最大的区域。然而,随着人口的大量增加和城市化进程 的不断加快,海岸带正面临着海平面上升、区域生态环境破坏、生物多样性减少、污染加重、渔业资源退化等巨大压力,严重影响了海岸带的可持续发展。 辽宁省海岸带地理位置优越,海岸线东起丹东鸭绿江口,西至绥中万家镇,横跨丹东、大连、营口、盘锦、锦州和葫芦岛6个沿海城市。辽宁省海岸带地处东北经济 区的前沿,随着辽宁沿海经济带作为整体开发区域被纳入国家战略,必将加重海岸带受到各种因素的冲击。鉴于海岸带环境的重要性,本文分析了辽宁海岸带环境脆 弱性,研究成果对于开展生态环境保护、自然资源的合理开发和促使海岸带环境经济协调发展具有重要科学意义。 本文运用遥感与地理信息系统技术提取海岸线、海岸滩涂面积、海岸湿地景观格局以及沿海六市的土地类型变化信息,从自然、人文两方面选取指标构建辽宁省海岸 带环境脆弱性评价指标体系,采用投影寻踪与动态层次分析模型,从时间和空间两个角度对辽宁省海岸带环境脆弱性进行评价。 本文主要的研究成果与结论如下: (1)从1990-2008年,辽宁省海岸带中的大连市海岸带环境脆弱性呈波动性增强的趋势,应引起高度重视,辽宁省海岸带其他地区的环境脆弱性随时间变 化波动减弱,说明海岸带环境与社会经济协调发展;空间上各地区海岸带环境脆弱性差异显著,其中,大连市海岸带环境脆弱性投影值最大,海岸带环境最优,而盘 锦市的投影值最小,海岸带环境承受最大压力。 (2)通过对影响辽宁省海岸带环境脆弱性的分析可知:其变化受到自然因素和人文因素的共同影响,其中,人文因素是导致辽宁海岸环境脆弱的最主要驱动力。因 此,应及时掌握海岸环境变化的动态和原因,应用数字地球技术,实现海岸资源与环境开发利用的现代化管理,使海岸环境得到有效的保护。
Study of Environmental Vulnerability in the Liaoning Province Coastal Areas. https://doi.org/10.3969/j.issn.1009-6094.2011.06.035 URL 摘要
海岸带是海岸动力与沿岸陆地相 互作用、具有海陆过渡特点的独立环境体系,是人类赖以生存发展的最重要的居住地和经济资源开发利用强度最大的区域。然而,随着人口的大量增加和城市化进程 的不断加快,海岸带正面临着海平面上升、区域生态环境破坏、生物多样性减少、污染加重、渔业资源退化等巨大压力,严重影响了海岸带的可持续发展。 辽宁省海岸带地理位置优越,海岸线东起丹东鸭绿江口,西至绥中万家镇,横跨丹东、大连、营口、盘锦、锦州和葫芦岛6个沿海城市。辽宁省海岸带地处东北经济 区的前沿,随着辽宁沿海经济带作为整体开发区域被纳入国家战略,必将加重海岸带受到各种因素的冲击。鉴于海岸带环境的重要性,本文分析了辽宁海岸带环境脆 弱性,研究成果对于开展生态环境保护、自然资源的合理开发和促使海岸带环境经济协调发展具有重要科学意义。 本文运用遥感与地理信息系统技术提取海岸线、海岸滩涂面积、海岸湿地景观格局以及沿海六市的土地类型变化信息,从自然、人文两方面选取指标构建辽宁省海岸 带环境脆弱性评价指标体系,采用投影寻踪与动态层次分析模型,从时间和空间两个角度对辽宁省海岸带环境脆弱性进行评价。 本文主要的研究成果与结论如下: (1)从1990-2008年,辽宁省海岸带中的大连市海岸带环境脆弱性呈波动性增强的趋势,应引起高度重视,辽宁省海岸带其他地区的环境脆弱性随时间变 化波动减弱,说明海岸带环境与社会经济协调发展;空间上各地区海岸带环境脆弱性差异显著,其中,大连市海岸带环境脆弱性投影值最大,海岸带环境最优,而盘 锦市的投影值最小,海岸带环境承受最大压力。 (2)通过对影响辽宁省海岸带环境脆弱性的分析可知:其变化受到自然因素和人文因素的共同影响,其中,人文因素是导致辽宁海岸环境脆弱的最主要驱动力。因 此,应及时掌握海岸环境变化的动态和原因,应用数字地球技术,实现海岸资源与环境开发利用的现代化管理,使海岸环境得到有效的保护。
|
| [18] |
辽宁沿海地区人海经济系统脆弱性评价 [J].
<p>在人海关系地域系统的基础上提出了人海经济系统的概念,在此基础上对辽宁沿海地区人海经济系统进行研究。采用熵值系数法进行权重赋值,建立脆弱性与敏感性、恢复性函数关系,并对其进行评价。结果表明① 从脆弱性结果分析来看,1996~2009 年辽宁沿海地区人海经济系统脆弱性逐年降低,并从极强脆弱型发展为弱脆弱型;② 1996~2009 年敏感性指数呈现多个“倒U”型连续波动;③ 1996~2009 年,恢复性指数呈现逐年增长的趋势。海洋产业增加值逐年增加,海洋油气产业发展出现波动性的变化,海洋捕捞产量得到了一定程度的控制,海洋产业结构进行了一定程度上的调整,为加快新兴产业发展起到了重要的作用。</p>
Vulnerability in Human-sea Economic System of Liaoning Coastal Area in China.
<p>在人海关系地域系统的基础上提出了人海经济系统的概念,在此基础上对辽宁沿海地区人海经济系统进行研究。采用熵值系数法进行权重赋值,建立脆弱性与敏感性、恢复性函数关系,并对其进行评价。结果表明① 从脆弱性结果分析来看,1996~2009 年辽宁沿海地区人海经济系统脆弱性逐年降低,并从极强脆弱型发展为弱脆弱型;② 1996~2009 年敏感性指数呈现多个“倒U”型连续波动;③ 1996~2009 年,恢复性指数呈现逐年增长的趋势。海洋产业增加值逐年增加,海洋油气产业发展出现波动性的变化,海洋捕捞产量得到了一定程度的控制,海洋产业结构进行了一定程度上的调整,为加快新兴产业发展起到了重要的作用。</p>
|
| [19] |
基于DEA方法的城市土地利用经济效益分析 [J].
以哈尔滨市建成区土地利用作为研究对象,结合哈尔滨市所处发展阶段及土地利用现状特点构建评价指标体系,以DEA方法为手段,用Matlab软件进行数学计算,对哈尔滨市2001~2005年城市土地利用经济效益进行定量分析和评价。哈尔滨市土地利用经济效益水平一般,且土地投入有冗余。提出加强城市存量土地利用、注重不同用地类型的投资比例、调整产业结构三方面入手提出提高哈尔滨市土地利用经济效益的建议。
Economic Benefit Analysis of Urban Land Utilization Based on DEA Method.
以哈尔滨市建成区土地利用作为研究对象,结合哈尔滨市所处发展阶段及土地利用现状特点构建评价指标体系,以DEA方法为手段,用Matlab软件进行数学计算,对哈尔滨市2001~2005年城市土地利用经济效益进行定量分析和评价。哈尔滨市土地利用经济效益水平一般,且土地投入有冗余。提出加强城市存量土地利用、注重不同用地类型的投资比例、调整产业结构三方面入手提出提高哈尔滨市土地利用经济效益的建议。
|
| [20] |
A hierarchical AHP/DEA methodology for the facilities layout design problem [J].https://doi.org/10.1016/S0377-2217(02)00251-5 URL Magsci 摘要
<p id="">Layout design often has a significant impact on the performance of a manufacturing or service industry system and is usually a multiple-objective problem. Neither an algorithmic nor a procedural layout design methodology is usually effective in solving a practical design problem. This paper proposed a hierarchical analytic hierarchy process (AHP) and data envelopment analysis (DEA) approach to solve a plant layout design problem. A computer-aided layout-planning tool was used to generate a considerable numbers of layout alternatives as well as to generate quantitative decision-making unit (DMU) outputs. The qualitative performance measures were weighted by AHP. DEA was then used to solve the multiple-objective layout problem. Empirical illustrations from a practical case study illustrated the effectiveness of the proposed methodology.</p>
|
| [21] |
A comparative analysis of China’s regional energy and emission performance:Which is the better way to deal with undesirable outputs? [J]. |
| [22] |
China’s regional vulnerability to drought and its mitigation strategies under climate change:data envelopment analysis and analytic hierarchy process integrated approach [J]. |
| [23] |
Measuring the efficiency of decision making units [J]. |
| [24] |
A slacks-based measure of efficiency in data envelopment analysis [J].https://doi.org/10.1016/S0377-2217(99)00407-5 URL Magsci [本文引用: 1] 摘要
<p id="">In this paper, we will propose a slacks-based measure (SBM) of efficiency in Data Envelopment Analysis (DEA). This scalar measure deals directly with the input excesses and the output shortfalls of the decision making unit (DMU) concerned. It is units invariant and monotone decreasing with respect to input excess and output shortfall. Furthermore, this measure is determined only by consulting the reference-set of the DMU and is not affected by statistics over the whole data set. The new measure has a close connection with other measures proposed so far, e.g., Charnes–Cooper–Rhodes (CCR), Banker–Charnes–Cooper (BCC) and the Russell measure of efficiency. The dual side of this model can be interpreted as profit maximization, in contrast to the ratio maximization of the CCR model. Numerical experiments show its validity as an efficiency measurement tool and its compatibility with other measures of efficiency.</p>
|
| [25] |
A multi-division efficiency evaluation of US electric power companies using a weighted slacks-based measure [J].https://doi.org/10.1016/j.seps.2008.05.002 URL Magsci [本文引用: 1] 摘要
<h2 class="secHeading" id="section_abstract">Abstract</h2><p id="">Prior to the 1990s, the electric power industry was highly regulated across the world. Under a liberalization policy to open markets and to grow competition commenced in the early 1990s, efficient management has become a necessity for companies in this industry. The current study examines the divisional efficiencies of multi-functional, vertically integrated companies seeking to optimize their overall management efficiency. For this purpose, divisional cost data are used as input into a slacks-based measure (SBM) model. This provides divisional efficiency indices based on slacks, as well as one for the larger firm-level management function. Further, given the important role of cost structure, we introduce a modified SBM, named the weighted SBM (WSBM), which directly incorporates division-specific weights into the objective function. Results reveal that the power generation divisions of the companies studied have significant influence on the overall cost, whereas the impact of the other four divisions – transmission, distribution, sales and general administrative – is limited.</p>
|
| [26] |
|
| [27] |
|
| [28] |
|
| [29] |
|
| [30] |
|
| [31] |
|
| [32] |
|
| [33] |
|
| [34] |
基于“环境-结构”集成视角的旅游产业脆弱性测度——以中国大陆31个省区市为例 [J].https://doi.org/10.11821/dlyj201403015 URL Magsci [本文引用: 1] 摘要
旅游产业脆弱性是旅游可持续发展的反向。研究运用主成分分析法,采用5级分类,从外部旅游环境脆弱和内部旅游结构脆弱两个方面,对我国旅游产业脆弱性进行了综合测度。结果显示:①中国旅游产业处于中等脆弱水平,但分布极不均衡。②当前,旅游结构性脆弱是影响我国旅游产业脆弱性的根源性原因。③中国旅游产业高度脆弱省区主要集中在西部,其旅游环境脆弱性是旅游产业脆弱性的主要来源,影响旅游产业脆弱性的主要是生态经济因子和旅游风险因子;旅游产业中度脆弱省区,呈分布散、分布广、差异大特征,影响旅游产业脆弱性的主要是服务效率因子、旅游市场化率因子和旅游投资协调平衡因子;旅游产业轻微度脆弱省区主要集中在东部,其旅游结构性脆弱性是旅游产业脆弱性的主要来源,影响旅游产业脆弱性的主要是旅游投资协调平衡因子。
Shi Benlin et al. The Vulnerability Measure of Tourism Industry Based on the Perspective of “Environment-structure” Integration A Case Study of 31 Provinces in Mainland China. https://doi.org/10.11821/dlyj201403015 URL Magsci [本文引用: 1] 摘要
旅游产业脆弱性是旅游可持续发展的反向。研究运用主成分分析法,采用5级分类,从外部旅游环境脆弱和内部旅游结构脆弱两个方面,对我国旅游产业脆弱性进行了综合测度。结果显示:①中国旅游产业处于中等脆弱水平,但分布极不均衡。②当前,旅游结构性脆弱是影响我国旅游产业脆弱性的根源性原因。③中国旅游产业高度脆弱省区主要集中在西部,其旅游环境脆弱性是旅游产业脆弱性的主要来源,影响旅游产业脆弱性的主要是生态经济因子和旅游风险因子;旅游产业中度脆弱省区,呈分布散、分布广、差异大特征,影响旅游产业脆弱性的主要是服务效率因子、旅游市场化率因子和旅游投资协调平衡因子;旅游产业轻微度脆弱省区主要集中在东部,其旅游结构性脆弱性是旅游产业脆弱性的主要来源,影响旅游产业脆弱性的主要是旅游投资协调平衡因子。
|
| [35] |
基于主成分分析的DEA复合评价模式及其应用研究 [J].
对于给定的一组决策单元,评价指标集扩大,每一决策单元的有效性系数也会增大,当指标多到一定程度时,就会使每一决策单元的有效性系数普遍接近1.文章尝试将主成分分析(PCA)与之相结合,在不影响DEA方法使用的情况下,对评价体系中的众多指标进行分类和压缩,既可以降低信息损失,又满足DEA方法的要求.
DEA Evaluation Model and its Application Based on Principal Component Analysis.
对于给定的一组决策单元,评价指标集扩大,每一决策单元的有效性系数也会增大,当指标多到一定程度时,就会使每一决策单元的有效性系数普遍接近1.文章尝试将主成分分析(PCA)与之相结合,在不影响DEA方法使用的情况下,对评价体系中的众多指标进行分类和压缩,既可以降低信息损失,又满足DEA方法的要求.
|
| [36] |
基于DEA模型的我国自然灾害区域脆弱性评价 [J].https://doi.org/10.11821/yj2010070001 URL Magsci [本文引用: 2] 摘要
<p>应用数据包络分析(Data Envelopment Analysis, DEA)模型对我国自然灾害的区域脆弱性水平进行研究,在区域灾害系统理论的组织框架下,从区域自然灾害危险性、区域承灾体暴露性和区域自然灾害损失度三个方面构建了区域自然灾害系统的DEA投入产出模型,并利用模型得出的区域自然灾害成灾效率对区域自然灾害的脆弱性进行模拟反映,对我国自然灾害脆弱性的区域分异特征进行分析。研究发现:我国自然灾害脆弱性的整体水平较高,地域格局为西部>中部>东部,且脆弱性水平与地区经济水平具有明显的负相关关系,经济发达地区的脆弱性相对较低。</p>
The Assessment of Regional Vulnerability to Natural Disasters in China Based on DEA Model. https://doi.org/10.11821/yj2010070001 URL Magsci [本文引用: 2] 摘要
<p>应用数据包络分析(Data Envelopment Analysis, DEA)模型对我国自然灾害的区域脆弱性水平进行研究,在区域灾害系统理论的组织框架下,从区域自然灾害危险性、区域承灾体暴露性和区域自然灾害损失度三个方面构建了区域自然灾害系统的DEA投入产出模型,并利用模型得出的区域自然灾害成灾效率对区域自然灾害的脆弱性进行模拟反映,对我国自然灾害脆弱性的区域分异特征进行分析。研究发现:我国自然灾害脆弱性的整体水平较高,地域格局为西部>中部>东部,且脆弱性水平与地区经济水平具有明显的负相关关系,经济发达地区的脆弱性相对较低。</p>
|
| [37] |
模糊划分有效性函数的构建与应用 [J].https://doi.org/10.3321/j.issn:1000-6788.2004.02.019 URL Magsci [本文引用: 1] 摘要
首先在常规的Bezdek模糊划分模型的基础上,引入了考虑权重的模糊划分模型;并根据数理统计中的方差分析理论和信息论中的信息熵理论,构建了模糊F统计量、模糊划分熵,F统计量用来确定最佳划分数,模糊划分熵用来检验模糊划分的有效性.最后通过实际算例对这两个函数的判决功能和F统计量的鲁棒性进行了研究.
Construction and Application of Function of the Effectiveness of Fuzzy partition. https://doi.org/10.3321/j.issn:1000-6788.2004.02.019 URL Magsci [本文引用: 1] 摘要
首先在常规的Bezdek模糊划分模型的基础上,引入了考虑权重的模糊划分模型;并根据数理统计中的方差分析理论和信息论中的信息熵理论,构建了模糊F统计量、模糊划分熵,F统计量用来确定最佳划分数,模糊划分熵用来检验模糊划分的有效性.最后通过实际算例对这两个函数的判决功能和F统计量的鲁棒性进行了研究.
|
/
| 〈 |
|
〉 |